高级搜索

留言板

尊敬的读者、作者、审稿人, 关于本刊的投稿、审稿、编辑和出版的任何问题, 您可以本页添加留言。我们将尽快给您答复。谢谢您的支持!

姓名
邮箱
手机号码
标题
留言内容
验证码

缝合线中有机质来源、流体运移以及地质意义

朱康乐 高岗 刘诗局 王成云 程光瑾 胡丹丹

朱康乐, 高岗, 刘诗局, 王成云, 程光瑾, 胡丹丹. 缝合线中有机质来源、流体运移以及地质意义[J]. 沉积学报, 2024, 42(2): 661-674. doi: 10.14027/j.issn.1000-0550.2022.075
引用本文: 朱康乐, 高岗, 刘诗局, 王成云, 程光瑾, 胡丹丹. 缝合线中有机质来源、流体运移以及地质意义[J]. 沉积学报, 2024, 42(2): 661-674. doi: 10.14027/j.issn.1000-0550.2022.075
ZHU KangLe, GAO Gang, LIU ShiJu, WANG ChengYun, CHENG GuangJin, HU DanDan. Origin of Organic Matter, Fluid Transport and Geological Significance in Stylolites[J]. Acta Sedimentologica Sinica, 2024, 42(2): 661-674. doi: 10.14027/j.issn.1000-0550.2022.075
Citation: ZHU KangLe, GAO Gang, LIU ShiJu, WANG ChengYun, CHENG GuangJin, HU DanDan. Origin of Organic Matter, Fluid Transport and Geological Significance in Stylolites[J]. Acta Sedimentologica Sinica, 2024, 42(2): 661-674. doi: 10.14027/j.issn.1000-0550.2022.075

缝合线中有机质来源、流体运移以及地质意义

doi: 10.14027/j.issn.1000-0550.2022.075
基金项目: 

国家自然科学基金项目 411372142

详细信息
    作者简介:

    朱康乐,男,1995年出生,硕士研究生,油气成藏与分布规律,E-mail: zhukangleyx@163.com

    通讯作者:

    高岗,男,教授,油气地球化学、油气成藏与分布规律,E-mail: gaogang2819@sina.com

  • 中图分类号: P618.13

Origin of Organic Matter, Fluid Transport and Geological Significance in Stylolites

Funds: 

National Natural Science Foundation of China 411372142

  • 摘要: 目的 缝合线作为碳酸盐岩的典型结构,其形成对于碳酸盐岩本身有机质的富集和流体运移具有重要的意义。然而,缝合线中有机质的来源和流体运移的机理目前尚未深入研究。 方法 以四川盆地东部大池干构造带含缝合线的碳酸盐岩岩心样品为研究对象,分别对岩心中缝合线和基质进行了有机碳、热解(Rock-Eval)、岩石薄片、荧光薄片、全岩X射线衍射、碳氧同位素以及扫描电镜等分析测试。 结果与结论 缝合线中的有机质主要以可溶有机质、焦沥青和沥青的形式赋存,表明缝合线中的有机质主要为运移而来的次生有机质。且缝合线中的次生白云石和黄铁矿发育,且保留了矿物的晶间孔隙和裂缝,为油气的聚集和运移提供了良好的条件。此外,沿缝合线方向存在明显的油气分馏效应,且在缝合线较薄的区域分馏效应越明显。综合分析认为,缝合线与基质接触界面上的强烈胶结作用及其附近次生矿物的形成是造成烃类流体从基质向缝合线运移时分馏效应的原因。当缝合线发育时,缝合线中的有机质会在高演化阶段裂解形成天然气,与其他成因的天然气混合时会影响天然气来源判别;缝合线作为原油的运移通道时,对原油造成的分馏效应也会对原油来源的判别造成一定困扰,因此应该选择合适的生物标志化合物对比参数来分析油源关系,同时原油性质的空间变化规律也应该被考虑。
  • 图  1  四川盆地石炭系和奥陶系碳酸盐岩取样位置(a)及地层剖面图(b)

    Figure  1.  Sampling location of the Carboniferous and Ordovician carbonate rocks in the Sichuan Basin (a) and its stratigraphic profile (b)

    图  2  样品中缝合线宏观及微观特征

    (a) photograph of a core showing the uneven surface of stylolites in well Z3, 4 317.60 m, O22; (b) photograph of a core showing stylolites are beaded in well Wk1, 4 251.68 m, C2; (c) photomicrograph showing carbonate rock samples containing stylolites under plane⁃polarized light (the red color is to highlight the stylolites), well Wk1, 4 251.68 m, C2; (d) photomicrograph of closed zone d of stylolite⁃rich laminae in (c) under plane⁃polarized light; (e) same field as (d) under reflective light; (f) photomicrograph of closed zone f of stylolite⁃rich laminae in (c) under plane⁃polarized light; and (g) same field as (f) under fluorescent light

    Figure  2.  Macro and micro characterization of stylolites in samples

    Fig.2

    图  3  扫描电镜下缝合线中有机质赋存形式

    (a) bitumen with smooth surface, well Wk1, 4 251.68 m,C2; (b) the energy spectrum of organic matter (OM) in (a); (c) solid globular pyrobitumen pieces with a rough surface, pasted on the crystal face of dolomite, well Wk1, 4 251.68 m,C2; (d) dispersed EOM. When the energy spectrum is excited, the black spot disappears and bulges appear, which are combined with the fluorescent flakes and considered soluble organic matter and secondary pyrite, well Wk1, 4 251.68 m, C2; (e): photomicrograph of closed zone e of dispersed soluble organic matter in (d); (f) Photograph of pyrobitumen pieces with a rough surface[39]

    Figure  3.  Microphotographs showing the occurrence of organic matter in stylolites

    Fig.3

    图  4  样品的扫描电子显微镜(SEM)图像,显示了缝合线中的孔隙和裂缝

    (a) intergranular pores of secondary dolomite and with euhedral morphology, well Z3, 4 317.60 m, O22; (b) the crack formed by secondary minerals, well Wk1, 4 251.68 m, C2; (c⁃f) intergranular pores and cracks of secondary dolomite and secondary pyrite in stylolites, from the sample with argon ion polishing

    Figure  4.  Scanning electron microscopy (SEM) images of studied samples, showing the pores and cracks in stylolites

    Fig.4

    图  5  不同样品地球化学参数对比图

    (a) TOC (%); (b) S2(mg HC/g Rock); (c) S1(mg HC/g Rock); (d) S1+S2(mg HC/g Rock)

    Figure  5.  Comparison of geochemical parameters between different samples

    Fig.5

    图  6  碳酸盐岩样品缝合线、基质TOC与热解参数交会图

    (a) diagram of TOC and S1+S2 of stylolites and matrix; (b) diagram of TOC and HI of stylolites and matrix; (c) diagram of TOC and HCI of stylolites and matrix

    Figure  6.  Diagrams of TOC and pyrolysis parameters for stylolites and matrix of carbonate rock samples

    Fig.6

    图  7  同一样品缝合线和基质的复合质谱图(m/z191,217),Z3井,4 316 m,O22[34]

    Figure  7.  Composite mass chromatograms (m/z 191, 217) of stylolites and matrix for the same carbonate rock, well Z3, 4 316 m, O22[34]

    图  8  同一样品的缝合线与基质之间的Tmax(a)、ΔTmax与ΔTOC(b)的散点图

    Figure  8.  Diagram of Tmaxbetween stylolites and matrix (a) and ∆TmaxVs.∆TOC (b) for the same carbonate rock sample

    图  9  同一样品中的缝合线与基质之间不同矿物含量交会图

    Figure  9.  Diagrams of the content of different minerals between stylolites and matrix for the same carbonate rock sample

