- 
						
							
植物通过光合作用固定大气中的CO2合成自身物质。由于轻、重同位素在热运动或生化反应中的活动性不同,植物在吸收CO2进行光合作用时,则导致碳同位素的分馏[1-2]。此分馏作用受到植物生长时期的气候环境因子影响,如温度、水分和CO2等[3-7]。由于陆生植物叶片是植物体与外界大气圈进行气体交换的器官,与植物光合作用、蒸腾作用和呼吸作用等诸多生理过程密切相关,因此植物倾向于通过气孔的开闭和改变叶片上的气孔数目来调节诸多生理过程[8-10],其中叶片含有植物当时的生长生理和气候环境信息,其碳同位素组成(δ13C)可以提供包括源CO2碳同位素组成在内的诸多气候环境信息[11-17]。而植物叶片表面具有由高分子形成的角质层,其耐酸、耐碱性和抗分解特性使叶片不易被降解。因此,陆相地层中的叶片容易被保存形成压型化石,其蕴含的气候环境信息是研究古气候环境的重要材料[18-21]。
渐新世代表地球新生代一个早期的“冰室”期,是地球气候演化和生物演替过程中一段特殊的时期。在始新世—渐新世界线时期(33.9 Ma),随着全球温度迅速降低,诱发一次历时4 Ma的冰期(Oi-1 GlaCiation,距今约33.7 Ma),一方面引起南极大陆冰盖快速形成和海平面下降,另一方面促使动、植物面貌发生了重大的变化,如一些哺乳动物和阔叶植物的灭绝、须鲸类动物的出现等[22-23]。继Oi-1 Glaciation之后,虽然全球气候变冷并一直持续到渐新世中期(27~26 Ma),但期间一些大型食肉动物以及一些哺乳动物多样性增加[22]。在渐新世后期(26~23.03 Ma),伴随全球温度升高(即Late Oligocene Warming事件,距今约25~24 Ma),生物一定程度的繁盛。而随后中新世早期的降温事件(距今约23.03 Ma),再次诱发一次历时2 Ma的冰期(即Mi-1 Glaciation),温度变化对生物面貌和多样性产生了较大的影响[22-23]。
研究该段特殊时期的气候环境信息,对预测全球气候变化引发的生物演替提供重要的基础资料[23]。关于渐新世古气候的研究,主要依靠来自于海相沉积中藻类的烯酮类和有孔虫的同位素数据(δ13C,δ18O和δ11B),少部分数据来自古土壤以及陆生植物[22-24]:如利用气孔参数进行古大气CO2浓度恢复、基于共存分析法和叶相分析法的古气候重建[25-26]。为了更深入理解渐新世古气候变化对全球生物面貌的影响,需要更多的陆生植物数据支持。全球范围内,由于渐新世植物群相对稀少,因此利用植物化石进行渐新世古气候环境分析相对较少。虽然一些学者利用化石植物群的属种及其叶相组合,以及孢粉定量恢复了一些地区的渐新世古气候[27-30],但缺少植物的δ13C数据验证。近几年来,在广西渐新世宁明组发现保存有许多植物叶片等压型化石[31-38],这为利用植物化石碳同位素分析渐新世古气候环境提供了不可多得的材料。本文对广西渐新世宁明组三种植物及其最近现生亲缘种(Nearest Living Relatives,NLRs)的碳同位素组成进行了分析,计算其碳同位素分馏(Carbon isotope discrimination,Δ13C)和水分利用效率(Water-use efficiency,WUE);并试图探讨Δ13C和WUE与植物当时生长气候环境之间的关系。
 - 
						
