高级搜索

留言板

尊敬的读者、作者、审稿人, 关于本刊的投稿、审稿、编辑和出版的任何问题, 您可以本页添加留言。我们将尽快给您答复。谢谢您的支持!

姓名
邮箱
手机号码
标题
留言内容
验证码

乌审旗地区盐下奥陶系流体来源及其油气意义

张洁 贾连奇 范立勇 马占荣 罗晓容 秦彪 王怡帅

张洁, 贾连奇, 范立勇, 马占荣, 罗晓容, 秦彪, 王怡帅. 乌审旗地区盐下奥陶系流体来源及其油气意义[J]. 沉积学报, 2025, 43(6): 2249-2263. doi: 10.14027/j.issn.1000-0550.2023.136
引用本文: 张洁, 贾连奇, 范立勇, 马占荣, 罗晓容, 秦彪, 王怡帅. 乌审旗地区盐下奥陶系流体来源及其油气意义[J]. 沉积学报, 2025, 43(6): 2249-2263. doi: 10.14027/j.issn.1000-0550.2023.136
ZHANG Jie, JIA LianQi, FAN LiYong, MA ZhanRong, LUO XiaoRong, QIN Biao, WANG YiShuai. The Source of the pre-Salt Ordovician Fluid and Its Significance for Hydrocarbon in Wushenqi Area[J]. Acta Sedimentologica Sinica, 2025, 43(6): 2249-2263. doi: 10.14027/j.issn.1000-0550.2023.136
Citation: ZHANG Jie, JIA LianQi, FAN LiYong, MA ZhanRong, LUO XiaoRong, QIN Biao, WANG YiShuai. The Source of the pre-Salt Ordovician Fluid and Its Significance for Hydrocarbon in Wushenqi Area[J]. Acta Sedimentologica Sinica, 2025, 43(6): 2249-2263. doi: 10.14027/j.issn.1000-0550.2023.136

乌审旗地区盐下奥陶系流体来源及其油气意义

doi: 10.14027/j.issn.1000-0550.2023.136
基金项目: 

国家自然科学基金项目 2021-90-5

国家自然科学基金项目 41502148

国家自然科学基金项目 42072127

长庆油田油气重大专项子课题 技2021-90-5

详细信息
    作者简介:

    张洁,女,1998年出生,硕士研究生,地质资源与地质工程,E-mail: 1823223595@qq.com

    通讯作者:

    贾连奇,男,副教授,E-mail: jialianqi@nwu.edu.cn

The Source of the pre-Salt Ordovician Fluid and Its Significance for Hydrocarbon in Wushenqi Area

Funds: 

Changqing Oilfield Oil and Gas Major Project 2021-90-5

 41502148

 42072127

 技2021-90-5

  • 摘要: 目的 鄂尔多斯盆地盐下碳酸盐岩成藏过程存在较多争议,乌审旗地区奥陶系马家沟组盐下储层中发育多期含有烃及沥青包裹体的方解石,对流体来源和油气成藏过程具有重要指示作用。 方法 通过岩心观察、岩石薄片鉴定、阴极发光、稀土元素、C、O、Sr同位素、显微荧光及激光拉曼等实验方法,划分方解石发育期次,分析成脉流体来源,开展流体包裹体研究,揭示与烃类伴生的流体活动对油气成藏的意义。 结果 乌审旗地区碳酸盐岩储层中发育4期方解石脉(C1、C2、C3、C4),而且不同期次方解石脉特征及来源不同。C1和C4成脉流体来源于围岩溶解,其碳氧锶同位素与奥陶纪海水碳氧锶同位素一致,稀土配分模式具有海水特征。C2方解石脉具有很负的碳同位素值,较高87Sr/86Sr值和总稀土含量,Eu正异常,流体来源于外部地层。C3方解石具有较负的碳同位素值,更高的87Sr/86Sr值和总稀土含量,流体同样来源于外部地层。此外,C2和C3两期方解石脉上发育沥青包裹体,表明油气进入储层后发生裂解。 结论 研究区可能经历了两期外部地层来源的油气充注,方解石脉的研究有助于约束鄂尔多斯盆地及其他盆地的油气成藏过程。
  • 图  1  鄂尔多斯盆地构造区划图和研究区位置(据文献[30]修改)

    Figure  1.  Structural zoning map of the Ordos Basin and location of the study area (modified from reference [30])

    图  2  鄂尔多斯盆地中东部奥陶系马家沟组岩性序列(据文献[26]修改)

    Figure  2.  Lithologic sequence of the Ordovician Majiagou Formation in the middle⁃east Ordos Basin (modified from reference [26])

    图  3  乌审旗地区马家沟组盐下岩心样品照片

    Figure  3.  Photograph of the sub⁃salt core sample of the Majiagou Formation in the Wushenqi area

    图  4  鄂尔多斯盆地乌审旗地区缝洞充填矿物微观发育特征

    Figure  4.  Microscopic development characteristics of fracture⁃cavity filling minerals in the Wushenqi area, Ordos Basin

    图  5  不同期次方解石脉稳定碳氧同位素特征(部分数据来自文献[32])

    Figure  5.  Stable carbon and oxygen isotope characteristics of calcite veins at different stages (partial data from reference [32])

    图  6  不同期次方解石脉锶同位素特征(奥陶纪海水87Sr/86Sr值来自文献[3334])

    Figure  6.  Strontium isotope characteristics of calcite veins at different stages (87Sr/86Sr values of Ordovician seawater from references [33⁃34])

    图  7  不同期次方解石脉PAAS标准化稀土元素配分模式

    Figure  7.  Standardized rare earth element distribution patterns of calcite veins PAAS at different stages

    图  8  流体包裹体显微荧光及荧光光谱特征

    Figure  8.  Microfluorescence and fluorescence spectral characteristics of fluid inclusions

    图  9  烃包裹体激光拉曼特征

    Figure  9.  Laser Raman characteristics of hydrocarbon inclusions

    图  10  研究区成岩演化序列

    Figure  10.  Diagenetic evolution sequence in the study area

  • [1] 杨华,付金华,魏新善,等. 鄂尔多斯盆地奥陶系海相碳酸盐岩天然气勘探领域[J]. 石油学报,2011,32(5):733-740.

    Yang Hua, Fu Jinhua, Wei Xinshan, et al. Natural gas exploration domains in Ordovician marine carbonates, Ordos Basin[J]. Acta Petrolei Sinica, 2011, 32(5): 733-740.
    [2] 王禹诺,任军峰,杨文敬,等. 鄂尔多斯盆地中东部奥陶系马家沟组天然气成藏特征及勘探潜力[J]. 海相油气地质,2015,20(4):29-37.

    Wang Yunuo, Ren Junfeng, Yang Wenjing, et al. Gas accumulation characteristics and potential of Ordovician Majiagou reservoirs in the center-east of Ordos Basin[J]. Marine Origin Petroleum Geology, 2015, 20(4): 29-37.
    [3] 何海清,郭绪杰,赵振宇,等. 鄂尔多斯盆地奥陶系盐下马四段天然气成藏新认识及勘探重大突破[J]. 石油勘探与开发,2022,49(3):429-439.

    He Haiqing, Guo Xujie, Zhao Zhenyu, et al. New understandings on gas accumulation and major exploration breakthroughs in subsalt Ma 4 member of Ordovician Majiagou Formation, Ordos Basin, NW China[J]. Petroleum Exploration and Development, 2022, 49(3): 429-439.
    [4] 彭纪超,张渝,张学庆,等. 世界含盐盆地盐下油气勘探历史与展望[J]. 中国矿业,2014,23(增刊2):114-117.

    Peng Jichao, Zhang Yu, Zhang Xueqing, et al. History and prospect of presalt oil - gas exploration in the salt basin of the world[J]. China Mining Magazine, 2014, 23(Suppl.2): 114-117.
    [5] 唐红君,黄金亮,潘松圻,等. 我国天然气探明未开发储量评价及发展对策建议[J]. 石油科技论坛,2020,39(6):37-44.

    Tang Hongjun, Huang Jinliang, Pan Songqi, et al. Suggestions on assessment and development of China’s proven but undeveloped natural gas reserves[J]. Petroleum Science and Technology Forum, 2020, 39(6): 37-44.
    [6] 杨华,包洪平. 鄂尔多斯盆地奥陶系中组合成藏特征及勘探启示[J]. 天然气工业,2011,31(12):11-20.

    Yang Hua, Bao Hongping. Characteristics of hydrocarbon accumulation in the Middle Ordovician assemblages and their significance for gas exploration in the Ordos Basin[J]. Natural Gas Industry, 2011, 31(12): 11-20.
    [7] 姚泾利,包洪平,任军峰,等. 鄂尔多斯盆地奥陶系盐下天然气勘探[J]. 中国石油勘探,2015,20(3):1-12.

    Yao Jingli, Bao Hongping, Ren Junfeng, et al. Exploration of Ordovician subsalt natural gas reservoirs in Ordos Basin[J]. China Petroleum Exploration, 2015, 20(3): 1-12.
    [8] 孟强,史江龙,赵恒,等. 鄂尔多斯盆地中东部奥陶系马家沟组米探1井天然气成因与来源[J]. 天然气地球科学,2023,34(10):1696-1709.

    Meng Qiang, Shi Jianglong, Zhao Heng, et al. Genesis and source of natural gas in well Mitan-1 of Ordovician Majiagou Formation, middle-eastern Ordos Basin, China[J]. Natural Gas Geoscience, 2023, 34(10): 1696-1709.
    [9] 周进高,尹陈,曾联波,等. 鄂尔多斯盆地奥陶系马家沟组四段颗粒滩发育特征及天然气勘探有利区[J]. 天然气工业,2022,42(7):17-30.