    图  10  碳酸盐岩的缝合线和基质的δ13C⁃δ18O交会图[51]

    Figure  10.  Cross plot of δ13C⁃δ18O of stylolite and matrix for carbonate rock samples[51]

    图  11  碳酸盐岩样品缝合线与基质的碳氧同位素交会图

    (a) diagram of carbon isotopes of stylolite and matrix; (b) diagram of oxygen isotope of stylolite and matrix; (c) diagram of Δδ13C vs Δδ18O; ∆δ13C=(δ13C-S)-(δ13C-M),∆δ18O=(δ18O-S)-(δ18O-M)

    Figure  11.  Diagrams of carbon and oxygen isotopes for the carbonate rock samples

    Fig.11

    图  12  缝合线和基质接触界面的薄片特征

    (a, b) thin⁃section photomicrographs showing the structure of stylolites under plane⁃polarized (a) and reflected (b) light, well Z3, 4 317.60 m, O22; (c) photomicrograph showing the structure of stylolites under plane⁃polarized light, well Wk1, 4 251.68 m, C2; (d) same field as (c) under fluorescent light

    Figure  12.  Microscopic characterization of the contact interface of stylolites and matrix

    Fig.12

    图  13  碳酸盐岩烃源岩有机质来源与流体运移模型

    Figure  13.  Model of organic matter source and fluid migration of stylolites in carbonate source rock

    表  1  样品基本信息表

    Table  1.   Basic sample information

    井号层位深度/m编号
    Z3O224 316.301-Ssr
    1-Msr
    4 318.842-Ssr
    2-Msr
    4 317.603-Ssr
    3-Msr
    Ch53C23 030.134-Ssr
    4-Msr
    3 053.885-Ssr
    5-Msr
    Wk1C24 254.286-Ssr
    6-Msr
    4 251.677-Ssr
    7-Msr
    下载: 导出CSV

    表  2  碳酸盐岩样品中缝合线和基质的TOC和岩石热解数据统计表

    Table  2.   Statistical data of total organic carbon (TOC) and Rock⁃Eval parameters for the stylolites and matrix in carbonate rock samples

    参数缝合线基质
    最小值最大值平均值样品数最小值最大值平均值样品数
    TOC/%0.630.880.7770.030.240.127
    S1(mg/g)0.091.050.3970.050.530.237
    S2(mg/g)1.926.504.2770.160.820.357
    S1S2(mg/g)2.296.644.6670.211.170.577
    PI0.020.350.1070.210.750.397
    HI(mg/g)27289456771044623257
    HCI(mg/g)101495171203071857
    Tmax/℃37350042074206004817
    下载: 导出CSV

    表  3  碳酸盐岩样品中缝合线和基质的X射线衍射测试数据[33]

    Table  3.   X⁃ray diffraction (XRD) for the stylolites and matrix in carbonate rock samples[33]

    样品号矿物颗粒的种类和含量/%黏土矿物 /%
    石英长石方解石白云石黄铁矿硬石膏
    1-Ssr5.12.611.847.614.1017.5
    1-Msr2.42.656.127.23.405.3
    2-Ssr5.71.88.348.112.51.719.2
    2-Msr2.42.566.117.32.607.1
    3-Ssr5.32.112.445.510.6022.5
    3-Msr2.61.558.726.45.703.1
    4-Ssr6.91.911.843.411.5022.7
    4-Msr3.42.468.416.83.21.14.1
    5-Ssr6.62.711.541.39.3026.3
    5-Msr2.41.459.327.92.202.8
    6-Ssr6.22.912.248.68.71.518.5
    6-Msr1.62.166.715.21.808.2
    7-Ssr6.82.89.744.813.1018.1
    7-Msr2.22.763.418.12.706.9
    下载: 导出CSV

    表  4  碳酸盐岩样品中缝合线和基质的δ13C和δ18O测试数据表

    Table  4.   δ13C and δ18O for the stylolites and matrix in carbonate rock samples

    样品号δ13CV-PDB/‰δ18OV-PDB/‰δ13C/‰δ18O/‰
    1-Ssr1.4-10.80.4-0.3
    1-Msr1.8-11.1
    2-Ssr1.6-10.60.6-0.4
    2-Msr2.2-11.0
    3-Ssr3.0-11.10.20.6
    3-Msr3.2-10.5
    4-Ssr1.0-12.60-0.6
    4-Msr1.0-13.2
    5-Ssr-2.3-8.1-0.4-0.4
    5-Msr-2.7-8.5
    6-Ssr0.3-1.30.3-0.7
    6-Msr0.6-2.0
    7-Ssr-4.0-6.41.72.9
    7-Msr-2.3-3.5
    下载: 导出CSV
  • [1] Frank T D, Lyons T W, Lohmann K C. Isotopic evidence for the paleoenvironmental evolution of the Mesoproterozoic Helena Formation, belt supergroup, Montana, USA[J]. Geochimica et Cosmochimica Acta, 1997, 61(23): 5023-5041.
    [2] Philp R P. Petroleum formation and occurrence[J]. Eos, Transactions American Geophysical Union, 1985, 66(37): 643-644.
    [3] Palacas J G. Characteristics of carbonate source rocks of petroleum[M]//Magoon L B. Petroleum systems of the United States. Washington: US Government Printing Office, 1988: 20-25.
    [4] 郝石生,王飞宇,高岗,等. 下古生界高过成熟烃源岩特征和评价[J]. 勘探家,1996,1(2):25-32.

    Hao Shisheng, Wang Feiyu, Gao Gang, et al. Characteristics and assessments of Early Paleozoic high-overmature source rock[J]. Explorationist, 1996, 1(2): 25-32.
    [5] 卢双舫,钟宁宁,薛海涛,等. 碳酸盐岩有机质二次生烃的化学动力学研究及其意义[J]. 中国科学(D辑):地球科学,2007,37(2):178-184.

    Lu Shuangfang, Zhong Ningning, Xue Haitao, et al. Chemical kinetics of secondary hydrocarbon generation from carbonate organic matter and its significance [J]. Science China (Seri. D): Earth Sciences, 2007, 37(2): 178-184 .
    [6] Liu Q Y, Jin Z J, Liu W H, et al. Presence of carboxylate salts in marine carbonate strata of the Ordos Basin and their impact on hydrocarbon generation evaluation of low TOC, high maturity source rocks[J]. Science China Earth Sciences, 2013, 56(12): 2141-2149.
    [7] Jones R W. Comparison of carbonate and shale source rocks[M]//Palacas J G. Petroleum geochemistry and source rock potential of carbonate rocks. Tulsa: American Association of Petroleum Geologists, 1984: 163-180.
    [8] Sassen R, Moore C H, Meendsen F C. Distribution of hydrocarbon source potential in the Jurassic Smackover Formation[J]. Organic Geochemistry, 1987, 11(5): 379-383.
    [9] Sassen R. Geochemistry of carbonate source rocks and crude oils in Jurassic salt basins of the gulf coast[M]//Brooks J. Classic petroleum provinces. London: Geological Society, 1990: 265-277.
    [10] Leythaeuser D, Borromeo O, Mosca F, et al. Pressure solution in carbonate source rocks and its control on petroleum generation and migration[J]. Marine and Petroleum Geology, 1995, 12(7): 717-733.
    [11] Dunnington H V. Aspects of diagenesis and shape change in stylolitic limestone reservoirs[C]//Proceedings of the 7th world petroleum congress. Mexico City: WPC, 1967: 339-352.
    [12] Gomez R E, Martín J D, Koehn D F, et al. Stylolites and stylolite networks as primary controls on the geometry and distribution of carbonate diagenetic alterations[J]. Marine and Petroleum Geology, 2022, 136: 168-193.
    [13] Aharonov E, Katsman R. Interaction between pressure solution and clays in stylolite development: Insights from modeling[J]. American Journal of Science, 2009, 309(7): 607-632
    [14] Toussaint R, Aharonov E, Koehn D, et al. Stylolites: A review[J]. Journal of Structural Geology, 2018, 114: 163-195.
    [15] 谭钦银,王瑞华,牟传龙,等. 缝合线成因新认识[J]. 地学前缘,2011,18(3):241-249.