							
本文研究的材料为采自广西崇左市宁明县城中镇至南友高速入口公路一侧的宁明组剖面(图 1a),由兰州大学古生物学与地层学研究所(LDGSW)成员于2013年和2014年分三次采集。宁明组主要是浅湖相沉积,其岩性以灰黄色至棕灰色的薄层状泥岩为主,夹浅黄色泥质砂岩、泥质粉砂岩、细砂岩以及多层膨润土[39-40]。在灰色、浅灰白色和棕灰色的薄层状泥岩以及泥质砂岩(图 1b)中保存有许多植物叶片和果实等压型化石以及孢粉化石[41-43]。根据岩石地层、孢粉组合以及鱼类化石等研究结果[39, 44-48],宁明组的地质时代被认为是渐新世。
宁明组植物群保存有许多叶片、果实、叶片与果实共同保存的枝条等化石[41-43, 49],被子植物占主体,含有一些裸子植物;其中被子植物化石含有大量的樟科、壳斗科、豆科、棕榈科和黄杨科等叶片。本文选定的化石种分别是:双子叶黄杨科黄杨属的Buxus ningmingensis Ma et Sun[34],单子叶棕榈科琼棕属的Chuniophoenix slenderifolia Wang et Sun [36],裸子植物三尖杉科三尖杉属的Cephalotaxus ningmingensis Shi, Zhou et Xie[50]。通过叶片的宏观特征和角质层分析[34, 36, 50],化石种的NLRs分别是小叶黄杨(Buxus microphylla Siebold et Zuccarini subsp. sinica(Rehd. et Wils.)Hatusima)[34],琼棕(Chuniophoenix hainanensis)[36]和篦子三尖杉(Cephalota- xus oliveri)[50]。Buxus ning mingensis和Cephalotaxus ningmingensis是植物群中的常见类型。虽然至今只发现Chuniophoenix slenderif olia一块标本,但其最近现生亲缘种C.hainanensis是热带典型分子且对气候敏感,对气候具有明显的指示作用。因此,本文选择以上三种及其NLRs作为研究对象(图 2)。
关于植物化石碳同位素样品的处理方法有两种,第一种的处理过程如下[14, 51-53]:将植物化石从岩石上剥下,用5%的H2O2试剂均匀的涂抹在标本上,期间用毛刷去掉覆盖的岩石,然后用蒸馏水清洗干净;置于10%的HCl溶液中,将吸附和充填在植物化石上的钙质成分完全除去,直至浸泡试剂由黄色变成白色,然后用蒸馏水清洗干净;再经50%的HF溶液浸泡,将吸附在植物化石上的硅质成分充分溶解,清除难溶物质,并用蒸馏水多次清洗干净。样品在烘箱中以90 ℃恒温烘干,送中国科学院地质与地球物理研究所兰州油气资源研究中心用MAT-253质谱仪测定其δ13C。测量采用PDB标准,误差小于0.5‰。第二种的处理过程与第一种类似,只是经HF溶液处理后,再用舒氏液浸泡直至化石叶片由黑色变浅黄色或透明[6, 42]。本文采用第一种处理过程。Farquhar et al. [11-12]基于对现生植物的光合作用分析,建立了C3植物叶片的碳同位素分馏模型,碳同位素分馏(Δ13C)为:
(1) δ13C空气为大气CO2的碳同位素组成,δ13C植物为C3植物叶片的碳同位素组成,a指大气CO2通过气孔扩散进入植物叶片所造成的碳同位素分馏系数(= 4.4‰),b是指在核酮糖二磷酸羧化酶(RuBP羧化酶)的作用下,固碳的羧化反应所引起的碳同位素分馏系数(= 27.0‰),C植物和C空气分别代表了叶内细胞间和外界大气CO2分压。C植物/C空气与外界多种气候环境因素密切相关,它反映了植物气孔开张程度(导通性)、光合作用强度及其他生理过程[2, 5-6]。
C3植物叶片碳同位素分馏模型(公式1)的提出,使得碳同位素分析成为估算植物水分利用效率(Water-use efficiency,WUE)的理论基础[5, 11-12, 15],WUE为:
(2) WUE受到植物自身和外部气候环境的影响,是评价植物生长适宜程度的综合生理生态指标,实质上反映了光合速率与蒸腾速率之比,单位为μmol CO2/mol H2O,1.6为水蒸气的气孔传导度与CO2的比值。C植物/C空气由公式(1)求得。如已知大气的CO2浓度(C空气CO2),根据公式(2)可求出植物的WUE。
 - 
						
							
根据公式1和2计算的结果表明(表 1):化石种Buxus ningmingensis,Chuniophoenix slenderifolia,Ceph-alotaxus ningmingensis的δ13C由于分别为-29.0‰,-28.3‰,-28.0‰;因此Δ13C分别为23.48‰,22.74‰,22.43‰;C植物/C空气分别为0.84,0.81,0.80;WUE分别为42.63 μmol CO2/mol H2O,51.56 μmol CO2/mol H2O,55.38 μmol CO2/mol H2O。其对应的NLRs的δ13C由于分别为-27.9‰,-29.7‰,-28.8‰;因此Δ13C分别为20.47‰,22.36‰,21.42‰;C植物/C空气分别为0.71,0.79,0.75;WUE分别为72.22 μmol CO2/mol H2O,51.28 μmol CO2/mol H2O,61.76 μmol CO2/mol H2O。表 1,图 3和图 4表明:化石种的碳同位素分馏(Δ13C)要高于其相应的NLRs,而Buxus ningmingensis和Cephalotaxus ningmingensis的水分利用效率(WUE)低于其NLRs,Chuniophoenix slenderifolia的WUE稍高于其NLR。
表 1 化石种及其NLRs的碳同位素分馏和水分利用效率
Table 1. Carbon isotope discrimination and water-use efficiency of the fossil taxa and their NLRs
属种 δ13C植物/‰ δ13C空气/‰ Δ13C/‰ C植物/C空气 C空气CO2 WUE Buxus ningmingensis -29.0 -6.2 23.48 0.84 438 42.63 Chuniophoenix slenderifolia -28.3 -6.2 22.74 0.81 438 51.56 Cephalotaxus ningmingensis -28.0 -6.2 22.43 0.80 438 55.38 Buxus microphylla subsp. sinica -27.9 -8.0 20.47 0.71 400 72.22 Chuniophoenix hainanensis -29.7 -8.0 22.36 0.79 400 51.28 Cephalotaxus oliveri -28.8 -8.0 21.42 0.75 400 61.76 注:渐新世δ13C空气引自Zachos et al.[ 22 ],大气的CO2浓度均值(C空气CO2)引自Sun et al.[14 ];现代δ13C空气和C空气CO2引自CDIAC(http://cdiac.esd.ornl.gov/);C空气CO2单位为ml/m3,WUE单位为μmol CO2/mol H2O。 - 
						