    Zhou Jingao, Yin Chen, Zeng Lianbo, et al. Development characteristics of grain shoals and favorable gas exploration areas in the 4th member of Ordovician Majiagou Formation in the Ordos Basin[J]. Natural Gas Industry, 2022, 42(7): 17-30.
    [10] 周进高,付金华,于洲,等. 鄂尔多斯盆地海相碳酸盐岩主要储层类型及其形成机制[J]. 天然气工业,2020,40(11):20-30.

    Zhou Jingao, Fu Jinhua, Yu Zhou, et al. Main types and formation mechanisms of marine carbonate reservoirs in the Ordos Basin[J]. Natural Gas Industry, 2020, 40(11): 20-30.
    [11] 孔庆芬,张文正,李剑锋,等. 鄂尔多斯盆地奥陶系盐下天然气地球化学特征及成因[J]. 天然气地球科学,2019,30(3):423-432.

    Kong Qingfen, Zhang Wenzheng, Li Jianfeng, et al. Geochemical characteristics and genesis of Ordovician natural gas under gypsolyte in Ordos Basin[J]. Natural Gas Geoscience, 2019, 30(3): 423-432.
    [12] 孙石明. 鄂尔多斯盆地东部上古生界裂缝发育特征及构造应力场分析[D]. 西安: 长安大学,2018.

    Sun Shiming. Characteristics of fracture development and analysis of tectonic stress field of Upper Palaeozoic in the eastern of Ordos Basin[D]. Xi’an: Chang'an University, 2018.
    [13] Cai C F, Amrani A, Worden R H, et al. Sulfur isotopic compositions of individual organosulfur compounds and their genetic links in the Lower Paleozoic petroleum pools of the Tarim Basin, NW China[J]. Geochimica et Cosmochimica Acta, 2016, 182: 88-108.
    [14] Jia L Q, Cai C F, Wang Z L, et al. Calcite vein system and its importance in tracing paleowater flow and hydrocarbon migration in the Ordovician carbonates of the Tazhong area, Tarim Basin, China[J]. AAPG Bulletin, 2020, 104(11): 2401-2428.
    [15] 李飞,曾溅辉,金凤鸣,等. 华北牛驼镇凸起潜山方解石脉体特征及流体响应[J]. 东北石油大学学报,2016,40(6):44-52.

    Li Fei, Zeng Jianhui, Jin Fengming, et al. Features of calcite vein in buried hill and its fluid response of Niutuozhen uplift in North China[J]. Journal of Northeast Petroleum University, 2016, 40(6): 44-52.
    [16] 王斌. 顺托果勒低隆起北部走滑断裂带成岩流体演化与动态成藏过程[D]. 武汉: 中国地质大学,2022.

    Wang Bin. Diagenetic fluid evolution and dynamic hydrocarbon accumulation process in the strike slip fault zone of northern Shuntuoguole low uplift[D]. Wuhan: China University of Geosciences, 2022.
    [17] 李慧莉,尤东华,韩俊,等. 塔里木盆地顺南—古城地区方解石脉流体来源及其对油气成藏的启示[J]. 天然气地球科学,2020,31(8):1111-1125.

    Li Huili, You Donghua, Han Jun, et al. The fluid origin of calcite veins in Shunnan-Gucheng area of Tarim Basin and its implications for hydrocarbon accumulation[J]. Natural Gas Geoscience, 2020, 31(8): 1111-1125.
    [18] 陈俊林,黄亚浩,郭小文,等. 方解石脉体形成时间与流体来源及其地质意义:以苏北盆地黄桥地区三叠系青龙组碳酸盐岩储层为例[J]. 地质科技通报,2024,43(3):157-169.

    Chen Junlin, Huang Yahao, Guo Xiaowen, et al. Formation time and fluid source of calcite veins and geological significance: An example from the Triassic Qinglong Formation carbonate reservoirs in the Huangqiao area, Subei Basin[J]. Bulletin of Geological Science and Technology, 2024, 43(3): 157-169.
    [19] 王芙蓉,何生,杨兴业. 中扬子海相碳酸盐岩中方解石脉成岩环境研究[J]. 石油实验地质,2011,33(1):56-60,65.

    Wang Furong, He Sheng, Yang Xingye. Diagenetic environments of calcite veins hosted in marine carbonate rocks in Middle Yangtze region of South China[J]. Petroleum Geology & Experiment, 2011, 33(1): 56-60, 65.
    [20] 黄思静,卿海若,胡作维,等. 川东三叠系飞仙关组碳酸盐岩的阴极发光特征与成岩作用[J]. 地球科学:中国地质大学学报,2008,33(1):26-34.

    Huang Sijing, Hairuo Qing, Hu Zuowei, et al. Cathodoluminescence and diagenesis of the carbonate rocks in Feixianguan Formation of Triassic, eastern Sichuan Basin of China[J]. Earth Science: Journal of China University of Geosciences, 2008, 33(1): 26-34.
    [21] 李纯泉,陈红汉,刘惠民. 利用油包裹体微束荧光光谱判识油气充注期次[J]. 地球科学:中国地质大学学报,2010,35(4):657-662.

    Li Chunquan, Chen Honghan, Liu Huimin. Identification of hydrocarbon charging events by using micro-beam fluorescence spectra of petroleum inclusions[J]. Earth Science: Journal of China University of Geosciences, 2010, 35(4): 657-662.
    [22] 胡文瑄,陈琪,王小林,等. 白云岩储层形成演化过程中不同流体作用的稀土元素判别模式[J]. 石油与天然气地质,2010,31(6):810-818.

    Hu Wenxuan, Chen Qi, Wang Xiaolin, et al. REE models for the discrimination of fluids in the formation and evolution of dolomite reservoirs[J]. Oil & Gas Geology, 2010, 31(6): 810-818.
    [23] 黄思静. 上扬子地台区晚古生代海相碳酸盐岩的碳、锶同位素研究[J]. 地质学报,1997,71(1):45-53.

    Huang Sijing. A study on carbon and strontium isotopes of Late Paleozoic carbonate rocks in the Upper Yangtze Platform[J]. Acta Geologica Sinica, 1997, 71(1): 45-53.
    [24] 曹剑,胡文瑄,姚素平,等. 准噶尔盆地石炭—二叠系方解石脉的碳、氧、锶同位素组成与含油气流体运移[J]. 沉积学报,2007,25(5):722-729.

    Cao Jian, Hu Wenxuan, Yao Suping, et al. Carbon, oxygen and strontium isotope composition of calcite veins in the Carboniferous to Permian source sequences of the Junggar Basin: Implications on petroleum fluid migration[J]. Acta Sedimentologica Sinica, 2007, 25(5): 722-729.
    [25] 杨兴业,何生,何治亮,等. 京山地区方解石脉包裹体、同位素特征及古流体指示意义[J]. 中国石油大学学报(自然科学版),2013,37(1):19-26,34.

    Yang Xingye, He Sheng, He Zhiliang, et al. Characteristics and pale-fluid activity implications of fluid-inclusion and isotope of calcite veins in Jingshan area[J]. Journal of China University of Petroleum, 2013, 37(1): 19-26, 34.
    [26] 徐旺林,李建忠,刘新社,等. 鄂尔多斯盆地奥陶系下组合天然气成藏条件与勘探方向[J]. 石油勘探与开发,2021,48(3):549-561.

    Xu Wanglin, Li Jianzhong, Liu Xinshe, et al. Accumulation conditions and exploration directions of Ordovician lower assemblage natural gas, Ordos Basin, NW China[J]. Petroleum Exploration and Development, 2021, 48(3): 549-561.
    [27] 郭彦如,赵振宇,张月巧,等. 鄂尔多斯盆地海相烃源岩系发育特征与勘探新领域[J]. 石油学报,2016,37(8):939-951,1068.

    Guo Yanru, Zhao Zhenyu, Zhang Yueqiao, et al. Development characteristics and new exploration areas of marine source rocks in Ordos Basin[J]. Acta Petrolei Sinica, 2016, 37(8): 939-951, 1068.
    [28] 王振,张元福,张娜,等. 鄂尔多斯盆地南部地区延长组深水沉积构造特征及地质意义[J]. 现代地质,2018,32(1):121-132.

    Wang Zhen, Zhang Yuanfu, Zhang Na, et al. Deep-water sedimentary structures of Yanchang Formation in southern Ordos Basin and the geological significance[J]. Geoscience, 2018, 32(1): 121-132.
    [29] 付金华,刘新社,魏柳斌,等. 鄂尔多斯盆地奥陶系盐下马家沟组四段天然气勘探突破及意义[J]. 中国石油勘探,2022,27(2):47-58.

    Fu Jinhua, Liu Xinshe, Wei Liubin, et al. Breakthrough and significance of natural gas exploration in the Fourth member of Majiagou Formation of subsalt Ordovician in Ordos Basin[J]. China Petroleum Exploration, 2022, 27(2): 47-58.
    [30] 刘素彤,肖晖,杜元凯,等. 鄂尔多斯盆地天环坳陷北部奥陶系天然气成藏期次[J]. 西安科技大学学报,2019,39(6):1007-1015.

