Current Issue
2025 Vol. 43, No. 5
Display Method:
2025, 43(5): 1535-1554.
doi: 10.14027/j.issn.1000-0550.2025.037
Abstract:
Significance As a fundamental branch of Earth sciences, sedimentology has evolved over more than a century. Progress Between the 17th and 19th centuries, sedimentary rocks were mainly regarded as background material for stratigraphic and paleontological studies, lacking an systematic theoretical framework. The emergence of modern sedimentological thinking began in the late 19th century with Walther’s “Law of Succession of Facies,” which clarified the spatial-temporal relationships among sedimentary facies. Around the same period, Sorby’s pioneering microscopic studies of silicified wood laid the foundation for sedimentary petrology. With the rise of the petroleum industry in the early 20th century, grain-size analysis and heavy mineral assemblages became central to sedimentary petrology. However, most studies during this period remained confined to laboratory observations and lacked insight into sedimentary processes. The mid-20th century witnessed a turning point: Kuenen and Migliorini's revolutionary flume experiments successfully reproduced turbidity current deposition, propelling the development of physical sedimentology. Simultaneously, studies of modern depositional environments facilitated the establishment of facies models, enhancing predictions of sedimentary environments and rock distribution and driving rapid advances in paleogeography.The 1960s-1970s brought a paradigm shift with the application of plate tectonic theory. Sedi-mentology began to expand from research on process-response sedimentary models to basin dynamics. The integration of seismic data catalyzed the emergence of sequence stratigraphy. Vail and colleagues' introduction of sequence boundaries and chronostratigraphic correlation fundamentally redefined the relationship between stratigraphy and sedimentology, effectively reuniting them into a coherent framework. By the 1990s, rapid advances in elemental and isotopic geochemistry enabled the development of multiple environmental proxies, which in turn facilitated paleoclimatic and paleoceanographic reconstructions based on sedimentary records. Meanwhile, the validation of Milankovitch theory and the rise of cyclostratigraphy pushed temporal resolution from the million-year to the ten-thousand-year scale. In the 21st century, the rise of biosedimentology reflects an increasing integration of sedimentology with microbiology and geochemistry. The field has also extended from resource-driven investigations toward addressing fundamental scientific questions such as the origin of life, the carbon cycle, climate evolution, and planetary habitability.The evolution of sedimentology has not followed a linear trajectory. Instead, it has progressed through a series of paradigm shifts driven by theoretical crises and technological revolutions. Key drivers include the accumulation of modern observational data, breakthroughs in experimental techniques, the adoption of actualistic principles, and societal demand. Notably, conflicts between new observations and established theories–such as the discovery of coarse clastic sediments in deep-sea settings during HMS Challenger expeditions–have triggered theoretical revolutions. Experimental innovations, such as flume experiments and seismic reflection data, directly enabled the development of physical sedimentology and sequence stratigraphy. The application of actualistic methodologies–"the present is the key to the past"–has become the epistemological foundation of modern sedimentology. Systematic observations of modern depositional processes have transformed the field from descriptive “stamp collecting” into a discipline grounded in quantitative, process-based modeling. At a deeper level, the golden age of sedimentology was driven by societal demand for energy resources, with much of its rapid development propelled by applied research in hydrocarbon exploration.The historical trajectory of sedimentology reveals it had a very polyphyletic origin. Sedimentary petrology emerged through focused analysis of rock composition and fabric, while physical sedimentology established a theoretical framework centered on depositional processes. The later development of sequence stratigraphy achieved deep integration with stratigraphy. Entering the 21st century, sedimentology is undergoing a new phase of cross-disciplinary convergence–with geophysics, geochemistry, geobiology, paleoclimatology, computer science, engineering geology, and environmental science–giving rise to emerging subfields such as paleoceanography, planetary sedimentology, biosedimentology, and environmental sedimentology.This convergence is rooted in the intrinsic complexity of sedimentary materials. [Conclusions and Prospests] As the most widely distributed rock on Earth’s surface, sedimentary rocks and sediments uniquely archive the continuous evolution of the Earth’s surface systems since the Archean. They are both products and records of the interactions among Earth’s