							
Kohn[7]对全球570个地点的多种C3植物分析表明,其δ13C分布范围为-37‰~-20‰,平均值为-28.5‰。基于现生植物的研究发现,C植物/C空气与气孔传导率和光合作用速率密切相关,受到光照、水分、土壤、大气CO2和温度等的影响[6]。较高的C植物/C空气(> 0.7)虽然指示植物具有较高的气孔传到率和较高的同化速率,但由于环境中水分充足,植物的水分利用效率却相对较低。此外,对我国不同气候环境中的现生银杏叶片、德国中始新世早期和云南上新世植物化石叶片的研究表明[4-6, 54],生长在温暖、湿润气候环境中的叶片具有较高的Δ13C和C植物/C空气、以及较低的WUE,说明在水分充足、气候温暖的环境中,植物叶片具有更高的碳同位素分馏,然而其水分利用却比较浪费。
表 1,图 3和图 4表明,化石种的δ13C值(-29.0‰~-28.0‰)均落在现代C3植物相应的数值范围内(-37‰~-20‰),其Δ13C和C植物/C空气值(分别是22.43‰~23.48‰和0.80~0.84)均高于其相应的NLRs数值(分别是20.47‰~22.36‰和0.71~0.79);其中Buxus ningmingensis和Cephalotaxus ningmin gensis的WUE(分别是42.63 μmol CO2/mol H2O和55.38 μmol CO2/mol H2O)低于其相应的NLRs数值(分别是72.22 μmol CO2/mol H2O和61.76 μmol CO2/mol H2O);两者的Δ13C、C植物/C空气和WUE指示当时为一种比现在更为温暖湿润的气候环境。
Chuniophoenix slenderifolia的Δ13C和C植物/C空气(分别是22.74‰和0.81)虽然也高于其NLR数值(分别是22.36‰和0.79),但其WUE稍高于其NLR数值(分别是51.56 μmol CO2/mol H2O和51.28 μmol CO2/mol H2O)(表 1、图 3, 4),推测可能与样品采集有关。Buxus ningmin-gensis和Cephalotaxus ningmin gensis的NLRs(Buxus microphylla subsp. sinica和Cephalotaxus oliveri)标本都来自中国科学院华南植物园标本馆,其母本植物生长在自然生境中,能反映当时的原生气候环境。而Chuniophoenix slenderifolia的NLRs(C. hainanensis)标本采自华南植物园的植物迁地保护园区——棕榈园;其母本植物生长在湖溪边的湿地环境,水源充足、空气潮湿,未必能完全反映当时的原生自然气候环境[6-7],其水分利用比较浪费,水分利用效率相对化石种的WUE低。
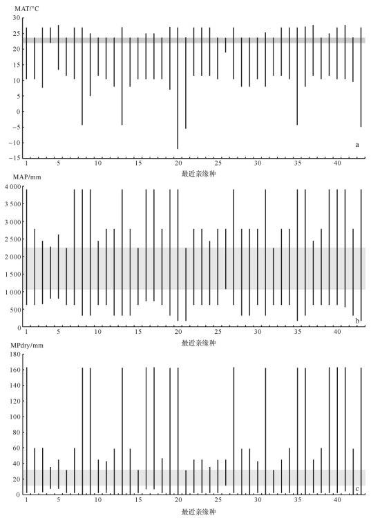
因此,基于化石种及其NLRs的Δ13C、C植物/C空气和WUE分析,推测化石种生活在一种比现在更为温暖湿润的气候环境中。化石种及同层位化石的古气候重建支持了当前古气候分析结果。基于植物大化石利用共存分析法(Coexistence approach,CA)定量重建了渐新世宁明地区一些古气候参数(表 2、图 5),化石种NLRs的气候参数引自中国气象局信息中心气象资料室[55-56],选取1971—2000年的平均值。一些属种跨国分布和只在国外分布,其地理分布区的MAT参考了Palaeoflora Database[57]。CA结果表明:年均温(Mean annual temperature,MAT)为22.8±0.8 ℃、年均降雨量(Mean annual precipitation,MAP)为1 655.1±584.6 mm、最旱月均降雨量(Mean preci pita ti on of the driest month,MPdry)为21.8±10.0 mm。宁明地区现代的MAT为22.0 ℃、MAP为1 304.0 mm、MPdry为19.8 mm(表 2,中国气象局气象信息中心气象资料室[55, 56])。由于化石点的MAT、MAP和MPdry都整体相对高于当地现在的气候值(表 2),支持了当前碳同位素的分析结果。
表 2 化石点的古气候和现今气候对比(modern climate at the fossil locality)
Table 2. Comparison of the paleoclimate and
 - 
						
							
(1)对广西渐新世宁明组的Buxus ningmingensis, Chuniophoenix slenderifolia和Cephalotaxus ningming-ensis及其NLRs碳同位素进行了分析,化石种的碳同位素组成(δ13C)值均落在现代C3植物相应的数值范围内(-37‰~-20‰)。
(2)化石种的碳同位素分馏(Δ13C)以及叶内细胞间和外界大气的CO2分压比(C植物/C空气)均高于其相应的NLRs数值;而Buxus ningmingensis和Cephalo- taxus ningmingensis水分利用效率(WUE)低于其相应的NLRs数值;其中Chuniophoenix slenderifolia的WUE稍高于相应的NLR(C. hainanensis)数值,推测可能与其NLR标本的母本植物生长在水源充足、空气潮湿的湖溪边湿地环境有关。
(3)基于Δ13C、C植物/C空气和WUE结果,推测化石种可能生活在一种比现在更为温暖湿润的气候环境中;化石种及同层位化石的古气候重建支持了当前古气候分析结果。
 