    Liu Sutong, Xiao Hui, Du Yuankai, et al. Hydrocarbon charging history of Ordovician gas reservoirs in north Tianhuan Depression, Ordos Basin[J]. Journal of Xi'an University of Science and Technology, 2019, 39(6): 1007-1015.
    [31] 任军峰,刘新社,喻建,等. 鄂尔多斯盆地中东部奥陶系盐下天然气成藏特征及勘探方向[J]. 中国石油勘探,2021,26(6):125-140.

    Ren Junfeng, Liu Xinshe, Yu Jian, et al. Characteristics of natural gas accumulation and exploration target of the Ordovician subsalt in the central and eastern Ordos Basin[J]. China Petroleum Exploration, 2021, 26(6): 125-140.
    [32] 周进高,于洲,吴东旭,等. 基于激光U-Pb定年技术的白云岩储集层形成过程恢复:以鄂尔多斯盆地奥陶系马家沟组为例[J]. 石油勘探与开发,2022,49(2):285-295.

    Zhou Jingao, Yu Zhou, Wu Dongxu, et al. Restoration of formation processes of dolomite reservoirs based on laser U-Pb dating: A case study of Ordovician Majiagou Formation, Ordos Basin, NW China[J]. Petroleum Exploration and Development, 2022, 49(2): 285-295.
    [33] Veizer J, Ala D, Azmy K, et al. 87Sr/86Sr, δ 13C and δ 18O evolution of Phanerozoic seawater[J]. Chemical Geology, 1999, 161(1/2/3): 59-88.
    [34] McArthur J M, Howarth R J, Bailey T R. Strontium isotope stratigraphy: LOWESS version 3: Best fit to the marine Sr-isotope curve for 0-509 Ma and accompanying look-up table for deriving numerical age[J]. The Journal of Geology, 2001, 109(2): 155-170.
    [35] 余新亚,李平平,邹华耀,等. 川北元坝气田二叠系长兴组白云岩稀土元素地球化学特征及其指示意义[J]. 古地理学报,2015,17(3):309-320.

    Yu Xinya, Li Pingping, Zou Huayao, et al. Rare earth element geochemistry of dolostones and its indicative significance of the Permian Changxing Formation in Yuanba gasfield, northern Sichuan Basin[J]. Journal of Palaeogeography, 2015, 17(3): 309-320.
    [36] 张鼐,田作基,毛光剑,等. 沥青包裹体的拉曼光谱特征[J]. 地球化学,2009,38(2):174-178.

    Zhang Nai, Tian Zuoji, Mao Guangjian, et al. Raman spectroscopic characteristics of bitumen inclusions[J]. Geochimica, 2009, 38(2): 174-178.
    [37] 胡凯, Wilkins R W T. 激光拉曼光谱碳质地温计:一种新的古地温测试方法[J]. 科学通报,1992,37(14):1302-1305.

    Hu Kai, Wilkins R W T. Laser Raman spectroscopic carbonaceous geothermy: A new method for measuring paleogeothermal temperature[J]. Chinese Science Bulletin, 1992, 37(14): 1302-1305.
    [38] 刘德汉,肖贤明,田辉,等. 固体有机质拉曼光谱参数计算样品热演化程度的方法与地质应用[J]. 科学通报,2013,58(13):1228-1241.

    Liu Dehan, Xiao Xianming, Tian Hui, et al. Sample maturation calculated using Raman spectroscopic parameters for solid organics: Methodology and geological applications[J]. Chinese Science Bulletin, 2013, 58(13): 1228-1241.
    [39] 丰国秀,陈盛吉.岩石中沥青反射率与镜质体反射率之间的关系[J].天然气工业,1988,(3):20-25+7.

    Feng Guoxiu, Chen Shengji. Relationship between asphalt reflectance and vitrinite reflectance in rocks [J]. Natural Gas Industry, 1988,(3):20-25+7.
    [40] Pierson B J. The control of cathodoluminescence in dolomite by iron and manganese[J]. Sedimentology, 1981, 28(5): 601-610.
    [41] 刘伟新,承秋泉,王延斌,等. 油气储层特征微观分析技术及其应用[J]. 石油实验地质,2006,28(5):489-492.

    Liu Weixin, Cheng Qiuquan, Wang Yanbin, et al. Micro- analysis and its application of oil and gas reservoir characteristics[J]. Petroleum Geology & Experiment, 2006, 28(5): 489-492.
    [42] 侯青亚. 矿石中矿物生成顺序的确定[J]. 山西冶金,2021,44(2):89-90,93.

    Hou Qingya. Determination of sequence of mineral formation in ores[J]. Shanxi Metallurgy, 2021, 44(2): 89-90, 93.
    [43] 陈少伟,刘建章. 含油气盆地微观裂缝脉体期次、成因与流体演化研究进展及展望[J]. 地质科技通报,2021,40(4):81-92.

    Chen Shaowei, Liu Jianzhang. Research progress and prospects of the stages, genesis and fluid evolution of micro-fracture veins in petroliferous basins[J]. Bulletin of Geological Science and Technology, 2021, 40(4): 81-92.
    [44] 马强,张殿伟,王贵文,等. 断层流体锶、碳、氧同位素示踪评价断层垂向封闭性:以焦石坝背斜带为例[J]. 沉积学报,2017,35(6):1205-1216.

    Ma Qiang, Zhang Dianwei, Wang Guiwen, et al. Evaluation of vertical sealing of faults by strontium, carbon and oxygen isotope tracing of fault fluid: A case from the anticlinal belt in Jiaoshiba area[J]. Acta Sedimentologica Sinica, 2017, 35(6): 1205-1216.
    [45] Jiang L, Cai C F, Worden R H, et al. Rare earth element and yttrium (REY) geochemistry in carbonate reservoirs during deep burial diagenesis: Implications for REY mobility during thermochemical sulfate reduction[J]. Chemical Geology, 2015, 415: 87-101.
    [46] 刘建章,陈诚,蔡忠贤,等. 柯坪地区中下寒武统走滑断裂带方解石脉期次、古流体演化与油气充注历史[J]. 地球科学,2023,48(6):2189-2203.

    Liu Jianzhang, Chen Cheng, Cai Zhongxian, et al. Division of calcite veins stage, paleo-fluid evolution and hydrocarbon charging history in the middle and lower Cambrin strike-slip fault zone in Keping area, northwest of Tarim Basin[J]. Earth Science, 2023, 48(6): 2189-2203.
    [47] 吴安彬,罗群,代兵,等. 海相高演化页岩裂缝方解石脉成因机制及指示意义[J]. 中国石油大学学报(自然科学版),2022,46(3):25-35.

    Wu Anbin, Luo Qun, Dai Bing, et al. Genetic mechanism and indicative significance of fracture calcite veins in marine high-evolution shale[J]. Journal of China University of Petroleum (Edition of Natural Science), 2022, 46(3): 25-35.
    [48] 郭耀庚. 地质矿物风化作用下形成锶同位素在沉积学领域的应用[J]. 世界有色金属,2020(22):178-179.

    Guo Yaogeng. Application of strontium isotope formed by weathering of geological minerals in sedimentology[J]. World Nonferrous Metals, 2020(22): 178-179.
    [49] Li K, Cai C, He H, et al. Origin of palaeo‐waters in the Ordovician carbonates in Tahe oilfield, Tarim Basin: Constraints from fluid inclusions and Sr, C and O isotopes[J]. Geofluids, 2011, 11(1): 71-86.
    [50] 罗涛,郭小文,舒志国,等. 四川盆地焦石坝南部地区五峰组—龙马溪组裂缝脉体流体来源及形成时间[J]. 石油学报,2021,42(5):611-622.

    Luo Tao, Guo Xiaowen, Shu Zhiguo, et al. Fluid source and formation time of fracture veins of Wufeng Formation and Longmaxi Formation in the south of Jiaoshiba area, Sichuan Basin[J]. Acta Petrolei Sinica, 2021, 42(5): 611-622.
    [51] 周进高,李明瑞,吴东旭,等. 鄂尔多斯盆地东部下奥陶统马家沟组盐下含气系统特征与勘探潜力[J]. 天然气工业,2023,43(3):34-45.

    Zhou Jingao, Li Mingrui, Wu Dongxu, et al. Characteristics and exploration potential of subsalt gas-bearing system in Majiagou Formation of Middle Ordovician in the eastern Ordos Basin[J]. Natural Gas Industry, 2023, 43(3): 34-45.
    [52] 李淼,周雨双,赵永强,等. 塔里木盆地玉北地区奥陶系缝洞充填方解石地球化学特征及其储层流体分析[J]. 石油实验地质,2022,44(4):593-602.

    Li Miao, Zhou Yushuang, Zhao Yongqiang, et al. Geochemical characteristics and fluid origins of fracture-and-cave-filling calcites of Ordovician in Yubei area, Tarim Basin[J]. Petroleum Geology & Experiment, 2022, 44(4): 593-602.
    [53] Tostevin R, Shields G A, Tarbuck G M, et al. Effective use of cerium anomalies as a redox proxy in carbonate-dominated marine settings[J]. Chemical Geology, 2016, 438: 146-162.
    [54] 刘德汉,肖贤明,田辉,等. 含油气盆地中流体包裹体类型及其地质意义[J]. 石油与天然气地质,2008,29(4):491-501.

    Liu Dehan, Xiao Xianming, Tian Hui, et al. Fluid inclusion types and their geological significance in petroliferous basins[J]. Oil & Gas Geology, 2008, 29(4): 491-501.
    [55] 施继锡,李本超,傅家谟,等. 有机包裹体及其与油气的关系[J]. 中国科学(B辑),1987(3):318-325.