spheres–lithosphere, atmosphere, hydrosphere, and biosphere-preserving evidence of the dynamic forces shaping the planet across spatial and temporal scales. The interdisciplinary nature of sedimentology thus emerges inevitably from its object of study.To reflect this disciplinary integration, we propose the concept of "Sedimentosphere Science"–a new transdisciplinary framework that is emerging as a central approach to understanding Earth’s surface system coupling and addressing global sustainability challenges. The sedimentosphere refers to the Earth’s uppermost surface domain, composed of sedimentary rocks and materials, extending from the crystalline basement to the lower boundaries of the atmosphere and hydrosphere. As an interface among the major Earth spheres, sedimentary records capture the evolutionary history of the Earth, controlling mechanisms, and feedback processes among Earth’s subsystems.Compared to sedimentology, Sedimentosphere Science emphasizes comprehensive, system-level research under the guidance of Earth System Science. It integrates diverse disciplines, methodologies, and technologies to investigate the interplay among the atmosphere, hydrosphere, biosphere, anthroposphere, and sedimentosphere. This integrated approach enhances our understanding of sedimentary differentiation and evolution and contributes directly to human sustainability and societal resilience.Sedimentosphere Science not only encompasses subfields such as sedimentology, stratigraphy, paleontology, petrology, geomorphology, paleoclimatology, paleoceanography, geological resources, and environmental geology, but also draws upon methods from mathematics, chemistry, physics, and biology. Considering current scientific trends and societal needs, we identify four emerging research frontiers: (1) using the sedimentosphere record to reconstruct Earth’s history, (2) investigating processes of sedimentosphere and their responses to climate change, (3) understanding the mechanisms of material differentiation in the sedimentosphere, and (4) exploring sedimentosphere-human interactions for sustainable development.The rise of Sedimentosphere Science is not only a natural extension of sedimentology but also a strategic response to the complexity of Earth systems and the growing urgency of global change. Under the new era of interdisciplinary science, Sedimentosphere Science is poised to play a pivotal role in advancing planetary habitability, resource security, and disaster resilience. It represents both a research expansion of sedimentology and a vital component of the Earth system science.
Significance As a fundamental branch of Earth sciences, sedimentology has evolved over more than a century. Progress Between the 17th and 19th centuries, sedimentary rocks were mainly regarded as background material for stratigraphic and paleontological studies, lacking an systematic theoretical framework. The emergence of modern sedimentological thinking began in the late 19th century with Walther’s “Law of Succession of Facies,” which clarified the spatial-temporal relationships among sedimentary facies. Around the same period, Sorby’s pioneering microscopic studies of silicified wood laid the foundation for sedimentary petrology. With the rise of the petroleum industry in the early 20th century, grain-size analysis and heavy mineral assemblages became central to sedimentary petrology. However, most studies during this period remained confined to laboratory observations and lacked insight into sedimentary processes. The mid-20th century witnessed a turning point: Kuenen and Migliorini's revolutionary flume experiments successfully reproduced turbidity current deposition, propelling the development of physical sedimentology. Simultaneously, studies of modern depositional environments facilitated the establishment of facies models, enhancing predictions of sedimentary environments and rock distribution and driving rapid advances in paleogeography.The 1960s-1970s brought a paradigm shift with the application of plate tectonic theory. Sedi-mentology began to expand from research on process-response sedimentary models to basin dynamics. The integration of seismic data catalyzed the emergence of sequence stratigraphy. Vail and colleagues' introduction of sequence boundaries and chronostratigraphic correlation fundamentally redefined the relationship between stratigraphy and sedimentology, effectively reuniting them into a coherent framework. By the 1990s, rapid advances in elemental and isotopic geochemistry enabled the development of multiple environmental proxies, which in turn facilitated paleoclimatic and paleoceanographic reconstructions based on sedimentary records. Meanwhile, the validation of Milankovitch theory and the rise of cyclostratigraphy pushed temporal resolution from the million-year to the ten-thousand-year scale. In the 21st century, the rise of biosedimentology reflects an increasing integration of sedimentology with microbiology and geochemistry. The field has also extended from resource-driven investigations toward addressing