    Tan Qinyin, Wang Ruihua, Mu Chuanlong, et al. New consideration on the genesis of suture[J]. Earth Science Frontiers, 2011, 18(3): 241-249.
    [16] 赵伦,李长海,李建新,等. 北特鲁瓦油田缝合线分布特征及主控因素分析[J]. 地质论评,2019,65(增刊1):265-266.

    Zhao Lun, Li Changhai, Li Jianxin, et al. Distribution characteristics and control factors of stylolites in North Truva oilfield[J]. Geological Review, 2019, 65(Suppl.1): 265-266.
    [17] 鲁建涛,徐涛, Baud P,等. 缝合线分形特征及其对石灰岩强度的影响[J]. 工程科学学报,2017,39(12):1802-1808.

    Lu Jiantao, Xu Tao, Baud P, et al. Stylolite fractal characteristics and the influence of stylolite on strength of limestone[J]. Chinese Journal of Engineering, 2017, 39(12): 1802-1808.
    [18] Gordon C H. On the nature and origin of the stylolitic structure in Tennessee marble[J]. The Journal of Geology, 1918, 26(6): 561-568.
    [19] Andrade Ramos J R. Stylolites: Measurement of rock loss[J]. Edições anteriores, 2000, 30(3): 432-435.
    [20] Scholle P A, Halley R B. Burial diagenesis: Out of sight, out of mind![M]//Scholle P A, James N P, Read J F. Carbonate sedimentology and petrology. Washington: American Geophysical Union, 1989: 135-160.
    [21] Sassen R, Moore C H. Framework of hydrocarbon generation and destruction in eastern Smackover trend[J]. AAPG Bulletin, 1988, 72(6): 649-663.
    [22] Sassen R, Chinn E W. Effects of elemental sulfur during programmed pyrolysis of kerogen[J]. Organic Geochemistry, 1989, 14(4): 475-477.
    [23] 高岗. 缝合线对碳酸盐岩油气生排运聚的作用[J]. 西安石油学院学报(自然科学版),2000,15(4):32-34.

    Gao Gang. Effects of stylolites on the generation, discharge, migration and accumulation of hydrocarbon in carbonate rock[J]. Journal of Xi'an Petroleum Institute (Natural Science Edition), 2000, 15(4): 32-34.
    [24] 高岗. 碳酸盐岩缝合线研究及油气地质意义[J]. 天然气地球科学,2013,24(2):218-226.

    Gao Gang. Research status and oil & gas geology significance of carbonate rock stylolite[J]. Natural Gas Geoscience, 2013, 24(2): 218-226.
    [25] 高岗,王轩,张维维,等. 缝合线有机质富集及流体运移意义:以鄂尔多斯盆地奥陶系碳酸盐岩为例[J]. 石油科学通报,2017,2(1):1-11.

    Gao Gang, Wang Xuan, Zhang Weiwei, et al. Significance of stylolite on organic matter enrichment and fluid mi-gration: A case study on stylolite in the Ordovician carbonate rocks of Ordos Basin[J]. Petroleum Science Bulletin, 2017, 2(1): 1-11.
    [26] Heap Michael, Reuschlé Thierry, Baud Patrick, et al. The permeability of stylolite-bearing limestone[J]. Journal of Structural Geology, 2018, 116.
    [27] Ramsden R M. Stylolites and oil migration1: Geological notes[J]. AAPG Bulletin, 1952, 36(11): 2185-2186.
    [28] 周大志,李国蓉,罗鹏,等. 川东南志留系石牛栏组成岩作用研究[J]. 天然气技术,2009,3(6):7-11,77.

    Zhou Dazhi, Li Guorong, Luo Peng, et al. Study on diageneis of Silurian Shiniulan Formation, southeastern Sichuan Basin[J]. Natural Gas Technology, 2009, 3(6): 7-11, 77.
    [29] Heap M J, Baud P, Reuschlé T, et al. Stylolites in limestones: Barriers to fluid flow?[J]. Geology, 2014, 42(1): 51-54.
    [30] Lind I, Nykjaer O, Priisholm S, et al. Permeability of stylolite-bearing chalk[J]. Journal of Petroleum Technology, 1994, 46(11): 986-993.
    [31] Rustichelli A, Tondi E, Korneva I, et al. Bedding-parallel stylolites in shallow-water limestone successions of the Apulian carbonate platform (central-southern Italy)[J]. Italian Journal of Geosciences, 2015, 134(3): 513-534.
    [32] Heap M, Reuschlé T, Baud P, et al. The permeability of stylolite-bearing limestone[J]. Journal of Structural Geology, 2018, 116: 81-93.
    [33] 王轩,高岗,李佳烨,等. 碳酸盐岩缝合线与基质的排烃效应:以川东地区石炭系和奥陶系碳酸盐岩为例[J]. 石油与天然气地质,2017,38(3):534-542.

    Wang Xuan, Gao Gang, Li Jiaye, et al. Hydrocarbon expulsion of stylolite and matrix in carbonate rocks: A case study from the Ordovician and Carboniferous carbonate rocks in eastern Sichuan Basin[J]. Oil & Gas Geology, 2017, 38(3): 534-542.
    [34] Liu S J, Gao G, Gang W Z, et al. Implications of organic matter source and fluid migration from geochemical characteristics of stylolites and matrix in carbonate rocks: A case study from the Carboniferous and the Ordovician in the Sichuan Basin, SW China[J]. Journal of Petroleum Science and Engineering, 2020, 186: 106606.
    [35] 何登发,李德生,张国伟,等. 四川多旋回叠合盆地的形成与演化[J]. 地质科学,2011,46(3):589-606.

    He Dengfa, Li Desheng, Zhang Guowei, et al. Formation and evolution of multi-cycle superposed Sichuan Basin, China[J]. Chinese Journal of Geology, 2011, 46(3): 589-606.
    [36] 邓康龄. 四川盆地形成演化与油气勘探领域[J]. 天然气工业,1992,12(5):7-12,6.

    Deng Kangling. Formation and evolution of Sichuan Basin and domains for oil and gas exploration[J]. Naural Gas Industry, 1992, 12(5): 7-12, 6.
    [37] 李皎,何登发. 四川盆地及邻区寒武纪古地理与构造—沉积环境演化[J]. 古地理学报,2014,16(4):441-460.

    Li Jiao, He Dengfa. Palaeogeography and tectonic-depositional environment evolution of the Cambrian in Sichuan Basin and adjacent areas[J]. Journal of Palaeogeography, 2014, 16(4): 441-460.
    [38] Frimmel H E. An evaporitic facies in Neoproterozoic post-glacial carbonates: The Gifberg Group, South Africa[J]. Gondwana Research, 2008, 13(4): 453-468.
    [39] Yang C Y, Ni Z Y, Li M J, et al. Pyrobitumen in South China: Organic petrology, chemical composition and geological significance[J]. International Journal of Coal Geology, 2018, 188: 51-63.
    [40] Peters K E, Peters K E, Walters C C, et al. The biomarker guide: Volume 1: Biomarkers and isotopes in the environment and human history[M]. 2nd ed. Cambridge: Cambridge University Press, 2005: 1-18.
    [41] 张振苓,邬立言,舒念祖. 烃源岩热解分析参数Tmax异常的原因[J]. 石油勘探与开发,2006,33(1):72-75.