Carbon Isotope and Paleoclimatic Implications of Three Plants from the Oligocene Ningming Formation, Guangxi
- 
					    摘要: 渐新世代表地球一个早期的“冰室”期,是地球气候演化和生物演替过程中一段特殊的时期。渐新世植物化石的碳同位素可为研究该时期的古气候提供依据。对广西渐新世宁明组三种植物及其最近现生亲缘种的碳同位素进行分析,化石种Buxus ningmingensis,Chuniophoenix slenderifolia和Cephalotaxus ningmingensis的碳同位素组成(δ13C)分别为-29.0‰,-28.3‰,-28.0‰;碳同位素分馏(Δ13C)分别为23.48‰,22.74‰,22.43‰;叶内细胞间和外界大气的CO2分压比(C植物/C空气)分别为0.84,0.81,0.80;水分利用效率(WUE)分别为42.63μmol CO2/mol H2O,51.56μmol CO2/mol H2O,55.38 μmol CO2/mol H2O。其对应的最近现生亲缘种(NLRs)的δ13C分别为-27.9‰,-29.7‰,-28.8‰;Δ13C分别为20.47‰,22.36‰,21.42‰;C植物/C空气分别为0.71,0.79,0.75;WUE分别为72.22 μmol CO2/mol H2O,51.28μmol CO2/mol H2O,61.76 μmol CO2/mol H2O。化石种δ13C值均落在现代C3植物相应的数值范围内,其Δ13C和C植物/C空气均高于相应的NLRs数值;而Buxus ningmingensis和Cephalotaxus ningmingensis的WUE低于相应的NLRs数值;其中Chuniophoenix slenderifolia的WUE稍高于相应的最近现生亲缘种C. hainanensis,推测可能与其NLR标本的母本植物生长在水源充足、空气潮湿的湖溪边湿地环境有关。基于Δ13C、C植物/C空气和WUE结果,推测化石种可能生活在一种比现在更为温暖湿润的气候环境中;化石种及同层位化石的古气候重建支持了当前古气候分析结果。Abstract: The Oligocene represented an early "icehouse" epoch and is a significant period in which global climates and organisms had pronounced evolutions. Carbon isotope data for plant fossils from the Oligocene strata records the evolution of contemporaneous climates. Three plants from the Oligocene Ningming Formation in Guangxi were selected for carbon isotope analysis, along with their nearest living relatives (NLRs). The carbon isotope composition (δ13C) values of the fossil plants Buxus ningmingensis, Chuniophoenix slenderifolia and Cephalotaxus ningmingensis were -29.0‰, -28.3‰, -28.0‰, with carbon isotope discrimination (Δ13C) values 23.48‰, 22.74‰, 22.43‰ and Cplant/Cair ratios (intra-leaf CO2: atmospheric CO2) 0.84, 0.81, 0.80. Their water-use efficiency (WUE) were 42.63 μmol CO2/mol H2O, 51.56 μmol CO2/mol H2O, 55.38 μmol CO2/mol H2O. δ13C values of their NLRs were -27.9‰, -29.7‰, -28.8‰, with Δ13C values 20.47‰, 22.36‰, 21.42‰, Cplant/Cair ratios 0.71, 0.79, 0.75 and WUE 72.22 μmol CO2/mol H2O, 51.28 μmol CO2/mol H2O, 61.76 μmol CO2/mol H2O. The carbon isotope analysis shows that δ13C values of the three fossil plants were within the range of δ13C of extant C3 plants, and their Δ13C and Cplant/Cair also showed higher values than their NLRs. The WUE values of Buxus ningmingensis and Cephalotaxus ningmingensis were lower than their NLRs; WUE of Chuniophoenix slenderifolia is slightly higher than its NLR (C. hainanensis), which may have grown in a wetland environment alongside a small stream or lake. The δ13C, Cplant/Cair and WUE values all suggest that the fossil plants may have lived in a warmer and wetter climate. This is supported by paleoclimatic reconstruction based on the three fossil taxa and other plant fossils from the same horizon.
- 
									Key words:
									
 - carbon isotope /
 - paleoclimate /
 - plant fossil /
 - Oligocene /
 - Ningming Formation
 
 - 
						
    
    
图 2 化石种及其 NLRs
(a) Chuniophoenix slenderifolia;(b) Chuniophoenix hainanensis;(c) Cephalotaxus ningmingensis;(d) Buxus ningmingensis;(e) Cephalotaxus oliveri;(f) Buxus microphylla subsp. sinica。a-b,Wang et al. [36]和 Sun et al. [14]有描述;c-f,Sun et al. [14]有描述。比例尺:a-c,e,1 cm;d,f,5 mm
Figure 2. Fossil taxa and nearest living relatives (NLRs)
(a) Chuniophoenix slenderifolia; (b) C. hainanensis; (c) Cephalotaxus ningmingensis; (d) Buxus ningmingensis; (e) Cephalotaxus oliveri; (f) Buxus microphylla subsp. sinica. (a), (b) also illustrated by Wang et al.[36] and Sun et al.[14]; (c)-(f), also illustrated by Sun et al.[14]. Scale bars: (a)-(c), (e) 1 cm; (d), (f) 5 mm
图 3 化石种及其 NLRs 的碳同位素分馏(Δ13C)
(a)Buxus ningmingensis 和 Buxus microphylla subsp. Sinica; (b)Chuniophoenix slenderifolia和C. hainanensis; (c)Cephalotaxus ningmingensis和C. oliveri
Figure 3. Carbon isotope discriminations (Δ13C) of the fossil taxa and their NLRs
(a) Buxus ningmingensis and B. microphylla subsp. sinica; (b) Chuniophoenix slenderifolia and C. hainanensis; (c) Cephalotaxus ningmingensis and C. oliveri
图 4 化石种及其 NLRs 的水分利用效率(WUE)
(a)Buxus ningmingensis和 Buxus microphylla subsp. sinica;(b)Chuniophoenix slenderifolia和 C. hainanensis;(c)Cephalotaxus ningmingensis和 C. oliveri
Figure 4. Water-use efficiency (WUE) of the fossil taxa and their NLRs
(a) Buxus ningmingensis and B. microphylla subsp. sinica;(b) Chuniophoenix slenderifolia and C. hainanensis;(c) Cephalotaxus ningmingensis and C. oliveri
表 1 化石种及其NLRs的碳同位素分馏和水分利用效率
Table 1. Carbon isotope discrimination and water-use efficiency of the fossil taxa and their NLRs
属种 δ13C植物/‰ δ13C空气/‰ Δ13C/‰ C植物/C空气 C空气CO2 WUE Buxus ningmingensis -29.0 -6.2 23.48 0.84 438 42.63 Chuniophoenix slenderifolia -28.3 -6.2 22.74 0.81 438 51.56 Cephalotaxus ningmingensis -28.0 -6.2 22.43 0.80 438 55.38 Buxus microphylla subsp. sinica -27.9 -8.0 20.47 0.71 400 72.22 Chuniophoenix hainanensis -29.7 -8.0 22.36 0.79 400 51.28 Cephalotaxus oliveri -28.8 -8.0 21.42 0.75 400 61.76 注:渐新世δ13C空气引自Zachos et al.[ 22 ],大气的CO2浓度均值(C空气CO2)引自Sun et al.[14 ];现代δ13C空气和C空气CO2引自CDIAC(http://cdiac.esd.ornl.gov/);C空气CO2单位为ml/m3,WUE单位为μmol CO2/mol H2O。 - 
						