fundamental scientific questions such as the origin of life, the carbon cycle, climate evolution, and planetary habitability.The evolution of sedimentology has not followed a linear trajectory. Instead, it has progressed through a series of paradigm shifts driven by theoretical crises and technological revolutions. Key drivers include the accumulation of modern observational data, breakthroughs in experimental techniques, the adoption of actualistic principles, and societal demand. Notably, conflicts between new observations and established theories–such as the discovery of coarse clastic sediments in deep-sea settings during HMS Challenger expeditions–have triggered theoretical revolutions. Experimental innovations, such as flume experiments and seismic reflection data, directly enabled the development of physical sedimentology and sequence stratigraphy. The application of actualistic methodologies–"the present is the key to the past"–has become the epistemological foundation of modern sedimentology. Systematic observations of modern depositional processes have transformed the field from descriptive “stamp collecting” into a discipline grounded in quantitative, process-based modeling. At a deeper level, the golden age of sedimentology was driven by societal demand for energy resources, with much of its rapid development propelled by applied research in hydrocarbon exploration.The historical trajectory of sedimentology reveals it had a very polyphyletic origin. Sedimentary petrology emerged through focused analysis of rock composition and fabric, while physical sedimentology established a theoretical framework centered on depositional processes. The later development of sequence stratigraphy achieved deep integration with stratigraphy. Entering the 21st century, sedimentology is undergoing a new phase of cross-disciplinary convergence–with geophysics, geochemistry, geobiology, paleoclimatology, computer science, engineering geology, and environmental science–giving rise to emerging subfields such as paleoceanography, planetary sedimentology, biosedimentology, and environmental sedimentology.This convergence is rooted in the intrinsic complexity of sedimentary materials. [Conclusions and Prospests] As the most widely distributed rock on Earth’s surface, sedimentary rocks and sediments uniquely archive the continuous evolution of the Earth’s surface systems since the Archean. They are both products and records of the interactions among Earth’s spheres–lithosphere, atmosphere, hydrosphere, and biosphere-preserving evidence of the dynamic forces shaping the planet across spatial and temporal scales. The interdisciplinary nature of sedimentology thus emerges inevitably from its object of study.To reflect this disciplinary integration, we propose the concept of "Sedimentosphere Science"–a new transdisciplinary framework that is emerging as a central approach to understanding Earth’s surface system coupling and addressing global sustainability challenges. The sedimentosphere refers to the Earth’s uppermost surface domain, composed of sedimentary rocks and materials, extending from the crystalline basement to the lower boundaries of the atmosphere and hydrosphere. As an interface among the major Earth spheres, sedimentary records capture the evolutionary history of the Earth, controlling mechanisms, and feedback processes among Earth’s subsystems.Compared to sedimentology, Sedimentosphere Science emphasizes comprehensive, system-level research under the guidance of Earth System Science. It integrates diverse disciplines, methodologies, and technologies to investigate the interplay among the atmosphere, hydrosphere, biosphere, anthroposphere, and sedimentosphere. This integrated approach enhances our understanding of sedimentary differentiation and evolution and contributes directly to human sustainability and societal resilience.Sedimentosphere Science not only encompasses subfields such as sedimentology, stratigraphy, paleontology, petrology, geomorphology, paleoclimatology, paleoceanography, geological resources, and environmental geology, but also draws upon methods from mathematics, chemistry, physics, and biology. Considering current scientific trends and societal needs, we identify four emerging research frontiers: (1) using the sedimentosphere record to reconstruct Earth’s history, (2) investigating processes of sedimentosphere and their responses to climate change, (3) understanding the mechanisms of material differentiation in the sedimentosphere, and (4) exploring sedimentosphere-human interactions for sustainable development.The rise of Sedimentosphere Science is not only a natural extension of sedimentology but also a strategic response to the complexity of Earth systems and the growing urgency of global change. Under the new era of interdisciplinary science, Sedimentosphere Science is poised to play a pivotal role in advancing planetary habitability, resource security, and disaster resilience. It represents both a research expansion of sedimentology and a vital component of the Earth system science.