    Zhang Zhenling, Wu Liyan, Shu Nianzu. Cause analysis of abnormal Tmax values on rock-eval pyrolysis[J]. Petroleum Exploration and Development, 2006, 33(1): 72-75.
    [42] 张博全,关振良,潘琳. 鄂尔多斯盆地碳酸盐岩的压实作用[J]. 地球科学,1995,20(3):299-305.

    Zhang Boquan, Guan Zhenliang, Pan Lin. Compaction of carbonate rocks in Ordos Basin[J]. Earth Science, 1995, 20(3): 299-305.
    [43] 刘和甫. 缝合线的形成及其在石油地质上的意义[J]. 地质论评,1959,19(8):367-370.

    Liu Hefu. On the formation of stylolitic structure and its significance on petroleum geology[J]. Geological Review, 1959, 19(8): 367-370.
    [44] Keith M L, Weber J N. Carbon and oxygen isotopic composition of selected limestones and fossils[J]. Geochimica et Cosmochimica Acta, 1964, 28(10/11): 1787-1816.
    [45] Brand U, Veizer J. Chemical diagenesis of a multicomponent carbonate system-2: Stable isotopes[J]. Journal of Sedimentary Research, 1981, 51(3): 987-997.
    [46] Veizer J, Ala D, Azmy K, et al. 87Sr/86Sr, δ13C and δ18O evolution of Phanerozoic seawater[J] Chemical Geology, 1999, 161(1/2/3): 59-88.
    [47] Burdett J W, Grotzinger J P, Arthur M A. Did major changes in the stable-isotope composition of Proterozoic seawater occur[J]. Geology, 1990, 18(3): 227-230.
    [48] Kaufman A J, Hayes J M, Knoll A H, et al. Isotopic compositions of carbonates and organic carbon from Upper Proterozoic successions in Namibia: Stratigraphic variation and the effects of diagenesis and metamorphism[J]. Precambrian Research, 1991, 49(3/4): 301-327.
    [49] Kumar B, Sharma S D, Sreenivas B, et al. Carbon, oxygen and strontium isotope geochemistry of Proterozoic carbonate rocks of the Vindhyan Basin, central India[J]. Precambrian Research, 2002, 113(1/2): 43-63.
    [50] Rostek F, Ruhlandt G, Bassinot F C, et al. Reconstructing sea surface temperature and salinity using δ18O and alkenone records[J]. Nature, 1993, 364(6435): 319-321.
    [51] 刘传联,赵泉鸿,汪品先. 湖相碳酸盐氧碳同位素的相关性与生油古湖泊类型[J]. 地球化学,2001,30(4):363-367.

    Liu Chuanlian, Zhao Quanhong, Wang Pinxian. Correlation between carbon and oxygen isotopic ratios of lacustrine carbonates and types of oil-producing paleolakes[J]. Geochimica, 2001, 30(4): 363-367.
    [52] 蔡杰兴. 缝合线特征及成因机理[J]. 岩石学报,1990(2):51-61.

    Cai Jiexing. Characteristics of sutures and their forming mechanism[J]. Acta Petrologica Sinica, 1990(2): 51-61.
  • [1] 李森, 朱如凯, 崔景伟, 罗忠, 焦航, 柳涵.  鄂尔多斯盆地长7段细粒沉积岩特征与古环境——以铜川地区瑶页1井为例 . 沉积学报, 2020, 38(3): 554-570. doi: 10.14027/j.issn.1000-0550.2019.062
    [2] 刘喜停, 李安春, 马志鑫, 董江, 张凯棣, 徐方建, 王厚杰.  沉积过程对自生黄铁矿硫同位素的约束 . 沉积学报, 2020, 38(1): 124-137. doi: 10.14027/j.issn.1000-0550.2019.073
    [3] 孙东, 潘建国, 胡再元, 杨丽莎, 周俊峰, 韩杰, 李闯, 房启飞.  塔里木盆地塔中Ⅲ区奥陶系碳酸盐岩油气成藏主控因素及有利区带 . 沉积学报, 2019, 37(4): 868-877. doi: 10.14027/j.issn.1000-0550.2018.176
    [4] 马福军, 吴媛欣, 刘松, 孙柏年, 闫德飞, 张凤太, 王秋军.  广西宁明组植物化石中黄铁矿及其沉积意义 . 沉积学报, 2018, 36(1): 33-41. doi: 10.3969/j.issn.1000-0550.2018.006
    [5] 潘文, 禚喜准, 陈骁帅, 杨胜堂, 赵爽.  黔东北黑色泥岩盆地含锰岩系的铁锰地球化学特征 . 沉积学报, 2016, 34(5): 868-880. doi: 10.14027/j.cnki.cjxb.2016.05.006
    [6] 刘鹏, 王晓锋, 房嬛, 郑建京, 李孝甫, 孟强.  碳酸盐岩有机质丰度测试新方法 . 沉积学报, 2016, 34(1): 200-206. doi: 10.14027/j.cnki.cjxb.2016.01.019
    [7] 薛海涛.  碳酸盐岩油源岩有机质丰度分级评价标准 . 沉积学报, 2007, 25(5): 782-786.
    [8] 王兆云, 程克明.  碳酸盐岩中不同赋存状态有机质地球化学特征对比及对成烃的贡献 . 沉积学报, 2000, 18(4): 600-605.
    [9] 夏新宇, 洪峰, 赵林, 张文正.  鄂尔多斯盆地下奥陶统碳酸盐岩有机相类型及生烃潜力 . 沉积学报, 1999, 17(4): 638-643.
    [10] 苗建宇, 祝总祺, 刘文荣, 卢焕勇.  泥质岩有机质的赋存状态及其对泥质岩封盖能力的影响 . 沉积学报, 1999, 17(3): 478-481.
    [11] 刘文均, 郑荣才, 李元林, 高玲.  花垣铅锌矿床中沥青的初步研究——MVT铅锌矿床有机地化研究(Ⅰ) . 沉积学报, 1999, 17(1): 19-23.
    [12] 柳广弟, 高岗, 王晖.  碳酸盐烃源岩有机质分布与排烃特征 . 沉积学报, 1999, 17(3): 482-485.
    [13] 刘文均, 伊海生, 温春齐.  城步铺头黄铁矿床再研究 . 沉积学报, 1998, 16(2): 61-67.
    [14] 周士涛, 万光权, 刘永康.  碳酸盐岩有机质成熟度离子探针的判别 . 沉积学报, 1997, 15(2): 31-34.
    [15] 谢泰俊.  海相生烃碎屑岩的沉积环境及有机质的分布 . 沉积学报, 1997, 15(2): 14-18.
    [16] 马永生, 李启明, 关德师.  鄂尔多斯盆地中部气田奥陶系马五1-4碳酸盐岩微相特征与储层不均质性研究 . 沉积学报, 1996, 14(1): 22-32.
    [17] 张水昌, 童箴言.  海相碳酸盐岩中矿物结合有机质的组成及成烃演化 . 沉积学报, 1992, 10(1): 76-82.
    [18] 施继锡.  有机包裹体作为碳酸盐岩区油气远景评价标志的初步研究 . 沉积学报, 1991, 9(S1): 163-170.
    [19] 肖贤明, 刘德汉, 傅家谟.  沥青反射率作为烃源岩成熟度指标的意义 . 沉积学报, 1991, 9(S1): 138-146.
    [20] 周中毅, 范善发, 谢觉新.  晶包有机质——认识碳酸盐岩生油机制的另一侧面 . 沉积学报, 1991, 9(S1): 112-119.
  • 加载中
图(13) / 表 (4)
计量
  • 文章访问数:  384
  • HTML全文浏览量:  121
  • PDF下载量:  77
  • 被引次数: 0
出版历程
  • 收稿日期:  2022-04-02
  • 修回日期:  2022-06-27
  • 录用日期:  2022-08-11
  • 网络出版日期:  2022-08-11
  • 刊出日期:  2024-02-04