[1] 李相博, 陈践发, 张平中, 等.青藏高原(东北部)现代植物碳同位素组成特征及其气候信息[J].沉积学报, 1999, 17(2):325-329. doi: 10.3969/j.issn.1000-0550.1999.02.027 Li Xiangbo, Chen Jianfa, Zhang Pingzhong, et al. The characteristics of carbon isotope composition of modern plants over Qinghai-Tibet Plateau(NE)and its climatic information[J]. Acta Sedimentologica Sinica, 1999, 17(2):325-329. doi: 10.3969/j.issn.1000-0550.1999.02.027 [2] Chakraborty S, Jana B N, Bhattacharya S K, et al. Carbon isotopic composition of fossil leaves from the Early Cretaceous sediments of western India[J]. Journal of Earth System Science, 2011, 120(4):703-711. doi: 10.1007/s12040-011-0098-x [3] Farquhar G, Von Caemmerer S, Berry J A. A biochemical model of photosynthetic CO2 assimilation in leaves of C3 species[J]. Planta, 1980, 149(1):78-90. doi: 10.1007/BF00386231 [4] Sun B N, Dilcher D L, Beerling D J, et al. Variation in Ginkgo biloba L. leaf characters across a climatic gradient in China[J]. Proceedings of the National Academy of Sciences of the United States of America, 2003, 100(12):7141-7146. doi: 10.1073/pnas.1232419100 [5] 解三平, 孙柏年, 闫德飞, 等.滇西新近纪植物气孔、碳同位素组成与古环境分析[J].沉积学报, 2006, 24(6):883-888. doi: 10.3969/j.issn.1000-0550.2006.06.015 Xie Sanping, Sun Bainian, Yan Defei, et al. Stomata, carbon isotopic composition of the plants from the Neogene in West Yunnan and paleoenvironmental analysis[J]. Acta Sedimentologica Sinica, 2006, 24(6):883-888. doi: 10.3969/j.issn.1000-0550.2006.06.015 [6] Grein M, Roth-Nebelsick A, Wilde V. Carbon isotope composition of Middle Eocene leaves from the Messel Pit, Germany[J]. Palaeodiversity, 2010, 3:1-7. http://www.wanfangdata.com.cn/details/detail.do?_type=perio&id=Open J-Gate000000434166 [7] Kohn M J. Carbon isotope compositions of terrestrial C3 plants as indicators of(paleo)ecology and(paleo)climate[J]. Proceedings of the National Academy of Sciences of the United States of America, 2010, 107(46):19691-19695. doi: 10.1073/pnas.1004933107 [8] Beerling D J, Woodward F I. Stomatal density responses to global environmental change[M]//Stanhill G. Advances in bioclimatology. Berlin: Springer, 1996, 4: 171-221. [9] Beerling D J, Royer D L. Fossil plants as indicators of the Phanerozoic global carbon cycle[J]. Annual Review of Earth and Planetary Sciences, 2002, 30(1):527-556. doi: 10.1146/annurev.earth.30.091201.141413 [10] 解三平, 闫德飞, 韦利杰, 等.精确重建古大气CO2浓度的气孔方法[J].古生物学报, 2005, 44(3):464-471. doi: 10.3969/j.issn.0001-6616.2005.03.010 Xie Sanping, Yan Defei, Wei Lijie, et al. A stomatal approach for accurate reconstruction of palaeoatmospheric CO2 concentration[J]. Acta Palaeontologica Sinica, 2005, 44(3):464-471. doi: 10.3969/j.issn.0001-6616.2005.03.010 [11] Farquhar G D, O'Leary M H, Berry J A. On the relationship between carbon isotope discrimination and the intercellular carbon dioxide concentration in leaves[J]. Australian Journal of Plant Physiology, 1982, 9(2):121-137. http://cn.bing.com/academic/profile?id=342dda2e500750688d70e79666a67f09&encoded=0&v=paper_preview&mkt=zh-cn [12] Farquhar G D, Ehleringer J R, Hubick K T. Carbon isotope discrimination and photosynthesis[J]. Annual Review of Plant Physiology and Plant Molecular Biology, 1989, 40(1):503-537. doi: 10.1146/annurev.pp.40.060189.002443 [13] Sun B N, Xie S P, Yan D F, et al. Fossil plant evidence for Early and Middle Jurassic paleoenvironmental changes in Lanzhou area, Northwest China[J]. Palaeoworld, 2008, 17(3/4):215-221. http://cn.bing.com/academic/profile?id=fe1d58952e36087ed9382b5a0369b9cb&encoded=0&v=paper_preview&mkt=zh-cn [14] Sun B N, Wang Q J, Konrad W, et al. Reconstruction of atmospheric CO2 during the Oligocene based on leaf fossils from the Ningming Formation in Guangxi, China[J]. Palaeogeography, Palaeoclimatology, Palaeoecology, 2017, 467:5-15. doi: 10.1016/j.palaeo.2016.09.015 [15] Yan D F, Sun B N, Xie S P, et al. Response to paleoatmospheric CO2 concentration of Solenites vimineus (Phillips) Harris (Ginkgophyta)from the Middle Jurassic of the Yaojie Basin, Gansu province, China[J]. Science in China Series D:Earth Sciences, 2009, 52(12):2029-2039. doi: 10.1007/s11430-009-0181-1 [16] 李瑞云, 王秋军, 高正海, 等.