2025, 43(5): 1555-1568.
doi: 10.14027/j.issn.1000-0550.2025.052
Abstract:
Objective With the continued advances in the exploration of deep to ultra-deep marine carbonate rocks, the traditional paradigm of targeting “dolostone-preferred” reservoirs is undergoing a new round of transformation. Methods Taking the Permian system in the central Sichuan Basin as an example, this study systematically investigated the formation mechanisms and favorable reservoir conditions of various types of ultra-deep marine carbonate reservoirs using a range of technical approaches, including core observation, thin-section identification, micro-area C-O isotope analysis and U-Pb isotope dating. Results It was found that the Permian Maokou and Changxing Formations in the region had developed many types of high-quality dolomite, limestone and weakly dolomitized limestone reservoirs, even at burial depths exceeding 5 900 m. The reservoir thicknesses range from 5 m to 50 m, with porosities between 2.0 and 12.0 percent. Systematic analysis revealed that such reservoirs do not exist in isolation but have co-evolved within a unified tectonic/ sedimentary/diagenetic dynamic system, forming composite reservoir clusters. The concept of an ‘Integrated Reservoir Potential’ is proposed for the marine carbonate rocks of the Permian system in the basin, suggesting that, within a unified tectonic/sedimentary/diagenetic framework, the formation, preservation and optimization of pores were jointly influenced by paleo-Permian rifts, the Dongwu paleoweathering surface, and the reactivation of multi-stage paleofaults. This promoted the synergistic development of reservoirs of limestone, weakly dolomitized rock and dolomite, and resulted in large-scale reservoir formation across all lithologies of marine carbonate rocks. Under such conditions, dolomite, limestone and weakly dolomitized limestone all form effective reservoirs in ultra-deep marine carbonates. Conclusions The ‘Integrated Reservoir Potential’ concept provides guidance for the exploration of Permian marine carbonates in the Sichuan Basin and also offers theoretical support and conceptual insights for deep to ultra-deep carbonate exploration entering the “post-dolostone era” where multiple lithologies are equally emphasized. This advance will drive the progress and discovery breakthroughs in deep carbonate exploration.
Objective With the continued advances in the exploration of deep to ultra-deep marine carbonate rocks, the traditional paradigm of targeting “dolostone-preferred” reservoirs is undergoing a new round of transformation. Methods Taking the Permian system in the central Sichuan Basin as an example, this study systematically investigated the formation mechanisms and favorable reservoir conditions of various types of ultra-deep marine carbonate reservoirs using a range of technical approaches, including core observation, thin-section identification, micro-area C-O isotope analysis and U-Pb isotope dating. Results It was found that the Permian Maokou and Changxing Formations in the region had developed many types of high-quality dolomite, limestone and weakly dolomitized limestone reservoirs, even at burial depths exceeding 5 900 m. The reservoir thicknesses range from 5 m to 50 m, with porosities between 2.0 and 12.0 percent. Systematic analysis revealed that such reservoirs do not exist in isolation but have co-evolved within a unified tectonic/ sedimentary/diagenetic dynamic system, forming composite reservoir clusters. The concept of an ‘Integrated Reservoir Potential’ is proposed for the marine carbonate rocks of the Permian system in the basin, suggesting that, within a unified tectonic/sedimentary/diagenetic framework, the formation, preservation and optimization of pores were jointly influenced by paleo-Permian rifts, the Dongwu paleoweathering surface, and the reactivation of multi-stage paleofaults. This promoted the synergistic development of reservoirs of limestone, weakly dolomitized rock and dolomite, and resulted in large-scale reservoir formation across all lithologies of marine carbonate rocks. Under such conditions, dolomite, limestone and weakly dolomitized limestone all form effective reservoirs in ultra-deep marine carbonates. Conclusions The ‘Integrated Reservoir Potential’ concept provides guidance for the exploration of Permian marine carbonates in the Sichuan Basin and also offers theoretical support and conceptual insights for deep to ultra-deep carbonate exploration entering the “post-dolostone era” where multiple lithologies are equally emphasized. This advance will drive the progress and discovery breakthroughs in deep carbonate exploration.