    Shi Jixi, Li Benchao, Fu Jiamo, et al. Organic inclusions and their relationship with oil and gas[J]. Scientia Sinica, 1987(3): 318-325.
    [56] 陈红汉,张希明,陈惠超,等. 运用流体包裹体系统分析技术确定塔河油田油气成藏期次及主成藏期[C]//全国包裹体及地质流体学术研讨会论文摘要. 南京:中国矿物岩石地球化学学会,2002.

    Chen Honghan, Zhang Ximing, Chen Huichao, et al. Determination of oil and gas accumulation stage and main accumulation period in Tahe oilfield using fluid inclusion system analysis technology[C]//Abstracts of the national symposium on inclusions and geological fluids. Nanjing: Chinese Society of Mineral and Rock Geochemistry, 2002.
    [57] Becker S P, Eichhubl P, Laubach S E, et al. A 48 m.y. history of fracture opening, temperature, and fluid pressure: Cretaceous Travis Peak Formation, East Texas Basin[J]. GSA Bulletin, 2010, 122(7/8): 1081-1093.
    [58] 李荣西,席胜利,邸领军. 用储层油气包裹体岩相学确定油气成藏期次:以鄂尔多斯盆地陇东油田为例[J]. 石油与天然气地质,2006,27(2):194-199,217.

    Li Rongxi, Xi Shengli, Di Lingjun. Oil/gas reservoiring phases determined through petrographic analysis of hydrocarbon inclusions in reservoirs: Taking Longdong oilfield, Ordos Basin, as an example[J]. Oil & Gas Geology, 2006, 27(2): 194-199, 217.
    [59] 田雨,刘可禹,蒲秀刚,等. 荧光光谱技术在页岩油地质评价中的应用[J]. 石油学报,2022,43(6):816-828.

    Tian Yu, Liu Keyu, Pu Xiugang, et al. Application of fluorescence spectroscopy in geological evaluation of shale oil[J]. Acta Petrolei Sinica, 2022, 43(6): 816-828.
    [60] 孙守亮,陈树旺,李永飞,等. 辽西金羊盆地羊D1井油气充注成藏特征:来自流体包裹体显微荧光光谱的证据[J]. 地球化学,2020,49(1):84-94.

    Sun Shouliang, Chen Shuwang, Li Yongfei, et al. Hydrocarbon charging characteristics of YD1 well in Jinyang Basin, western Liaoning province: Evidences from microscopic fluorescence spectroscopy study in fluid inclusions[J]. Geochimica, 2020, 49(1): 84-94.
    [61] 韩慧萍,马嘉,张怡,等. 塔里木盆地塔中地区奥陶系碳酸盐岩储层成岩流体性质及分布[J]. 现代地质,2025,39(2):312-326.

    Han Huiping, Ma Jia, Zhang Yi, et al. Properties and distribution of diagenetic fluids in Ordovician carbonate reservoirs in Tazhong region of Tarim Basin, NW China[J]. Geoscience, 2025, 39(2): 312-326.
    [62] 李英文,刘力,刘宇坤,等. 桂中坳陷岩心裂缝方解石脉流体包裹体分析及其地质意义[J]. 资源环境与工程,2017,31(1):42-48.

    Li Yingwen, Liu Li, Liu Yukun, et al. Analysis of fluid inclusion within fracture calcite veins of conventional-cores in Guizhong Depression and its geological significance[J]. Resources Environment & Engineering, 2017, 31(1): 42-48.
    [63] 吴小力,徐旺林,李荣西,等. 鄂尔多斯盆地中东部奥陶系马家沟组硫化氢成因:来自流体包裹体的证据[J]. 石油学报,2022,43(2):250-261.

    Wu Xiaoli, Xu Wanglin, Li Rongxi, et al. Genesis of hydrogen sulfide in Ordovician Majiagou Formation, mid-eastern Ordos Basin: Evidence from fluid inclusions[J]. Acta Petrolei Sinica, 2022, 43(2): 250-261.
  • [1] 张军, 白玉彬, 闫新智, 赵靖舟, 徐宁.  鄂尔多斯盆地富县地区延长组长7段深水重力流沉积特征及油气勘探意义 . 沉积学报, 2024, (): -. doi: 10.14027/j.issn.1000-0550.2024.059
    [2] 梁晓伟, 鲜本忠, 冯胜斌, 陈鹏, 尤源, 吴千然, 淡卫东, 张文淼.  鄂尔多斯盆地陇东地区长7段重力流砂体构型及其主控因素 . 沉积学报, 2022, 40(3): 641-652. doi: 10.14027/j.issn.1000-0550.2021.017
    [3] 郑浩夫, 袁璐璐, 刘波, 张学丰, 沈瑛楚, 王远翀.  川西南中二叠统中粗晶白云石流体来源分析 . 沉积学报, 2020, 38(3): 589-597. doi: 10.14027/j.issn.1000-0550.2019.046
    [4] 曹江骏, 杨友运, 陈朝兵, 卜广平, 王茜, 杨一茗.  致密砂岩储层骨架砂体构型特征——以鄂尔多斯盆地合水地区延长组长6段砂体为例 . 沉积学报, 2019, 37(6): 1105-1116. doi: 10.14027/j.issn.1000-0550.2019.051
    [5] 孙东, 潘建国, 胡再元, 杨丽莎, 周俊峰, 韩杰, 李闯, 房启飞.  塔里木盆地塔中Ⅲ区奥陶系碳酸盐岩油气成藏主控因素及有利区带 . 沉积学报, 2019, 37(4): 868-877. doi: 10.14027/j.issn.1000-0550.2018.176
    [6] 沈卫兵, 庞雄奇, 陈践发, 王阳洋, 张科, 高兆富, 贾颖超, 陈泽亚.  塔里木盆地塔中隆起奥陶系碳酸盐岩油气运聚主控因素及成藏模式 . 沉积学报, 2018, 36(5): 1008-1022. doi: 10.14027/j.issn.1000-0550.2018.101
    [7] 刘亚洲, 刚文哲, 陈果, 孙晶波, 姜崇.  鄂尔多斯盆地盐池—定边地区长7段烃源岩芳烃地球化学特征 . 沉积学报, 2018, 36(4): 818-828. doi: 10.14027/j.issn.1000-0550.2018.093
    [8] 王越, 陈世悦, 梁绘媛, 王剑, 李天宝.  鄂尔多斯盆地保德地区上古生界沉积相与沉积演化特征 . 沉积学报, 2016, 34(4): 775-784. doi: 10.14027/j.cnki.cjxb.2016.04.017
    [9] 姚宜同, 李士祥, 赵彦德, 陈世加, 路俊刚.  鄂尔多斯盆地新安边地区长7致密油特征及控制因素 . 沉积学报, 2015, 33(3): 625-632. doi: 10.14027/j.cnki.cjxb.2015.03.021
    [10] 汪小妹.  鄂尔多斯盆地东胜—神木地区侏罗系煤中常量元素地球化学特征 . 沉积学报, 2011, 29(3): 520-528.
    [11] 付兆辉.  渤海湾盆地埕北凹陷古近系沉积体系分析与油气成藏 . 沉积学报, 2009, 27(1): 26-31.
    [12] 李宏涛.  鄂尔多斯北部直罗组中烃类包裹体地球化学特征及来源分析 . 沉积学报, 2007, 25(3): 467-473.
    [13] 曹 剑.  准噶尔盆地石炭—二叠系方解石脉的碳、氧、锶同位素组成与含油气流体运移 . 沉积学报, 2007, 25(5): 722-729.
    [14] 李平平 邹华耀 郝 芳.  准噶尔盆地腹部侏罗系顶部风化壳的发育机制及其油气成藏效应 . 沉积学报, 2006, 24(06): 889-896.
    [15] 姜建群, 李军, 史建南, 李明葵.  大民屯凹陷古今地温场特征及其成藏意义 . 沉积学报, 2004, 22(3): 541-546.
    [16] 杨荣生, 张铭杰, 张同伟, 李立武, 唐俊红.  川西南碳酸盐岩储层流体包裹体气体地球化学研究 . 沉积学报, 2003, 21(3): 522-527.
    [17] 李慧莉, 邱楠生, 金之钧, 吕修祥.  塔里木盆地克拉2气田储层流体包裹体与油气成藏研究 . 沉积学报, 2003, 21(4): 648-653.
    [18] 柳广弟, 张仲培, 张枝焕, 陈文学, 陈文礼, 李永林.  焉耆盆地三工河组储层流体包裹体形成期次分析 . 沉积学报, 2002, 20(2): 345-348.
    [19] 刘德良, 谈迎, 孙先如, 李振生, 方国庆, 陶士振.  鄂尔多斯古生界流体包裹体特征及其与油气演化关系 . 沉积学报, 2002, 20(4): 695-704.
    [20] 王震亮, 陈荷立.  鄂尔多斯盆地中部上古生界古流体动力分析 . 沉积学报, 1998, 16(4): 105-108.
  • 加载中
图(10)
计量
  • 文章访问数:  717
  • HTML全文浏览量:  84
  • PDF下载量:  46
  • 被引次数: 0
出版历程
  • 收稿日期:  2023-09-14
  • 修回日期:  2023-12-18
  • 录用日期:  2024-01-04
  • 网络出版日期:  2024-01-04
  • 刊出日期:  2025-12-10

目录

    乌审旗地区盐下奥陶系流体来源及其油气意义

    doi: 10.14027/j.issn.1000-0550.2023.136
      基金项目:

      国家自然科学基金项目 2021-90-5

      国家自然科学基金项目 41502148

      国家自然科学基金项目 42072127

      长庆油田油气重大专项子课题 技2021-90-5

      作者简介:

      张洁,女,1998年出生,硕士研究生,地质资源与地质工程,E-mail: 1823223595@qq.com

      通讯作者: 贾连奇,男,副教授,E-mail: jialianqi@nwu.edu.cn

    摘要: 目的 鄂尔多斯盆地盐下碳酸盐岩成藏过程存在较多争议,乌审旗地区奥陶系马家沟组盐下储层中发育多期含有烃及沥青包裹体的方解石,对流体来源和油气成藏过程具有重要指示作用。 方法 通过岩心观察、岩石薄片鉴定、阴极发光、稀土元素、C、O、Sr同位素、显微荧光及激光拉曼等实验方法,划分方解石发育期次,分析成脉流体来源,开展流体包裹体研究,揭示与烃类伴生的流体活动对油气成藏的意义。 结果 乌审旗地区碳酸盐岩储层中发育4期方解石脉(C1、C2、C3、C4),而且不同期次方解石脉特征及来源不同。C1和C4成脉流体来源于围岩溶解,其碳氧锶同位素与奥陶纪海水碳氧锶同位素一致,稀土配分模式具有海水特征。C2方解石脉具有很负的碳同位素值,较高87Sr/86Sr值和总稀土含量,Eu正异常,流体来源于外部地层。C3方解石具有较负的碳同位素值,更高的87Sr/86Sr值和总稀土含量,流体同样来源于外部地层。此外,C2和C3两期方解石脉上发育沥青包裹体,表明油气进入储层后发生裂解。 结论 研究区可能经历了两期外部地层来源的油气充注,方解石脉的研究有助于约束鄂尔多斯盆地及其他盆地的油气成藏过程。

    English Abstract

    张洁, 贾连奇, 范立勇, 马占荣, 罗晓容, 秦彪, 王怡帅. 乌审旗地区盐下奥陶系流体来源及其油气意义[J]. 沉积学报, 2025, 43(6): 2249-2263. doi: 10.14027/j.issn.1000-0550.2023.136
    引用本文: 张洁, 贾连奇, 范立勇, 马占荣, 罗晓容, 秦彪, 王怡帅. 乌审旗地区盐下奥陶系流体来源及其油气意义[J]. 沉积学报, 2025, 43(6): 2249-2263. doi: 10.14027/j.issn.1000-0550.2023.136
    ZHANG Jie, JIA LianQi, FAN LiYong, MA ZhanRong, LUO XiaoRong, QIN Biao, WANG YiShuai. The Source of the pre-Salt Ordovician Fluid and Its Significance for Hydrocarbon in Wushenqi Area[J]. Acta Sedimentologica Sinica, 2025, 43(6): 2249-2263. doi: 10.14027/j.issn.1000-0550.2023.136
    Citation: ZHANG Jie, JIA LianQi, FAN LiYong, MA ZhanRong, LUO XiaoRong, QIN Biao, WANG YiShuai. The Source of the pre-Salt Ordovician Fluid and Its Significance for Hydrocarbon in Wushenqi Area[J]. Acta Sedimentologica Sinica, 2025, 43(6): 2249-2263. doi: 10.14027/j.issn.1000-0550.2023.136
      • 随着天然气需求量的增长和油气勘探技术的进步,鄂尔多斯盆地中东部地区奥陶系马家沟组发育的沉积厚度大、分布面积广的碳酸盐岩—膏盐岩共生沉积体系的油气勘探前景备受瞩目[17]。近年来,鄂尔多斯盆地中东部地区MT1井在奥陶系马家沟组四段获得高产工业气流[89],实现了奥陶系盐下天然气勘探的重大突破。同时,鄂尔多斯盆地的T38井、L92井等在马家沟组盐下碳酸盐岩储集体中不断获得天然气勘探的新发现,这进一步证明了鄂尔多斯盆地盐下碳酸盐岩具有巨大的油气勘探潜力[1011]

        鄂尔多斯盆地中东部经历多期构造运动,断层、裂缝发育[12]。前人研究认为,不同尺度的断裂可能是奥陶系碳酸盐岩油气运移和地层流体穿层流动的通道[1314]。流体活动可能在碳酸盐岩裂缝中形成多种矿物(方解石是最常见的矿物之一),它们可以记录脉体的岩相学及成岩流体地球化学特征,并在此基础上分析流体形成期次、来源及成岩环境等各类信息[1516]。在岩相学特征方面,可以通过岩心观察、镜下薄片观察以及阴极发光等实验,从宏观充填特征分析,反映流体活动期次、性质等,为研究流体活动提供重要信息[1720]。在地球化学研究方面,主要通过流体包裹体[21]、微量—稀土元素[22]、碳氧同位素、锶同位素[2324]等实验技术手段,综合分析成脉流体的来源、演化过程等[1925]。上述方法在获取流体信息方面取得了较好的效果。当流体与油气一起流动时,上述方法能够指示共生油气的来源与期次。如李慧莉等[17]利用构造缝充填方解石碳氧锶同位素、稀土元素及流体包裹体分析塔里木盆地顺南—古城地区流体来源及其对油气成藏的意义。陈俊林等[18]研究了苏北盆地黄桥地区三叠系青龙组方解石脉体的微量元素和稳定同位素,并分析了其来源,研究结论表明方解石脉体的形成与烃类流体的活动密切相关。

        鄂尔多斯盆地中东部盐下奥陶系碳酸盐岩天然气勘探取得突破,为指导下一步的油气勘探,需要对油气成藏过程做进一步的研究。通过对天然气成分、同位素及模拟实验研究认为,天然气主要为原油裂解气[11,26]。然而,目前的勘探没有在盐下奥陶系碳酸盐岩储层中发现大量沥青,储层内的天然气来自奥陶系内部原油的裂解还是外部地层的油型气充注,仍然难以确定。在本文中,笔者通过鄂尔多斯盆地乌审旗地区方解石脉碳氧锶同位素、稀土元素以及流体包裹体分析,对流体演化进行研究,以此为基础探讨共生的油气的来源及是否存在早期石油充注过程,以期深化对研究区油气成藏的认识。

      • 鄂尔多斯盆地地处中国的中西部,北起阴山、南至秦岭、东到吕梁山、西达贺兰山,总面积37×104 km2,是我国第二大沉积盆地[2728],也是一个大型含盐油气盆地[11]。盆地经历了多个沉积旋回和构造运动,是典型的多旋回复合叠合型克拉通盆地。根据盆地现今构造格局和断层发育情况,盆地内部可以划分为六个构造单元,包括北部的伊盟隆起、南部的渭北隆起、西部的天环坳陷和西缘逆冲带、东部晋西挠褶带以及中部伊陕斜坡[29]。研究区位于鄂尔多斯盆地苏里格以东、鄂托克旗以南、榆林以西、靖边以北的乌审旗地区(图1)。

        图  1  鄂尔多斯盆地构造区划图和研究区位置(据文献[30]修改)

        Figure 1.  Structural zoning map of the Ordos Basin and location of the study area (modified from reference [30])

        鄂尔多斯盆地乌审旗地区奥陶系马家沟组主要为碳酸盐岩和蒸发岩沉积,纵向上自下而上分为马一段—马六段共6个岩性段,其中马一段、马三段、马五段发育海退旋回台内蒸发岩局限台地相沉积,主要岩性为盐岩、硬石膏、含膏云岩、泥质白云岩及灰岩;马二段、马四段、马六段属于海侵旋回碳酸盐台地相沉积,主要岩性为石灰岩及白云岩[31]。由于马五段沉积旋回性变化显著,根据岩性组合将其自下而上分为10个亚段[31],并可分为上、中、下3个部分,即马五上段(马五1—马五4)、马五中段(马五5)和马五下段(马五6—马五10),其中马五1—马五4亚段岩性主要为硬石膏结核粉晶白云岩和膏质白云岩,是靖边风化壳大气田主力产层;马五5亚段、马五7亚段、马五9亚段岩性主要为石灰岩及白云岩;马五6亚段、马五8亚段、马五10亚段岩性主要为盐岩、膏质白云岩、硬石膏岩及白云岩[31]。本文研究的主要层位为马家沟组盐下储层(图2)。

        图  2  鄂尔多斯盆地中东部奥陶系马家沟组岩性序列(据文献[26]修改)

        Figure 2.  Lithologic sequence of the Ordovician Majiagou Formation in the middle⁃east Ordos Basin (modified from reference [26])

      • 本文重点分析鄂尔多斯盆地乌审旗地区T31、T61、T76、T80、T112、T116六口取心井的岩心(图1),样品主要采自充填方解石的孔洞及裂缝,并将样品制作成薄片,开展岩相学、原位微量—稀土元素、同位素及流体包裹体分析。