甘肃中部蛇苔(Conocephalum conicum(L.)Dum)表皮特征与稳定碳同位素组成沿海拔的变化[J].兰州大学学报(自然科学版), 2012, 48(2):9-14. doi: 10.3969/j.issn.0455-2059.2012.02.003 Li Ruiyun, Wang Qiujun, Gao Zhenghai, et al. Variation of epidermal features and stable carbon isotope composition of Conocephalum conicum(L.)Dum through different elevations in central Gansu province[J]. Journal of Lanzhou University(Natural Sciences), 2012, 48(2):9-14. doi: 10.3969/j.issn.0455-2059.2012.02.003 [17] 王秋军, 毛铁, 孙柏年, 等.基于共存分析法和叶缘分析法重建中国渐新世年均温[J].地质学报, 2017, 91(12):2608-2622. doi: 10.3969/j.issn.0001-5717.2017.12.002 Wang Qiujun, Mao Tie, Sun Bainian, et al. Quantitative reconstruction of Oligocene mean annual temperatures in China based on Coexistence Approach and Leaf Margin Analysis[J]. Acta Geologica Sinica, 2017, 91(12):2608-2622. doi: 10.3969/j.issn.0001-5717.2017.12.002 [18] 马福军, 徐小慧, 李瑞云, 等.内蒙古乌尼特煤田下白垩统分散角质层研究[J].微体古生物学报, 2013, 30(3):244-262. http://www.wanfangdata.com.cn/details/detail.do?_type=perio&id=wtgswxb201303004 Ma Fujun, Xu Xiaohui, Li Ruiyun, et al. Dispersed cuticles from the Lower Cretaceous Wunite coal field in Inner Mongolia[J]. Acta Micropalaeontologica Sinica, 2013, 30(3):244-262. http://www.wanfangdata.com.cn/details/detail.do?_type=perio&id=wtgswxb201303004 [19] 王秋军, 徐小慧, 金培红, 等.基于银杏类化石Baiera furcata气孔参数定量重建中生代古大气CO2浓度变化[J].地质论评, 2013, 59(6):1035-1045. http://d.old.wanfangdata.com.cn/Periodical/dzlp201306003 Wang Qiujun, Xu Xiaohui, Jin Peihong, et al. Quantitative reconstruction of Mesozoic paleoatmospheric CO2 based on stomatal parameters of fossil Baiera furcata of ginkgophytes[J]. Geological Review, 2013, 59(6):1035-1045. http://d.old.wanfangdata.com.cn/Periodical/dzlp201306003 [20] Wang Q J, Ma F J, Yang Y, et al. Bamboo leaf and pollen fossils from the Late Miocene of eastern Zhejiang, China and their phytogeological significance[J]. Acta Geological Sinica(English Edition), 2014, 88(4):1066-1083. doi: 10.1111/1755-6724.12274 [21] Ma F J, Wang Q J, Dong J L, et al. A new plant assemblage from the Middle Triassic volcanic tuffs of Pingchuan, Gansu, northwestern China and its paleoenvironmental significance[J]. PalZ, 2016, 90(2):349-376. doi: 10.1007/s12542-016-0301-0 [22] Zachos J, Pagani M, Sloan L, et al. Trends, rhythms, and aberrations in global climate 65 Ma to present[J]. Science, 2001, 292(5517):686-693. doi: 10.1126/science.1059412 [23] Pälike H, Norris R D, Herrle J O, et al. The heartbeat of the Oligocene climate system[J]. Science, 2006, 314(5807):1894-1898. doi: 10.1126/science.1133822 [24] Beerling D J, Royer D L. Convergent Cenozoic CO2 history[J]. Nature Geoscience, 2011, 4(7):418-420. doi: 10.1038/ngeo1186 [25] Wolfe J A. A method of obtaining climatic parameters from leaf assemblages[M]. Washington:United States Government Printing Office, 1993:1-71. [26] Mosbrugger V, Utescher T. The coexistence approach-a method for quantitative reconstructions of Tertiary terrestrial palaeoclimate data using plant fossils[J]. Palaeogeography, Palaeoclimatology, Palaeoecology, 1997, 134(1/2/3/4):61-86. doi: 10.1016/S0031-0182(96)00154-X [27] Bruch A A, Mosbrugger V. Palaeoclimate versus vegetation reconstruction-palynological investigations on the Oligocene sequence of the Sava Basin, Slovenia[J]. Review of Palaeobotany and Palynology, 2002, 122(3/4):117-141. doi: 10.1016/s0034-6667(02)00106-9 [28] Ivanov D A, Ashraf A R, Mosbrugger V. Late Oligocene and Miocene climate and vegetation in the eastern Paratethys area (Northeast Bulgaria), based on pollen data[J]. Palaeogeography, Palaeoclimatology, Palaeoecology, 2007, 255(3/4):342-360. http://www.wanfangdata.com.cn/details/detail.do?