2025, 43(5): 1569-1591.
doi: 10.14027/j.issn.1000-0550.2025.046
Abstract:
Significance The timing and processes of ocean disappearance in the Tibetan Plateau region are of great significance for understanding plateau uplift, climate-environmental evolution, and biodiversity development. Progress Through systematically compiling stratigraphic and geochronological data of the youngest marine sequen-ces since the Mesozoic in the Tibetan Plateau, the marine basins fall into two categories based on their basin-forming mechanisms. The remnant sea is a continental-marginal basin that persists after the ocean-crust disappears; its sediments are preserved within suture zones and on adjacent continental margins. The epicontinental seaway formed by marine incursions onto pre-existing land, leaving their deposited sediments overlying continental interiors. Three remnant seas on the Tibetan Plateau vanished in north-to-south order: the Jinsha remnant sea at the end of the Triassic; the Bangong-Nujiang remnant sea in the latest Jurassic to Early Cretaceous; and the Yarlung Zangbo remnant sea in middle Eocene time. Their vanish disappearance closely corresponded to the collision of Qiangtang terrane with Asia, the Lhasa-Qiangtang collision, and the India-Asia collision, respectively. Six epicontinental seaways in the Tibetan Plateau formed and retreated in agreement with global sea-level changes: the Northern Qiangtang and Ganzi seaways in the Middle-Late Jurassic; the Northern Lhasa seaway in the Early Cretaceous; the Aksai Chin seaway in the Late Cretaceous, the Tarim seaways in the Late Cretaceous-Eocene, and Lesser Himalaya in the middle Eocene. These seaway intervals correspond to global sea-level highstands, and the demise of both the Lesser Himalaya and Tarim seaways aligns with sustained global sea-level fall. Conclusions and Prospects We concluded that marine-continental transitions in the Tibetan Plateau were jointly governed by tectonics and global sea-level fluctuations, with important implications for understanding the regional climate and environmental evolution.
Significance The timing and processes of ocean disappearance in the Tibetan Plateau region are of great significance for understanding plateau uplift, climate-environmental evolution, and biodiversity development. Progress Through systematically compiling stratigraphic and geochronological data of the youngest marine sequen-ces since the Mesozoic in the Tibetan Plateau, the marine basins fall into two categories based on their basin-forming mechanisms. The remnant sea is a continental-marginal basin that persists after the ocean-crust disappears; its sediments are preserved within suture zones and on adjacent continental margins. The epicontinental seaway formed by marine incursions onto pre-existing land, leaving their deposited sediments overlying continental interiors. Three remnant seas on the Tibetan Plateau vanished in north-to-south order: the Jinsha remnant sea at the end of the Triassic; the Bangong-Nujiang remnant sea in the latest Jurassic to Early Cretaceous; and the Yarlung Zangbo remnant sea in middle Eocene time. Their vanish disappearance closely corresponded to the collision of Qiangtang terrane with Asia, the Lhasa-Qiangtang collision, and the India-Asia collision, respectively. Six epicontinental seaways in the Tibetan Plateau formed and retreated in agreement with global sea-level changes: the Northern Qiangtang and Ganzi seaways in the Middle-Late Jurassic; the Northern Lhasa seaway in the Early Cretaceous; the Aksai Chin seaway in the Late Cretaceous, the Tarim seaways in the Late Cretaceous-Eocene, and Lesser Himalaya in the middle Eocene. These seaway intervals correspond to global sea-level highstands, and the demise of both the Lesser Himalaya and Tarim seaways aligns with sustained global sea-level fall. Conclusions and Prospects We concluded that marine-continental transitions in the Tibetan Plateau were jointly governed by tectonics and global sea-level fluctuations, with important implications for understanding the regional climate and environmental evolution.