        利用CLF-1阴极发光仪开展方解石脉体阴极发光特征观察与分析,划分研究区方解石脉期次,检测电压设为15 kV、束电流300 μA,真空度为0.03 mBar;使用FEI Quanta 450 FEG型环境扫描电镜观察得到背散射(BSE)或二次电子(SE)图像,利用扫描电镜X射线能谱(EDS)鉴定矿物成分;碳酸盐岩碳氧同位素测定采用磷酸法,用小型微钻取样机对样品中不同期次脉体进行原位微区取样,通过Gas Bench Ⅱ多用途在线气体制备装置自动采集反应气体输入MAT253质谱仪进行测试,δ13C和δ18O实验值均采用VPDB国际标准,标准偏差±0.1‰;利用激光剥蚀—电感耦合等离子体—质谱法(LA-ICP-MS),选取典型样品进行不同期次方解石脉体原位微区元素和锶同位素分析,稀土元素(REE)使用澳大利亚ASI公司RESOlution M-50准分子激光剥蚀系统进行原位剥蚀,采用Ailent 7 900电感耦合等离子体质谱仪进行方解石原位微量—稀土元素分析,激光束直径为43~67 μm、频率为5 Hz、能量密度约为6 J/cm2,测试误差控制在10%以内,测试结果采用澳大利亚页岩的标准稀土元素含量(PAAS)进行标准化;微区原位锶同位素测试采用澳大利亚ASI公司RESOlution M-50准分子激光剥蚀系统和Nu Plasma 1 700多接收等离子体质谱仪对方解石脉标定点位进行微区原位元素含量分析,激光束斑直径100 μm,频率为6 Hz,能量密度约为6 J/cm2,测试精度±0.000 03~0.000 07;流体包裹体显微荧光观察使用双通道荧光—透射光显微镜进行包裹体岩相学观察及烃包裹体检测,烃包裹体的激发紫外光波长为185~900 nm,仪器为PTI荧光光谱仪,并通过软件获取烃包裹体的荧光颜色及荧光光谱参数;烃包裹体激光拉曼分析,波长532.06 nm,输出功率350~400 mW,仪器波数校正用Si片,拉曼峰位移为520.70 cm-1,所有光谱的拟合处理和计算都是通过软件Labspec 6完成。

      • 对鄂尔多斯盆地乌审旗地区马家沟组盐下碳酸盐岩样品进行综合分析,岩心观察表明研究区岩性主要为白云质灰岩、白云岩等,储集空间主要为孔洞和裂缝(图3)。孔洞缝充填矿物及脉体主要为方解石,方解石脉以白色(图3a~d)、黄白色(图3e,f)为主。充填的方解石脉体宽度大小不一。发现部分样品中可见方解石与黄铁矿共同充填于岩心孔缝中(图3b,d),部分样品裂缝充填脉体相互切割关系(图3d),并可见少量沥青充填于裂缝或溶蚀洞内、呈富集状充填或局部充填(图3c,e)。

        图  3  乌审旗地区马家沟组盐下岩心样品照片

        Figure 3.  Photograph of the sub⁃salt core sample of the Majiagou Formation in the Wushenqi area

        对乌审旗地区马家沟组盐下碳酸盐岩储层典型岩心样品磨制包裹体片,在宏观岩相学基础上,为了进一步明确方解石脉的微观特征,通过显微镜观察、阴极发光观察、扫描电镜分析对研究区裂缝中发育的方解石脉进行观察,结果表明:研究区孔缝充填四期方解石脉(C1、C2、C3、C4)和一期鞍状白云石脉(SD)(图4)。第一期方解石脉(C1)沿裂缝边缘充填,单偏光下无色,方解石表面干净,晶体粒径较小,阴极发光下不发光(图4a,b);第二期方解石脉(C2)为裂缝充填中晶方解石,自形程度较好,单偏光下为褐色或无色,阴极发光下为橙色(图4c,d);第三期方解石脉(C3)在单偏光下无色,表面较干净,方解石晶体自形程度较好,晶体粒度较粗,发育1~2组解理,阴极发光颜色为亮橙色(图4a~f);第四期方解石脉(C4)单偏光下无色,方解石表面较脏,脉体较粗,解理发育不明显,阴极发光为暗红色,部分颗粒边缘发紫红色光(图4e,f);鞍状白云石脉(SD)单偏光下为灰白色,晶体以粗晶为主,正交光下呈现波状消光,阴极发光为紫红色(图4a,b)。根据研究区扫描电镜照片和能谱分析,C2方解石脉中微裂隙发育,被少量沥青充填(图4g,h)。

        图  4  鄂尔多斯盆地乌审旗地区缝洞充填矿物微观发育特征

        Figure 4.  Microscopic development characteristics of fracture⁃cavity filling minerals in the Wushenqi area, Ordos Basin

      • 研究区碳氧同位素测试结果表明(图5),方解石脉δ13C值介于-13.0‰~-0.3‰,平均值为-4.1‰;δ18O值介于-17.0‰~-7.5‰,平均值为-12.3‰。不同期次方解石脉的碳、氧同位素差异较明显:C1方解石脉的δ13C值介于-0.4‰~-0.3‰,平均值为-0.4‰,δ18O值介于-8.3‰~-7.5‰,平均值为-8.0‰;C2方解石脉的δ13C值介于-13.0‰~-8.3‰,平均值为-10.3‰,δ18O值介于-12.2‰~-11.1‰,平均值为-11.7‰;C3方解石脉的δ13C值介于-6.5‰~-4.5‰,平均值为-5.4‰,δ18O值介于-17.0‰~-12.7‰,平均值为-14.5‰;C4方解石脉的δ13C值介于-2.0‰~-1.2‰,平均值为-1.5‰,δ18O值介于-13.9‰~-12.0‰,平均值为-12.9‰。围岩δ13C值介于-1.5‰~0.7‰,平均值为-0.3‰;δ18O值介于-8.3‰~-5.8‰,平均值为-6.6‰[32]。与围岩相比,C2、C3两期方解石脉更贫13C、18O;而C1方解石脉δ13C值和δ18O值与围岩一致,C4方解石脉δ13C值与围岩一致,仅表现为贫18O[32]

        图  5  不同期次方解石脉稳定碳氧同位素特征(部分数据来自文献[32])

        Figure 5.  Stable carbon and oxygen isotope characteristics of calcite veins at different stages (partial data from reference [32])

      • 乌审旗地区四期方解石锶同位素分析结果如图6所示。C1方解石脉的87Sr/86Sr值介于0.708 73~0.709 05,平均值为0.708 93;C2方解石脉的87Sr/86Sr值介于0.709 34~0.709 63,平均值为0.709 48;C3方解石脉的87Sr/86Sr值介于0.709 48~0.710 94,平均值为0.709 95;C4方解石脉的87Sr/86Sr值介于0.708 92~0.709 18,平均值为0.709 08。从分析结果看,C1、C4两期方解石脉锶同位素比值与奥陶纪海水的87Sr/86Sr值[3334]基本一致,而C2、C3两期方解石的87Sr/86Sr值明显高于奥陶纪海水锶同位素比值。C1到C3方解石脉的锶同位素比值明显增大。

        图  6  不同期次方解石脉锶同位素特征(奥陶纪海水87Sr/86Sr值来自文献[3334])

        Figure 6.  Strontium isotope characteristics of calcite veins at different stages (87Sr/86Sr values of Ordovician seawater from references [33⁃34])

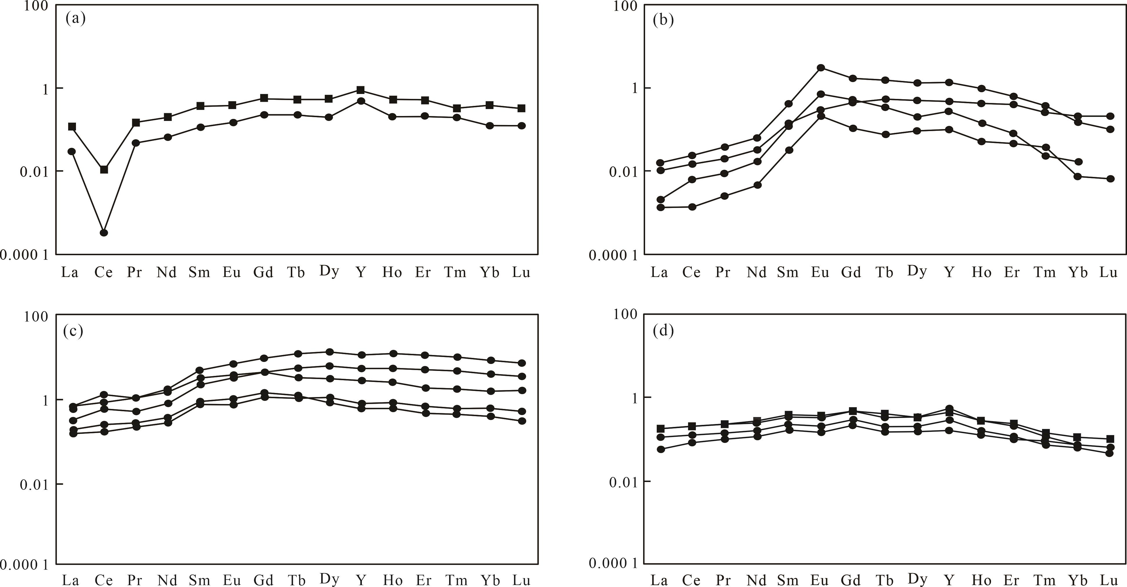
      • 通过激光剥蚀—电感耦合等离子体—质谱法(LA-ICP-MS)对不同期次方解石脉微量—稀土元素含量进行测试分析,经PAAS标准化后的方解石脉稀土元素配分模式如图7所示。C1方解石脉的稀土总量(∑REE)介于21.18~49.32,轻稀土(LREE)亏损,重稀土(HREE)配分曲线较为平坦,Ce异常范围在0.03~0.86(δCe=Ce/((La+Pr)/2) N;N=海水标准[35]),Y异常范围在13.07~24.36(δY=Y/((Dy+Ho)/2) N;N=海水标准化[35]),Y/Ho介于45.38~62.88(图7a);C2方解石脉的∑REE介于16.11~67.21,重稀土相对富集,Eu异常范围在0.22~3.00(δEu=Eu/((Sm+Gd)/2) N;N=海水标准化[35]),Y/Ho介于31.68~53.10(图7b);C3方解石脉的∑REE介于69.46~709.13,Eu异常范围在0.82~6.87,Y弱正异常,Y/Ho介于25.29~32.78(图7c);C4方解石脉的∑REE介于20.26~50.66,轻稀土略微富集,Eu和Ce异常均不明显,Y/Ho介于32.89~49.08(图7d)。