_type=perio&id=bc1813404d448e3a9eda3162e9cb9c8a [29] Uhl D, Herrmann M. Palaeoclimate estimates for the late Oligocene Taphoflora of Enspel(Westerwald, West Germany)based on palaeobotanical proxies[J]. Palaeobiodiversity and Palaeoenvironments, 2010, 90(1):39-47. doi: 10.1007/s12549-009-0018-0 [30] 姚妮妮, 马福军, 闫德飞.甘肃兰州盆地渐新世古气候参数重建[J].甘肃地质, 2010, 19(4):20-25. http://www.cnki.com.cn/Article/CJFDTotal-GSDZ201004006.htm Yao Nini, Ma Fujun, Yan Defei. Reconstruction of palaeoclimatic parameters from the Oligocene in Lanzhou Basin, Gansu province[J]. Gansu Geology, 2010, 19(4):20-25. http://www.cnki.com.cn/Article/CJFDTotal-GSDZ201004006.htm [31] Dong J L, Sun B N, Ma F J, et al. Paliurus fruits from the Oligocene of South China and their phytogeographic implications[J]. Plos One, 2015, 10(11):e0140653. doi: 10.1371/journal.pone.0140653 [32] Dong J L, Wang W J, Deng P, et al. New material of Palaeocarya from the Oligocene of Ningming, Guangxi, South China[J]. PalZ, 2016, 90(2):399-412. doi: 10.1007/s12542-016-0302-z [33] Ma F J, Sun B N, Wang Q J, et al. A new species of Meliolinites associated with Buxus leaves from the Oligocene of Guangxi, southern China[J]. Mycologia, 2015, 107(3):505-511. doi: 10.3852/14-270 [34] Ma F J, Wang Q J, Dong J L, et al. Buxus leaves from the Oligocene of Guangxi, China and their biogeographical significance[J]. Acta Geological Sinica(English Edition), 2015, 89(5):1453-1469. doi: 10.1111/1755-6724.12557 [35] Ma F J, Sun B N, Wang Q J, et al. A new species of Zelkova(Ulmaceae, Ulmoideae)with leaves and fruits from the Oligocene of South China and its biogeographical implications[J]. Historical Biology, 2016, 29(1):1-10. http://www.wanfangdata.com.cn/details/detail.do?_type=perio&id=10.1080/08912963.2015.1049538 [36] Wang Q J, Ma F J, Dong J L, et al. Coryphoid palms from the Oligocene of China and their biogeographical implications[J]. Comptes Rendus Palevol, 2015, 14(4):263-279. doi: 10.1016/j.crpv.2015.03.005 [37] Wang Q J, Ma F J, Dong J L, et al. New costapalmate palm leaves from the Oligocene Ningming Formation of Guangxi, China, and their biogeographic and palaeoclimatic implications[J]. Historical Biology, 2017, 29(5):594-606. doi: 10.1080/08912963.2016.1218487 [38] 马福军, 吴媛欣, 刘松, 等.广西宁明组植物化石中黄铁矿及其沉积意义[J].沉积学报, 2018, 36(1):33-41. http://www.cjxb.ac.cn/CN/abstract/abstract3842.shtml Ma Fujun, Wu Yuan-xin, Liu Song, et al. Pyrites in the plant fossils from the Ningming Formation, Guangxi, and their depositional significance[J]. Acta Sedimentologica Sinica, 2018, 36(1):33-41. http://www.cjxb.ac.cn/CN/abstract/abstract3842.shtml [39] 宁宗善, 胡炎坤, 周铁明, 等.中国油气区第三系(Ⅶ)滇桂油气区分册[M].北京:石油工业出版社, 1994:13-20. Ning Zongshan, Hu Yankun, Zhou Tieming, et al. Tertiary in petroliferous regions of China(Ⅶ)[M]. Beijing:Petroleum Industry Press, 1994:13-20. [40] 广西壮族自治区地质矿产局.广西壮族自治区区域地质志[M].北京:地质出版社, 1985:273-274. Bureau of Geology and Mineral Resources of Guangxi Zhuang Autonomous Region. Regional geology of Guangxi Zhuang Autonomous Region[M]. Beijing:Geological Publishing House, 1985:273-274. [41] 马福军.广西宁明渐新世被子植物化石及植物群古气候重建[D].兰州: 兰州大学, 2015. Ma Fujun. Angiosperm fossils from the Oligocene of Ningming, Guangxi and a paleoclimatic reconstruction of the flora[D]. Lanzhou: Lanzhou University, 2015. [42] 王秋军.广西宁明渐新世棕榈植物及其生物地理意义[D].兰州: 兰州大学, 2015. Wang Qiujun. Palms from the Oligocene of Ningming, Guangxi and their biogeographical implications[D]. Lanzhou: Lanzhou University, 2015. [43] Ma F J, Liu S, Sun B N, et al. Legume fruits from the Oligocene Ningming Formation of Guangxi, China, and their biogeographical and palaeoclimatic implications[J]. Review of Palaeobotany and Palynology, 2017, 244:192-202. doi: 10.1016/j.revpalbo.2017.05.009 [44] 王伟铭, 陈耿娇, 陈运发, 等.