2025, 43(5): 1592-1604.
doi: 10.14027/j.issn.1000-0550.2025.056
Abstract:
Significance As a crucial sedimentary system formed by the interaction of rivers and receiving water bodies (oceans or lakes), delta has become a research hotspot in sedimentology due to its unique depositional characteristics and resource potential. In particular, the discussion on the classification of delta types and the definition of shallow-water deltas has garnered significant attention. Progress This paper systematically reviews the research context of shallow-water deltas, focusing on the evolution of their definition and connotation. This includes multiple perspectives of definition based on basement subsidence rates, wave base, facies associations, and development settings. It summarizes research advances in sedimentary dynamic processes, morphological evolution and sandbody architecture, as well as controlling factors. The review reveals unique patterns of distributary channel activity and sandbody distribution under low-gradient and shallow-water hydrodynamic conditions. Conclusions and Prospects The limitations of existing delta classification schemes are comparatively analyzed. A four-type delta classification system is proposed, integrating basement subsidence rates, hydrodynamic conditions, and sedimentary settings. Four types of deltas include coastal shallow-water delta, coast-shelf deep-water delta, shelf-edge deep-water delta, and canyon deep-water delta. Meanwhile, the sedimentary models of coastal shallow-water deltas in coal-bearing strata are discussed, which clarifies the composition of subfacies such as the upper delta plain, lower delta plain, delta front, and prodelta, as well as the coal-accumulating characteristics of delta plains.
Significance As a crucial sedimentary system formed by the interaction of rivers and receiving water bodies (oceans or lakes), delta has become a research hotspot in sedimentology due to its unique depositional characteristics and resource potential. In particular, the discussion on the classification of delta types and the definition of shallow-water deltas has garnered significant attention. Progress This paper systematically reviews the research context of shallow-water deltas, focusing on the evolution of their definition and connotation. This includes multiple perspectives of definition based on basement subsidence rates, wave base, facies associations, and development settings. It summarizes research advances in sedimentary dynamic processes, morphological evolution and sandbody architecture, as well as controlling factors. The review reveals unique patterns of distributary channel activity and sandbody distribution under low-gradient and shallow-water hydrodynamic conditions. Conclusions and Prospects The limitations of existing delta classification schemes are comparatively analyzed. A four-type delta classification system is proposed, integrating basement subsidence rates, hydrodynamic conditions, and sedimentary settings. Four types of deltas include coastal shallow-water delta, coast-shelf deep-water delta, shelf-edge deep-water delta, and canyon deep-water delta. Meanwhile, the sedimentary models of coastal shallow-water deltas in coal-bearing strata are discussed, which clarifies the composition of subfacies such as the upper delta plain, lower delta plain, delta front, and prodelta, as well as the coal-accumulating characteristics of delta plains.