        图  7  不同期次方解石脉PAAS标准化稀土元素配分模式

        Figure 7.  Standardized rare earth element distribution patterns of calcite veins PAAS at different stages

      • 研究区C1方解石脉上未观察到烃包裹体,因此,我们重点描述C2、C3、C4三期方解石脉上的流体包裹体(图8)。C2方解石上发育烃包裹体和气液两相盐水包裹体,包裹体较小,烃包裹体发黄色荧光,气液两相盐水包裹体不发荧光(图8c,d);C3方解石脉上发育大量烃包裹体和盐水包裹体,主要呈方形和不规则形状,液态烃包裹体发黄色荧光,主要分布在方解石脉上(图8e,f),气液烃包裹体液体部分发蓝色荧光,气体成分不发光,主要沿裂缝分布(图8e~h);C4方解石脉上发育大量烃包裹体,单偏光下为黑色,以方形、椭圆形为主,荧光下发蓝色光,主要沿裂缝分布(图8i,j)。此外,在C3、C4两期方解石脉的裂缝处均发现有烃类充注,显微荧光下发蓝色荧光(图8e~j),同时在C2方解石脉及孔隙中充注烃类,透射光和荧光下均为褐色(图8a~d)。在显微荧光观察的基础上,对方解石脉上发荧光的烃包裹体进行荧光光谱分析,其中发黄色荧光的烃包裹体λ max为438 nm,Q650/500为0.434 7(图8k);发蓝色荧光的烃包裹体λmax为518 nm,Q650/500为0.671 7(图8l)。

        图  8  流体包裹体显微荧光及荧光光谱特征

        Figure 8.  Microfluorescence and fluorescence spectral characteristics of fluid inclusions

      • 通常,激光照射液态烃(石油)包裹体会产生强烈的荧光干扰,实际测量结果难以确定,因此激光拉曼主要用于测定储层样品中的无机气体包裹体(如CO2,N2,H2S等)、含气态烷烃的烃类气体包裹体以及含沥青包裹体中的固体成分[30,36]。拉曼光谱通过测定固体有机质散射中出现的D峰和G峰特征峰信息,可以反映研究区样品中含碳的固体有机质的热演化程度[37]。拉曼参数包括:d(G-D)代表两个特征峰的位移差,可用于成熟到高成熟阶段固体有机质的RmcRo%计算;h(Dh/Gh)为G峰和D峰的高度比,主要用于过成熟到前石墨阶段固体有机质的RmcRo%计算[38]。D峰拉曼位移主要分布在1 250~1 450 cm-1,G峰拉曼位移在1 500~1 605 cm-1[30]。对研究区包裹体进行激光拉曼测试,并根据公式计算沥青等效镜质体反射率:

        沥青成熟度:

        RmcRo%=0.053 7d(G-D)-11.21[38](适用于G峰>D峰) (1)
        RmcRo%=1.165 9h(Dh/Gh)+ 2.758 8[38](适用于G峰≤D峰) (2)

        式中:RmcRo%表示沥青成熟度,d(G-D)表示G峰与D峰位移差,h(Dh/Gh)为G峰和D峰的峰高比。

        沥青反射率与等效镜质体反射率转换公式[39]

        Roeq%=0.656 9RmcRo%+0.336 4 (3)

        式中:Roeq表示沥青等效镜质体反射率。

        研究区不同期次烃包裹体激光拉曼特征如图9所示,测试发现研究区C2方解石脉上包裹体出现典型的沥青拉曼散射峰(图9a,b),且G峰>D峰,沥青包裹体成熟度为1.29%~1.44%,转换为等效镜质体反射率为1.18%~1.28%;C3方解石脉上沥青包裹体(图9c)成熟度为2.96%,等效镜质体反射率为2.28%;在C4方解石脉上未打出沥青拉曼散射峰(图9d),出现了拉曼峰为2 944.49 cm-1的乙烷拉曼特征峰(乙烷拉曼特征峰范围2 945~2 975 cm-1)。

        图  9  烃包裹体激光拉曼特征

        Figure 9.  Laser Raman characteristics of hydrocarbon inclusions

      • 鄂尔多斯盆地乌审旗地区奥陶系盐下样品岩性主要为白云质灰岩、白云岩等,裂缝充填多期方解石脉,不同期次方解石脉阴极发光特征具有明显差异且存在相互交切关系(图4)。阴极发光技术可以直观有效地判断充填在裂缝中的成岩矿物类型及形成世代关系[40]。扫描电镜与能谱分析在碳酸盐岩储层研究中的应用非常广泛,可以对样品的矿物成分、结构构造、序列及次生变化等做进一步研究[41]。因此,在薄片观察的基础上,利用阴极发光、扫描电镜等手段对研究区成岩矿物演化序列进行厘定,建立成岩演化序列(图10)。

        图  10  研究区成岩演化序列

        Figure 10.  Diagenetic evolution sequence in the study area

        充填矿脉中矿物由脉壁向中心依次沉淀反映由早到晚的生成顺序,一种矿物穿插切割另一种矿物,被穿插的矿物形成得早[42]。在对研究区样品进行岩心观察、薄片观察和阴极发光分析的基础上,认为该地区发育4期方解石脉。第一期方解石脉(C1)沿裂缝边缘发育,为早期充填细晶方解石,单偏光下为无色,阴极发光下不发光(图4a,b),且方解石内未发现烃类包裹体,说明未有油气充注;第二期方解石脉(C2)发育在C1形成后的剩余空间中,自形程度较好,单偏光下为褐色,阴极发光颜色为橙色(图4a,b),从T31井的样品的扫描电镜和能谱图看,C2方解石脉微裂隙中见沥青充填(图4g~i),说明可能发生过油气运聚;第三期粗晶方解石脉(C3)穿插C2方解石脉,说明C3方解石脉形成时间晚于C2方解石脉,透射光下较干净,阴极发光下表现为发亮橙色光的较强发光特征(图4c,d),根据荧光观察(图4e~h)和激光拉曼结果(图9c)来看,C3方解石脉上发育烃包裹体,说明可能经历过一期油气充注;第四期方解石脉(C4)切穿C3方解石脉,C4透射光下较脏,阴极发光为暗红色,部分颗粒边缘发紫红色光;鞍状白云石(SD)发育在C3方解石脉之后,阴极发光为紫红色。

      • 碳酸盐岩裂缝是含油气盆地流体活动的重要途径。一般而言,地下流体活动如果伴随周围水化学环境突然改变时,随后形成的矿物脉体会保留一定的地球化学特征[43]。通过碳氧锶同位素和微量稀土元素的测试,对矿物脉体进行分析。通过比较脉体与围岩同位素差异和地球化学特征,可以对形成脉体的流体来源有较为清晰的认识和判断[43]

        氧同位素能反映温度、流体来源等,碳同位素能反映有机质的影响[4445],不同成岩环境下碳酸盐矿物的碳氧同位素组成明显不同。根据刘建章等[46]的研究,通常情况下,随着埋深的增加和温度的上升,氧同位素的值呈现负偏差,而碳同位素的值则随着有机碳的增加而偏负。此外,在碳酸盐岩研究中,成岩流体中的碳氧同位素值可能与后期充填矿物的碳氧同位素值存在不完全一致的情况,因此常将其作为锶同位素的一种补充[16]。例如,马强等[44]根据断层流体碳氧锶同位素来评价礁石坝地区断层垂向分布性;李慧莉等[17]根据不同期次方解石脉碳氧锶同位素来研究塔里木盆地顺南—古城地区流体来源。根据研究区方解石脉δ13C-δ18O关系图来看(图5),碳氧同位素分布范围较大,反映了多种来源的成岩流体。C1方解石脉碳氧同位素值具有同期海相方解石特征,与T112井围岩的碳氧同位素值一致[32]δ13C范围在-1.5‰~0.7‰,δ18O范围在-8.3‰~-5.8‰,反映流体对海水间接的继承性,说明形成脉体的流体可能来自埋藏较浅条件下的围岩溶解[17];C2和C3两期方解石脉碳同位素均有明显的负漂特点,说明有机质影响较大,可能与油气充注或伴生的成岩作用有关,C2方解石脉碳同位素比C3方解石脉碳同位素更负,两期方解石脉δ18O值均偏低,反映了流体具有较高的温度(与稀土配分样式的Eu正异常以及流体包裹体显微荧光特征相一致)[45],说明形成两期方解石流体来源可能不同,都可能来自外源流体;C4方解石脉碳同位素值与同期海水碳同位素一致[32],氧同位素略微偏负,可能与温度有关[46],形成方解石脉体的流体可能来自埋藏较深条件下的围岩溶解。