广西宁明盆地第三纪孢粉植物群及其地层意义[J].地层学杂志, 2003, 27(4):324-327. doi: 10.3969/j.issn.0253-4959.2003.04.010 Wang Wei-ming, Chen Gengjiao, Chen Yunfa, et al. Tertiary palynostratigraphy of the Ningming Basin, Guangxi[J]. Journal of Stratigraphy, 2003, 27(4):324-327. doi: 10.3969/j.issn.0253-4959.2003.04.010 [45] 陈耿娇, 陈云发, 邝国敦, 等.广西宁明盆地第三纪鱼类化石生物地层[J].古脊椎动物学报, 2004, 42(1):81-85. doi: 10.3969/j.issn.1000-3118.2004.01.008 Chen Gengjiao, Chen Yunfa, Kuang Guodun, et al. Biostratigraphy of Tertiary fossil fishes from Ningming Basin, Guangxi[J]. Vertebrata Palasiatica, 2004, 42(1):81-85. doi: 10.3969/j.issn.1000-3118.2004.01.008 [46] 邝国敦, 陈耿娇, 陈运发, 等.广西宁明盆地第三纪地层研究的新进展[J].地层学杂志, 2004, 29(4):362-367. http://d.old.wanfangdata.com.cn/Periodical/dcxzz200504008 Kuang Guodun, Chen Gengjiao, Chen Yunfa, et al. New information on the Tertiary biostratigraphy of the Ningming Basin, Guangxi[J]. Journal of Stratigraphy, 2004, 29(4):362-367. http://d.old.wanfangdata.com.cn/Periodical/dcxzz200504008 [47] Chen G J, Fang F, Chang M M. A new cyprinid closely related to cultrins+xenocyprinins from the Mid-Tertiary of South China[J]. Journal of Vertebrate Paleontology, 2005, 25(3):492-501. doi: 10.1671/0272-4634(2005)025[0492:ANCCRT]2.0.CO;2 [48] Chen G J, Chang M M. A new early cyprinin from Oligocene of south China[J]. Science China Earth Sciences, 2011, 54(4):481-492. doi: 10.1007/s11430-011-4182-5 [49] 史恭乐.广西渐新世宁明组植物化石及植物群古气候初步重建[D].南京: 中国科学院研究生院, 2010. Shi Gongle. Fossil plants from the Oligocene Ningming Formation of Guangxi, and a preliminary palaeoclimatic reconstruction of the flora[D]. Nanjing: Graduate School of Chinese Academy of Sciences, 2010. [50] Shi G L, Zhou Z Y, Xie Z M. A new Cephalotaxus and associated epiphyllous fungi from the Oligocene of Guangxi, South China[J]. Review of Palaeobotany and Palynology, 2010, 161(3/4):179-195. doi: 10.1016/j.revpalbo.2010.04.002 [51] Grein M, Oehm C, Konrad W, et al. Atmospheric CO2 from the Late Oligocene to Early Miocene based on photosynthesis data and fossil leaf characteristics[J]. Palaeogeography, Palaeoclimatology, Palaeoecology, 2013, 374:41-51. doi: 10.1016/j.palaeo.2012.12.025 [52] Roth-Nebelsick A, Oehm C, Grein M, et al. Stomatal density and index data of Platanus neptuni leaf fossils and their evaluation as a CO 2 proxy for the Oligocene[J]. Review of Palaeobotany and Palynology, 2014, 206:1-9. doi: 10.1016/j.revpalbo.2014.03.001 [53] 肖良, 漆亚玲, 马文忠, 等.吐哈盆地北缘中侏罗世植物化石稳定碳同位素的古环境意义[J].沉积学报, 2017, 35(3):489-498. http://www.cjxb.ac.cn/CN/abstract/abstract3768.shtml Xiao Liang, Qi Yaling, Ma Wenzhong, et al. Stable carbon isotope of Middle Jurassic plant fossils in the north edge of Turpan-Hami Basin, Xinjiang and their palaeoenvironmental implications[J]. Acta Sedimentologica Sinica, 2017, 35(3):489-498. http://www.cjxb.ac.cn/CN/abstract/abstract3768.shtml [54] 解三平.滇西新近纪翅果数值分类和被子植物叶片的古环境重建[D].兰州: 兰州大学, 2007. Xie Sanping. Numerical taxonomy of winged fruits and paleoenvironmental reconstraction based on angiosperm leaves from the Neogene of West Yunnan[D]. Lanzhou: Lanzhou University, 2007. [55] 中国气象局气象信息中心气象资料室. 1971-2000中国地面气候标准值[M].北京:中国气象局出版社, 2004:16-127. Information Department of Beijing Meteorological Center. Land climate data of China(1971-2000), Part 1[M]. Beijing:Petroleum Industry Press, 2004:16-127. [56] 中国气象局气象信息中心气象资料室. 1971-2000中国地面气候标准值[M].北京:中国气象局出版社, 2004:1-282. Information Department of Beijing Meteorological Center. Land climate data of China(1971-2000), Part 2[M]. Beijing:Petroleum Industry Press, 2004:267-391. [57] Utescher T, Mosbrugger V. The Palaeoflora Database[EB/OL].(2015). http//www.geologie.unibonn.de/palaeo[flora.de[last update: 22. 12. 2015].]  - 
						
						
						
						
						
					 
		        
 
							
							
下载: 
				
							
							
							
							
 
												
									