目录

    缝合线中有机质来源、流体运移以及地质意义

    doi: 10.14027/j.issn.1000-0550.2022.075
      基金项目:

      国家自然科学基金项目 411372142

      作者简介:

      朱康乐,男,1995年出生,硕士研究生,油气成藏与分布规律,E-mail: zhukangleyx@163.com

      通讯作者: 高岗,男,教授,油气地球化学、油气成藏与分布规律,E-mail: gaogang2819@sina.com
    • 中图分类号: P618.13

    摘要: 目的 缝合线作为碳酸盐岩的典型结构,其形成对于碳酸盐岩本身有机质的富集和流体运移具有重要的意义。然而,缝合线中有机质的来源和流体运移的机理目前尚未深入研究。 方法 以四川盆地东部大池干构造带含缝合线的碳酸盐岩岩心样品为研究对象,分别对岩心中缝合线和基质进行了有机碳、热解(Rock-Eval)、岩石薄片、荧光薄片、全岩X射线衍射、碳氧同位素以及扫描电镜等分析测试。 结果与结论 缝合线中的有机质主要以可溶有机质、焦沥青和沥青的形式赋存,表明缝合线中的有机质主要为运移而来的次生有机质。且缝合线中的次生白云石和黄铁矿发育,且保留了矿物的晶间孔隙和裂缝,为油气的聚集和运移提供了良好的条件。此外,沿缝合线方向存在明显的油气分馏效应,且在缝合线较薄的区域分馏效应越明显。综合分析认为,缝合线与基质接触界面上的强烈胶结作用及其附近次生矿物的形成是造成烃类流体从基质向缝合线运移时分馏效应的原因。当缝合线发育时,缝合线中的有机质会在高演化阶段裂解形成天然气,与其他成因的天然气混合时会影响天然气来源判别;缝合线作为原油的运移通道时,对原油造成的分馏效应也会对原油来源的判别造成一定困扰,因此应该选择合适的生物标志化合物对比参数来分析油源关系,同时原油性质的空间变化规律也应该被考虑。

    English Abstract

    朱康乐, 高岗, 刘诗局, 王成云, 程光瑾, 胡丹丹. 缝合线中有机质来源、流体运移以及地质意义[J]. 沉积学报, 2024, 42(2): 661-674. doi: 10.14027/j.issn.1000-0550.2022.075
    引用本文: 朱康乐, 高岗, 刘诗局, 王成云, 程光瑾, 胡丹丹. 缝合线中有机质来源、流体运移以及地质意义[J]. 沉积学报, 2024, 42(2): 661-674. doi: 10.14027/j.issn.1000-0550.2022.075
    ZHU KangLe, GAO Gang, LIU ShiJu, WANG ChengYun, CHENG GuangJin, HU DanDan. Origin of Organic Matter, Fluid Transport and Geological Significance in Stylolites[J]. Acta Sedimentologica Sinica, 2024, 42(2): 661-674. doi: 10.14027/j.issn.1000-0550.2022.075
    Citation: ZHU KangLe, GAO Gang, LIU ShiJu, WANG ChengYun, CHENG GuangJin, HU DanDan. Origin of Organic Matter, Fluid Transport and Geological Significance in Stylolites[J]. Acta Sedimentologica Sinica, 2024, 42(2): 661-674. doi: 10.14027/j.issn.1000-0550.2022.075
      • 碳酸盐岩作为主要的烃源岩和储集层,目前已被许多学者认可[16]。与碎屑岩相比,碳酸盐岩的有机质丰度低,非均质性强[79],而且作为储层,它们通常十分致密。因此,碳酸盐岩的生排烃机理和烃类在其中的运移一直存在很大争议[1013]。缝合线是碳酸盐岩的典型结构[14],近两个世纪以来,学者们对碳酸盐岩缝合线进行了多方面的研究。

        在缝合线成因方面,学者们提出了有机学说、结晶学说、沥青学说、压力学说、气体学说、剥蚀学说和溶解学说、压力—溶解学说、水下溶解学说等多种学说[1419],其中谭钦银等[15]通过缝合线的完整性、亲烃性、排孔性及胀裂—汇聚性表明,缝合线是岩石在负重或构造应力作用下烃类(或泥质)使岩石发生胀裂形成的一种锯齿状裂缝,是烃类(或泥质)开辟的排烃通道,其主要形成于中深层环境下的烃类成熟期。压力—溶解理论主要是指缝合线是岩石在负载或构造应力作用下压溶形成的,是化学压实作用的产物。压溶过程中可溶物质被流体带走,不溶物质沥青等残存于缝合线中[1517]。目前该理论已经被大多数学者所接受[1819]

        有关缝合线的发育特征,一些学者探讨了缝合线形成过程中不同矿物以及有机质的富集规律,表明缝合线多发育于灰—深灰色泥晶灰岩、泥质灰岩或泥灰岩等颜色深、有机质含量高的致密碳酸盐岩[2025]。其外形呈锯齿状,锯齿两侧不同物质呈紧密镶嵌接触且有缺失现象[15]

        碳酸盐岩缝合线的生排烃特征一直是国内外学者关注的热点问题。许多学者研究发现,碳酸盐岩中的缝合线比裂缝更发育,且在缝合线中多富集石油和沥青等有机质,表明碳酸盐岩中的缝合线在油气运移中发挥了重要作用[2628]。通过显微CT观测发现,碳酸盐岩中的缝合线平面中广泛发育孔隙,因此推测其并不是渗流屏障,而是流体有利的运移通道[2933]。此外有学者对比了有机流体从基质向缝合线运移和沿着缝合线运移的差异,发现在两种运移过程中,流体都会发生运移分馏效应,且沿着缝合线运移的分馏效应更明显[34]

        综上所述,缝合线是有利于有机质富集和油气运移的,但是对于缝合线中有机质来源和其运移机理目前尚未进行深入的研究。因此,选择四川盆地石炭系和奥陶系的海相碳酸盐岩中缝合线和基质样品,通过有机碳、热解、全岩X射线衍射、无机碳氧同位素、岩石薄片、荧光薄片以及扫描电镜等分析测试,对缝合线中有机质的富集规律和运移机理进行初步探讨,以期对缝合线中有机质的运移模式有一定的启示。

      • 四川盆地是中国西部的一个大型克拉通盆地,位于扬子地台西北部,是一个呈菱形样式的构造盆地。盆地被周围的断裂带所围绕,西北部为龙门山冲断带,与松潘—甘孜印支造山带相接;东北部为大巴山弧形冲断带,与南秦岭印支造山带为邻;东部为齐岳山断裂与江南造山带分界;西南边界为峨眉山—瓦山断裂,向南与峨眉山、凉山断块带相接,总体面积约26×104 km2[3537]图1a)。四川盆地构造上属于扬子地台西北部的一级构造单元,是在上扬子克拉通基础上发育起来的多期构造叠合盆地,从基底形成到晚期造山成盆,其总共经历了扬子旋回、加里东旋回、海西旋回、印支旋回、燕山旋回及喜马拉雅旋回共六大沉积构造旋回。三叠纪之前属于海相克拉通盆地和克拉通边缘盆地,晚印支运动之后,在早侏罗世—早白垩世,属于前陆盆地,晚白垩世以来,上扬子地区持续隆升,盆地逐渐萎缩[3637]