        碳酸盐岩成岩矿物中锶同位素的组成具有均一性、年代可对比的特性,因此其能够作为有效的断层流体示踪指标[44],主要来源为壳源锶、幔源锶和海水中的锶,不受经度、纬度或深度的影响[47]。其中壳源锶主要由碎屑岩中穿层流体流动携带,87Sr/86Sr值高(均值为0.720 00),幔源锶主要由洋中脊热液系统提供,87Sr/86Sr值低(平均值为0.703 50)[48],海水中的锶具有时代效应,不同时代锶比值不同,因此可以利用锶同位素示踪流体来源[47]。从分析结果看,C1与C4两期方解石脉的锶同位素比值与奥陶纪海水的87Sr/86Sr值(0.708 00~0.709 20)基本一致[3334]图6),这与前面碳氧同位素所表现出来的特征是相吻合的,表明脉体未受到外来流体的改造,流体可能来源于围岩的溶解;而C2(平均值为0.709 48)、C3(平均值为0.709 95)方解石脉均具有明显的富87Sr/86Sr值特征,C3方解石脉比C2方解石脉具有更高87Sr/86Sr值,说明形成方解石脉的流体并非来自围岩地层本身,可能来源于盆地深层地层中的富锶流体[49],同时也表明C2与C3方解石脉富87Sr/86Sr流体来源可能不同。罗涛等[50]在四川盆地焦石坝南部地区五峰组—龙马溪组页岩裂缝脉体的研究中锶同位素远远高于奥陶纪末期海水锶同位素值(高达0.722 45),结合前人研究[51]C2和C3两期方解石脉锶同位素值偏高原因可能与烃源岩排烃有关。碳酸盐岩中稀土元素含量、配分模式和特征参数(δCe和δEu等)记录了古流体的特征,可以用来指示流体来源与形成环境[16]。不同来源流体的稀土元素配分曲线存在明显区别:海相自生碳酸盐岩稀土配分具有明显的Ce负异常和重稀土元素富集特征;淡水稀土配分曲线较平坦,没有明显的元素异常;热液流体则表现为明显的Eu正异常特征[52]。采用PAAS标准化处理研究区马家沟组盐下储层样品中的方解石脉,得到不同期次稀土元素配分结果如图7所示,C1方解石脉显示出轻稀土亏损的特征,同时Ce元素呈现负异常,而Y元素则表现出正异常,具有典型海水REE配分模式[53],表明形成方解石脉的成岩流体来自围岩溶解,与碳氧锶同位素结果一致;C2方解石脉总稀土含量较高(16.11~67.21),稀土配分模式具有明显Eu正异常,前人研究结果表明,Eu正异常特征通常在高温、还原性热液流体中表现得比较明显,而在低温热液则不明显[52],同时研究区氧同位素偏负,表明方解石可能受到热液作用的影响[17],流体可能来源于外源流体[50];C3方解石脉总稀土含量高,具有明显Eu正异常,与C2方解石一样可能受到热液作用的影响,但两期方解石脉稀土配分模式不同,表明流体来源可能不同;C4方解石脉稀土配分曲线整体较平坦,元素异常不明显,流体可能来自围岩溶解[17]。前人研究发现Ce异常可以反映当时沉积水体的氧化还原环境,在氧化环境下,当Ce3+进入有机质、Fe-Mn氧化物或者黏土颗粒中时,会导致沉积水体出现Ce的亏损,而在缺氧或弱氧化条件下,Ce的含量则显示正异常[16]。形成C1和C4两期方解石都来源于围岩溶解,可能是氧化还原环境不同导致Ce元素含量不同。通过对研究区不同期次方解石脉碳氧锶同位素、稀土元素的分析,C1与C4方解石脉具有海水特征稀土配分模式,碳氧锶同位素与奥陶纪海水碳氧锶同位素一致,表明流体来源于围岩的溶解;C2和C3方解石脉具有较高的总稀土含量,Eu正异常,较负的碳氧同位素,高87Sr/86Sr值,表明流体来源于外部,而C2和C3两期方解石的稀土元素特征曲线和碳氧锶同位素的差异表明形成C2和C3的方解石脉流体来源不同[16],可能来源于更高富锶流体。

      • 由于成岩成矿流体在矿物结晶和生长过程中被矿物晶格缺陷包裹,使得一部分包裹体被封存在主矿物中并与主矿物有相界,并保留了矿物形成过程中的各种地球化学信息的部分被称作流体包裹体[43,53],其中盆地内各种烃包裹体和含烃包裹体的发现,为该区地质历史上发生油气形成、运移、聚集等过程提供了重要证据[54]。根据这种特性,在明确研究区成岩矿物序列的基础上,对各期矿物上的包裹体开展镜下观察、显微荧光观察、荧光光谱及激光拉曼分析,明确包裹体捕获时流体性质,进而了解研究区油气成藏演化等很多重要信息,为勘探评价提供科学依据。前人研究证明显微荧光中荧光颜色反映了可溶有机质的组分,荧光强度反映了有机质含量,两者都可以反映油气的热演化程度,有机包裹体通常发黄色、绿色和蓝色的荧光[55]。陈红汉等[56]运用有机流体包裹体荧光分析技术研究塔河油田地层中有机质的成熟演化过程、油气生成演化阶段和油气运移方向等。根据流体包裹体显微荧光观察,研究区C2方解石脉上可观察到发黄色荧光的烃包裹体(图8c,d);C3方解石脉上发育发黄色荧光的液态烃包裹体(图8a,b)和沿裂缝分布的发蓝色荧光的气液烃包裹体(图8e~h),代表了两期不同成熟度的液态烃;C4方解石脉上也发育发蓝色荧光的烃包裹体,主要沿裂缝分布(图8i,j)。此外,在C3、C4两期方解石脉体裂缝处均充填烃类,发蓝色荧光,C2的孔隙中可能充注一期油气,发褐色荧光(图8c,d)。已有研究表明,储层中同时发生成岩作用和油气等烃类流体运移或聚集时,成岩矿物在形成过程中捕获油气流体,形成烃包裹体[5758]。根据上述研究发现研究区可能经历两期油气充注。

        荧光颜色差异指示成熟度不同,因此,对发不同荧光颜色的烃包裹体进行显微荧光光谱分析。显微荧光光谱仪能定量研究油包裹体的荧光颜色及成熟度特征[16],根据获取的主峰波长(λmax)、红绿熵值(Q650/500)等相关参数反映原油成熟度。主峰波长(λmax)是指最大荧光强度所对应的波长,红绿熵值(Q650/500)指光谱波长在650 nm处对应的荧光强度与在500 nm对应的荧光强度的比值。研究发现原油密度越大,荧光主峰波长(λmax)越大,红绿熵值(Q650/500)越大,反映烃类的成熟度越低,反之,烃类的成熟度越高[5960]。研究区碳酸盐岩储层中存在发蓝色荧光和黄色荧光的烃包裹体,这表明该区域曾经可能经历了两次原油充注,并且这些原油的成熟度存在差异。其中发黄色荧光的包裹体(图8k)λ max为438 nm,Q650/500为0.434 0,成熟度相对较低;蓝色荧光的包裹体(图8l)λmax为518 nm,Q650/500为0.671 0,成熟度较高。

        张鼐等[36]研究发现,储层中含沥青烃包裹体在激光拉曼光谱中会出现明显的D峰和G峰特征峰,在一般地层中原油族组成中的沥青质其拉曼特征峰常为1 360 cm-1、1 620 cm-1[30]。应用激光拉曼光谱分析(图9),对C2、C3两期方解石上的包裹体进行激光拉曼光谱分析,沥青成分的拉曼特征峰非常明显[30]图9a~c),等效镜质体反射率介于1.59%~2.28%,从C2到C3沥青包裹体成熟度逐渐增大,与显微荧光观察、荧光光谱分析结果一致,证明研究区奥陶系碳酸盐岩储层中存在沥青包裹体,证实了早期充注的油气可能遭受深埋增温并形成高演化固体沥青[6162]。与吴小力等[63]在盆地中东部奥陶系马家沟组测得的流体包裹温度数据一致(在充填膏模孔和溶蚀孔的方解石中,盐水包裹体的均一温度整体介于110 ℃~230 ℃,在充填裂隙的方解石脉中,盐水包裹体的均一温度整体介于130 ℃~200 ℃)。

        在油气成熟度的演化分析中,初期充注的油气相对成熟度较低,其荧光呈现黄色;而后期充注的油气相对成熟度较高,其荧光呈现蓝色[16]。C2方解石脉发育黄色荧光的烃包裹体,C3方解石脉上发育蓝色荧光的烃包裹体,与荧光光谱图和沥青等效镜质体反射率反应的特征一致,因此烃包裹体成熟度在增高。从包裹体岩相学角度分析,黄色荧光烃包裹体在C2方解石脉中捕获,表明此次油气充注可能发生在C2形成时,在C3、C4两期方解石脉中均发现发蓝色荧光的烃包裹体,说明油气充注可能发生在C4方解石脉形成之后。

      • (1) 薄片观察、阴极发光及扫描电镜分析结果表明,鄂尔多斯盆地乌审旗地区马家沟组盐下孔缝充填4期不同特征的方解石脉(C1、C2、C3、C4),不同期次方解石脉的阴极发光特征不同。此外,在C2方解石的裂隙中还充填沥青。

        (2) C1与C4方解石成脉流体相似,均来自围岩溶解形成的成岩流体,形成C2和C3方解石脉的地质流体来自深部具有高87Sr/86Sr值的热液流体。

        (3) 研究区储层中发生油气运移。以C2和C3方解石为寄存体的含油气流体包裹体可以约束油气运移和流体活动,C2和C3方解石脉的地球化学和岩石学信号可以作为识别复杂地质环境下油气和古流体来源的标志。

    参考文献 (63)

    目录

      /

      返回文章
      返回