        图  1  四川盆地石炭系和奥陶系碳酸盐岩取样位置(a)及地层剖面图(b)

        Figure 1.  Sampling location of the Carboniferous and Ordovician carbonate rocks in the Sichuan Basin (a) and its stratigraphic profile (b)

        四川盆地地层主要由震旦纪—中三叠世沉积的海相碳酸盐岩构成,地层总厚度达数千米(图1b)。盆地主要发育开阔台地相、局限台地相、台内滩相等碳酸盐岩沉积相带,且存在局部高能滩相发育区[37]。研究区位于盆地东部地区大池干构造带,该区地层中碳酸盐岩富含缝合线,并且缝合线发育较粗,符合研究的需要。

      • 本次研究的7个样品采自研究区3口钻井(Z3、Ch53和Wk1井)的石炭系和奥陶系(表1)。由于要将缝合线和基质进行对比研究,因此将样品中的缝合线与基质进行分离。首先用锉刀去除缝合线周围的基质,再用研钵将缝合线充填物磨碎,便可得到缝合线样品。然后将缝合线附近的基质破碎,进行研磨便可得到基质样品。最后将缝合线和基质粉末进行称重并过100目筛,将缝合线样品编号为-Ssr,基质样品编号为-Msr,分别放入样品袋(表1),以备下步实验分析使用。

        表 1  样品基本信息表

        Table 1.  Basic sample information

        井号层位深度/m编号
        Z3O224 316.301-Ssr
        1-Msr
        4 318.842-Ssr
        2-Msr
        4 317.603-Ssr
        3-Msr
        Ch53C23 030.134-Ssr
        4-Msr
        3 053.885-Ssr
        5-Msr
        Wk1C24 254.286-Ssr
        6-Msr
        4 251.677-Ssr
        7-Msr
      • 实验在中国石油大学(北京)国家重点实验室进行。岩石样品的TOC在LecoCS-230碳分析仪上进行。岩石热解分析在OGE-Ⅱ岩石热解仪上进行,主要得到S1(mgHC/gRock)、S2(mgHC/gRock)和Tmax(℃)等热解参数。

      • 实验在中国石油大学(北京)国家重点实验室进行。首先将7个含缝合线的碳酸盐岩样品制成薄片,再用莱卡显微镜的透射光、反射光和荧光对样品进行观察。基于薄片的观察,分别挑选3个样品的新鲜面和氩离子抛光在扫描电镜下观察,扫描电镜型号为Hitachi SU8010 field emission SEM-EDS。

      • 实验在中国石油大学(北京)国家重点实验室进行。X射线衍射(XRD)通过Bruker D2 PHASER衍射仪系统进行分析,操作条件为30 kV,10 mA,扫描速率2°/min,采样间隔0.01°。

      • 碳、氧同位素分析在中国石油大学(北京)国家重点实验室进行,使用配备基尔IV碳酸盐装置的MAT 253气体质谱仪进行。基于对GBW 04405的重复分析,使用相对于Vienna Pee Dee Belemnite(VPDB)标准的常规δ13C和δ18O表示法给出,其精度和重现性分别优于±0.030‰和±0.080‰。

      • 碳酸盐岩样品的缝合线和基质的TOC含量和热解参数数据见表2。缝合线的TOC值介于0.63%~0.88%,平均值为0.77%;基质的TOC值介于0.03%~0.24%,平均值为0.12%。缝合线的S1S2S1+S2值的范围分别为0.09~1.05 mg/g、1.92~6.50 mg/g、2.29~6.64 mg/g,平均值分别为0.39 mg/g、4.27 mg/g和4.66 mg/g。基质的S1S2S1+S2值的范围分别为0.05~0.53 mg/g、0.16~0.82 mg/g和0.21~1.17mg/g,平均值分别为0.23 mg/g、0.35 mg/g和0.57 mg/g。缝合线的HCI(S1/TOC)值介于10.2~148.5 mg/g,平均值为51.2 mg/g。基质的HCL值介于120.5~307.2 mg/g,平均值为185 mg/g。缝合线的PI(S1/(S1+S2))值介于0.02~0.35,平均值为0.1,基质的PI值介于0.21~0.75,平均值为0.39。缝合线的Tmax值介于373 ℃~500 ℃,平均值为420 ℃,基质的Tmax值介于420 ℃~600 ℃,平均值为481 ℃。

        表 2  碳酸盐岩样品中缝合线和基质的TOC和岩石热解数据统计表

        Table 2.  Statistical data of total organic carbon (TOC) and Rock⁃Eval parameters for the stylolites and matrix in carbonate rock samples

        参数缝合线基质
        最小值最大值平均值样品数最小值最大值平均值样品数
        TOC/%0.630.880.7770.030.240.127
        S1(mg/g)0.091.050.3970.050.530.237
        S2(mg/g)1.926.504.2770.160.820.357
        S1S2(mg/g)2.296.644.6670.211.170.577
        PI0.020.350.1070.210.750.397
        HI(mg/g)27289456771044623257
        HCI(mg/g)101495171203071857
        Tmax/℃37350042074206004817
      • 岩石学特征记录了沉积物形成和成岩过程中的非均质性,可以用来粗略评估原始沉积环境[38]。从岩心手标本来看,研究区碳酸盐岩缝合线的厚度不均,呈串珠状分布(图2b);沿缝合线将岩心剥离,可以观察到缝合线表面呈凹凸不平状分布(图2a);通过显微镜观察,缝合线的颜色呈黑色,且呈串珠状分布,基质中矿物颗粒之间胶结致密(图2c),表明研究区缝合线是通过差异性压溶作用形成。在反射光下可以观察到缝合线中次生黄铁矿的分布(图2d,e)。在蓝色荧光激发条件下,缝合线的荧光呈现明亮的黄绿色,表明缝合线中富含轻质油(图2f,g)。通过扫描电镜在缝合线中观察到了大量的次生有机质,却未观察到原生有机质(图3),与薄片观察的现象相一致。此外,在扫描电镜中还可以观察到大量的矿物晶间孔隙和裂缝(图4)。

        图  2  样品中缝合线宏观及微观特征

        Figure 2.  Macro and micro characterization of stylolites in samples

        图  3  扫描电镜下缝合线中有机质赋存形式

        Figure 3.  Microphotographs showing the occurrence of organic matter in stylolites

        图  4  样品的扫描电子显微镜(SEM)图像,显示了缝合线中的孔隙和裂缝

        Figure 4.  Scanning electron microscopy (SEM) images of studied samples, showing the pores and cracks in stylolites

      • 碳酸盐岩中的缝合线与基质的X射线衍射数据表显示(表3),缝合线和基质的主要矿物为方解石和白云石。对于同一碳酸盐岩样品,基质的方解石含量明显高于缝合线,而缝合线中白云石、石英、黄铁矿和黏土矿物含量又明显高于基质。碳酸盐岩中缝合线和基质的碳、氧同位素组成见表4。缝合线与基质的δ13C值分别为-4‰~3‰,-2.7‰~3.2‰,δ18O值分别为-12.6‰~-1.3‰和-13.2‰~-2‰(表4),可以看到,在不同碳酸盐岩样品中,缝合线的碳同位素要明显低于基质。

        表 3  碳酸盐岩样品中缝合线和基质的X射线衍射测试数据[33]

        Table 3.  X⁃ray diffraction (XRD) for the stylolites and matrix in carbonate rock samples[33]

        样品号矿物颗粒的种类和含量/%黏土矿物 /%
        石英长石方解石白云石黄铁矿硬石膏
        1-Ssr5.12.611.847.614.1017.5
        1-Msr2.42.656.127.23.405.3
        2-Ssr5.71.88.348.112.51.719.2
        2-Msr2.42.566.117.32.607.1
        3-Ssr5.32.112.445.510.6022.5
        3-Msr2.61.558.726.45.703.1
        4-Ssr6.91.911.843.411.5022.7
        4-Msr3.42.468.416.83.21.14.1
        5-Ssr6.62.711.541.39.3026.3
        5-Msr2.41.459.327.92.202.8
        6-Ssr6.22.912.248.68.71.518.5
        6-Msr1.62.166.715.21.808.2
        7-Ssr6.82.89.744.813.1018.1
        7-Msr2.22.763.418.12.706.9

        表 4  碳酸盐岩样品中缝合线和基质的δ13C和δ18O测试数据表

        Table 4.  δ13C and δ18O for the stylolites and matrix in carbonate rock samples

        样品号δ13CV-PDB/‰δ18OV-PDB/‰δ13C/‰δ18O/‰
        1-Ssr1.4-10.80.4-0.3
        1-Msr1.8-11.1
        2-Ssr1.6-10.60.6-0.4
        2-Msr2.2-11.0
        3-Ssr3.0-11.10.20.6
        3-Msr3.2-10.5
        4-Ssr1.0-12.60-0.6
        4-Msr1.0-13.2
        5-Ssr-2.3-8.1-0.4-0.4
        5-Msr-2.7-8.5
        6-Ssr0.3-1.30.3-0.7
        6-Msr0.6-2.0
        7-Ssr-4.0-6.41.72.9
        7-Msr-2.3-3.5
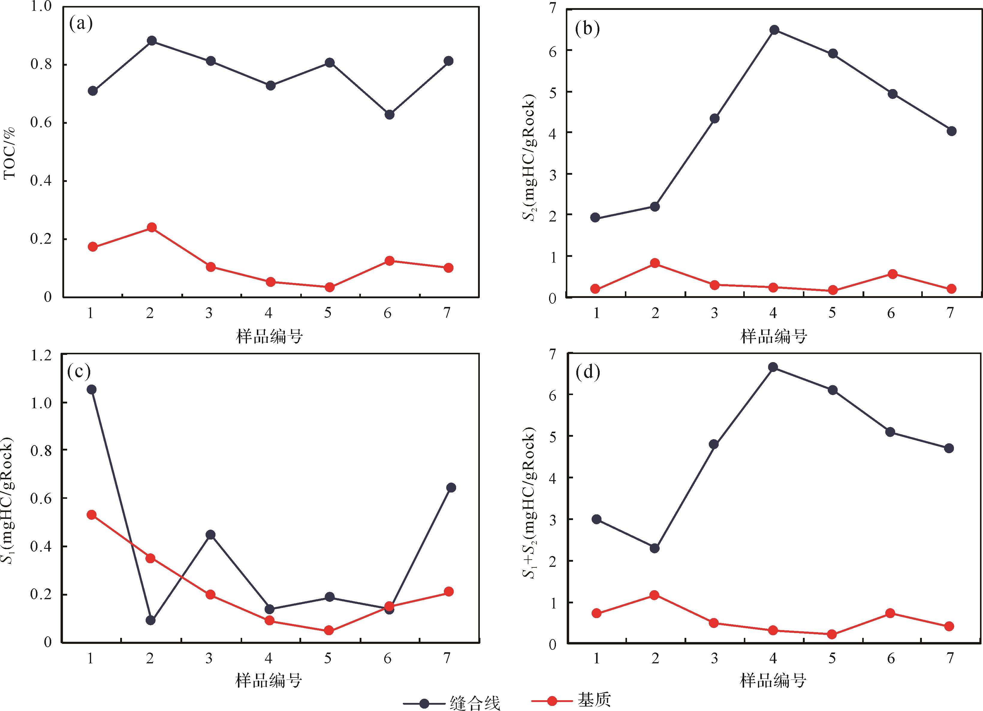
      • 有机质丰度是烃源岩生烃的基础。一般用于评价烃源岩有机质丰度的参数包括总有机碳(TOC)含量、岩石热解S1+S2、氯仿沥青“A”含量等[2]。样品的测试数据显示(表2),同一样品中缝合线的TOC、S2S1+S2值均高于基质(图5a,b,d)。

        图  5  不同样品地球化学参数对比图

        Figure 5.  Comparison of geochemical parameters between different samples

        烃源岩残余烃含量(S1)是表征其生排烃的重要参数,在不发生排烃时,它可以代表烃源岩总生烃量的相对大小,当机质类型和成熟度相近时,S1值随着TOC含量的增加而增大。烃指数HCI(S1/TOC)表示单位质量TOC对应的残余烃量,可用来表征有机质的生排烃特征。当烃源岩发生排烃时,HCI值会降低[24]。部分样品的基质TOC含量极低,但其HI(S2/TOC)和生烃潜力(S1+S2)较高(图6a,b),表明缝合线附近的基质受到远离缝合线的基质的运移烃的影响。由图6c可以看出,相同样品中,缝合线的TOC含量高于基质,但HCI指数明显低于基质,表明缝合线是最重要的排烃通道,其排烃效率要高于附近的基质。

        图  6  碳酸盐岩样品缝合线、基质TOC与热解参数交会图

        Figure 6.  Diagrams of TOC and pyrolysis parameters for stylolites and matrix of carbonate rock samples

      • 通过荧光显微镜以及扫描电镜可以直观地观察有机质,在蓝色荧光的激发状态下,不同类型有机质会呈现出不同的荧光特点,生烃母质的荧光颜色随烃源岩演化程度而发生变化,有机质演化程度从低到高,其荧光颜色从黄色—褐色—黑色变化。轻质油在蓝色荧光的激发下一般呈现绿色,重质油一般呈红褐色。缝合线的荧光呈现明亮的黄绿色(图2f,g),指示缝合线中的有机质为轻质油的富集。将相同的样品放在扫描电镜下观察,在缝合线中观察到的有机质主要是次生有机质(图3a),其均质性较强,碳元素含量高,是典型的固体沥青。还有一些有机质呈球状(图3c),与已发表文献中的焦沥青的特征(图3f)具有一致性[38];而另一些有机质呈黑色小圆点,当通过能谱激发时,圆点消失,并出现鼓包(图3d,e),是在扫描电镜下比较常见有机质赋存形式,结合荧光薄片特征,判断其最有可能是被矿物表面吸附的可溶有机质。如图7所示,学者通过缝合线和基质的生物标志物对比发现,缝合线的有机质是从基质中继承而来的,基质中有机质形成液态烃后会向缝合线运移[34]Tmax一般用作烃源岩成熟度的辅助指标[2,4041]。但当岩石样品中的可溶有机质含量高,这会导致Tmax降低[41]。如图8所示,样品中缝合线的Tmax值低于基质,且Tmax值与TOC含量呈正相关,这正好与缝合线中的有机质是基质中液态烃向缝合线中运移的结论相吻合。

        图  7  同一样品缝合线和基质的复合质谱图(m/z191,217),Z3井,4 316 m,O22[34]

        Figure 7.  Composite mass chromatograms (m/z 191, 217) of stylolites and matrix for the same carbonate rock, well Z3, 4 316 m, O22[34]

        图  8  同一样品的缝合线与基质之间的Tmax(a)、ΔTmax与ΔTOC(b)的散点图

        Figure 8.  Diagram of Tmaxbetween stylolites and matrix (a) and ∆TmaxVs.∆TOC (b) for the same carbonate rock sample

        综合以上分析,缝合线中有机质主要有三种赋存形式:固体沥青、焦沥青和可溶有机质,这些均为次生有机质,说明缝合线中有机质的成因主要为周围基质中有机质的运移聚集。

      • 前人通过对碳酸盐岩缝合线成因和特征研究,逐渐认识到缝合线的形成是碳酸盐岩不断溶解、不溶残余物逐渐富集的过程。碳酸盐岩中的缝合线大部分呈串珠状分布(图2),厚度不均[32]。在缝合线较厚的地方往往是应力释放区和矿物溶解再沉淀区;在缝合线较薄的地方往往是应力集中区,成岩作用较强[29]。缝合线中溶解沉淀区为后期次生矿物形成提供了一定的场所;在缝合线形成过程中,碳酸盐岩的不断溶解,将会导致缝合线中的盐度不断增加,这为白云石的形成奠定了基础[42]。刘和甫[43]在有关缝合线物质组成方面进行了大量研究工作,表明其主要由不溶的黏土矿物、固体有机质、沥青、自生黄铁矿、白云石等组成。在成岩过程中形成白云石首先得具有一定的可溶矿物生长空间和较高的盐度。对比同一样品中缝合线和基质的矿物组成可以发现,基质中的方解石含量较高,而缝合线中难溶的石英、黏土矿物以及次生的白云石和黄铁矿含量均比对应基质的含量高(图9)。在扫描电镜下观察到的缝合线中的白云石和黄铁矿具有较好的晶型,且晶间孔发育,表明其矿物主要为次生成因(图3)。大量次生矿物间的晶间孔为烃类聚集和运移提供有利条件。

        图  9  同一样品中的缝合线与基质之间不同矿物含量交会图

        Figure 9.  Diagrams of the content of different minerals between stylolites and matrix for the same carbonate rock sample

      • δ13C和δ18O等稳定同位素分析可用于重建白云石沉淀时的流体性质,尤其是δ13C值,其受成岩作用的影响很小[44]。在成岩蚀变过程中,海水/海洋碳酸盐和大气/埋藏水之间的氧同位素交换相对于其他稳定同位素更容易发生[4549]。因此利用δ13C和δ18O交会图可反映成岩时期的环境[50],这些学者所分析的样品都是海相的碳酸盐岩样品,但是图10所示样品的碳氧同位素特征值并没有落在相应的区域,推测受到的成岩作用导致了这种变化。对比缝合线和基质的碳同位素特征发现,缝合线的碳同位素特征比基质要轻(图11a)。推测造成这个现象的可能原因有两个,一是由于在缝合线形成过程中,基质中的碳酸盐会溶解析出较轻的δ12C导致缝合线中富集较轻的稳定碳同位素;二是由于缝合线中有机碳含量较高,进而导致缝合线中矿物的碳同位素更偏负。缝合线中次生白云石的形成指示了缝合线中流体盐度较高,而δ18O可以反映成岩流体的盐度[50]。缝合线中高含量的次生白云石,其δ18O会比基质要高,但是缝合线中的δ18O并非全部大于基质的δ18O(图11b)。这可能是受同位素演化过程影响,较轻的氧同位素更容易从基质中析出[51],导致部分基质的δ18O远大于缝合线。可以看到,缝合线和基质的∆δ13C和∆δ18O具有一定的正相关关系(图11c),进一步证明了研究样品的碳氧同位素差异特征。

        图  10  碳酸盐岩的缝合线和基质的δ13C⁃δ18O交会图[51]

        Figure 10.  Cross plot of δ13C⁃δ18O of stylolite and matrix for carbonate rock samples[51]

        图  11  碳酸盐岩样品缝合线与基质的碳氧同位素交会图

        Figure 11.  Diagrams of carbon and oxygen isotopes for the carbonate rock samples

      • 缝合线是具有三维立体结构特征的几何体,且具有一定的厚度。要说明缝合线是有机流体的富集区域和运移通道,还需对其微观的孔缝结构进行观察。扫描电镜是研究微观孔隙结构的有效手段。缝合线中发育次生白云石,晶型较好(图3a,b),保留了良好的晶间孔隙(图3)。由于白云石的脆性较好,在构造应力的作用下可以形成很多的晶间裂缝(图2g、图3b,c,f),这些次生孔隙和裂缝可以为有机流体提供储集空间和运移通道。

        学者通过研究饱和烃中如C21-/C21+、三环萜烷/五环萜烷以及(C21+C22)孕甾烷/规则甾烷等轻重比参数,发现小分子的化合物比大分子的化合物更易进入缝合线,并且当烃类沿着缝合线运移时,这种运移分异现象更为明显[6]。在缝合线形成过程中,流体会携带溶解的碳酸盐沿着缝合线运移,也可以向缝合线附近的基质运移,当条件变化时,溶解的矿物离子重新结晶而起到胶结作用,从而使缝合线周围基质孔隙度降低[52]。通过镜下薄片观察,在缝合线和基质的接触界面上可以看到致密的矿物沉淀(图12a,b),并且还可以看到次生黄铁矿(图12b)。接触界面上的强烈胶结作用及其附近次生矿物的形成,可能是烃类流体从基质向缝合线运移时分馏效应所致。沿缝合线发育方向,缝合线的厚度不是均一的。通过对缝合线的荧光观察,可以发现缝合线中较宽的地方具有较强的荧光强度,在缝合线中心地区要明显的强于缝合线和基质的接触面(图12c,d)。因此,缝合线较薄的区域,便会呈现更加明显的分馏效应(图13)。

        图  12  缝合线和基质接触界面的薄片特征

        Figure 12.  Microscopic characterization of the contact interface of stylolites and matrix

        图  13  碳酸盐岩烃源岩有机质来源与流体运移模型

        Figure 13.  Model of organic matter source and fluid migration of stylolites in carbonate source rock

      • 缝合线是碳酸盐岩的典型结构。以上研究表明,缝合线的发育有利于可溶有机质的富集和运移。在碳酸盐岩油气田中,如果缝合线大量发育,其中富集的可溶有机质通过热裂解形成的天然气量是不可忽视的,且气藏中的天然气来源会受到缝合线中有机质热裂解形成的天然气影响,可能造成气藏中的天然气更富集δ12C,将会影响天然气来源的判别。

        缝合线对于原油的运移具有很重要的作用,缝合线可以和裂缝组合在一起形成供流体运移的网络通道。原油在缝合线运移过程中会发生分馏效应,随着运移距离的增加,原油的性质和生物标志化合物发生一定的改变,轻质组分和轻分子含量变高。这对原油的来源研究造成了一定的困扰,在这种情况下,可以考虑原油性质在空间的变化规律对其来源进行综合解释。

      • (1) 总有机碳、热解和岩石学分析表明,缝合线中的有机质主要以可溶有机质、焦沥青和沥青等次生有机质的形式赋存。

        (2) 缝合线与基质的矿物组成、碳氧同位素以及微观特征表明,缝合线中的次生白云石和黄铁矿等矿物较为发育,这些矿物次生的晶间孔和晶间裂缝为油气的储存和运移提供了空间和通道。缝合线与基质的接触界面具有极强的胶结作用,阻碍了油气从基质向缝合线的运移,造成油气的运移分馏效应。

        (3) 缝合线中的有机质在高演化阶段时可裂解形成天然气,与其他成因的天然气混合时会影响气体的组分和同位素;原油在缝合线中的分馏效应也会对其来源判别造成一定的困扰,因此应选择合适的生物标志化合物参数分析油源关系,同时也应考虑原油性质在空间的变化规律。

    参考文献 (52)

    目录

      /

      返回文章
      返回