2025, 43(5): 1605-1624.
doi: 10.14027/j.issn.1000-0550.2025.036
Abstract:
Objective The Permian represents a critical period of tectonic-sedimentary transition in the northern Ordos Basin. A detailed characterization of its complex source-to-sink processes is essential for revealing multi-provenance differential supply patterns and paleogeographic evolution. Methods This study systematically analyzes provenance signals and sedimentary filling processes in the northern Ordos Basin using outcrop observations, well-logging data and detrital zircon U-Pb geochronology, aiming to clarify the paleogeographic framework constrained by source-to-sink systems and its implications for the closure of the Paleo-Asian Ocean. Results (1) Detrital zircon U-Pb ages reveal that the Alxa Block, Xing-Meng Orogenic Belt and the North China Craton contributed differently during the Permian, with marked east-west variations. The northern basin was divided by multidimensional scaling (MDS) into three provenance zones: Alxa; western Yinshan; and eastern Yinshan. (2) The Permian depositional systems evolved from tide-dominated deltas to braided-river deltas, with sediment thickness and sandbody distribution having a ‘thicker in the west and stronger in the north’ pattern. Provenance supply intensity is closely correlated to environmental changes. Enhanced lateral continuity of sandbodies in the Shanxi and Shihezi Formations reflects braided channel development associated with strong sediment supply. (3) Source-to-sink analysis indicates that (i) the Taiyuan Stage was dominated by proximal weak supply; (ii) the Shanxi Stage shows increased provenance mixing, which formed an east-west differentiated depositional pattern; and (iii) the Shihezi Stage shows that a significant uplift of the North China Craton basement led to dominant distal supply, with maximum sandbody thickness and spatial extent. Conclusions The inhomogeneity of the subduction/closure of the Paleo-Asian Ocean drove the ‘strong in the west and weak in the east’ differential uplift in the Xing’an-Mongolian Orogenic Belt and the ‘strong in the east and weak in the west’ basement of the North China Craton. This controlled the east-west differentiation pattern and evolution of the provenance in the northern part of the basin, indicated by mixed provenance in the west and cratonic basement in the east. The sedimentary system was transformed from a tide-dominated delta in the Taiyuan Stage marine-continental transitional environment to a continental braided river delta in the Shihezi Stage. Significance The established paleogeographic evolution model, based on source-to-sink processes, provides a dynamic coupling framework for understanding multi-provenance sedimentation responses and hydrocarbon exploration in large cratonic basins.
Objective The Permian represents a critical period of tectonic-sedimentary transition in the northern Ordos Basin. A detailed characterization of its complex source-to-sink processes is essential for revealing multi-provenance differential supply patterns and paleogeographic evolution. Methods This study systematically analyzes provenance signals and sedimentary filling processes in the northern Ordos Basin using outcrop observations, well-logging data and detrital zircon U-Pb geochronology, aiming to clarify the paleogeographic framework constrained by source-to-sink systems and its implications for the closure of the Paleo-Asian Ocean. Results (1) Detrital zircon U-Pb ages reveal that the Alxa Block, Xing-Meng Orogenic Belt and the North China Craton contributed differently during the Permian, with marked east-west variations. The northern basin was divided by multidimensional scaling (MDS) into three provenance zones: Alxa; western Yinshan; and eastern Yinshan. (2) The Permian depositional systems evolved from tide-dominated deltas to braided-river deltas, with sediment thickness and sandbody distribution having a ‘thicker in the west and stronger in the north’ pattern. Provenance supply intensity is closely correlated to environmental changes. Enhanced lateral continuity of sandbodies in the Shanxi and Shihezi Formations reflects braided channel development associated with strong sediment supply. (3) Source-to-sink analysis indicates that (i) the Taiyuan Stage was dominated by proximal weak supply; (ii) the Shanxi Stage shows increased provenance mixing, which formed an east-west differentiated depositional pattern; and (iii) the Shihezi Stage shows that a significant uplift of the North China Craton basement led to dominant distal supply, with maximum sandbody thickness and spatial extent. Conclusions The inhomogeneity of the subduction/closure of the Paleo-Asian Ocean drove the ‘strong in the west and weak in the east’ differential uplift in the Xing’an-Mongolian Orogenic Belt and the ‘strong in the east and weak in the west’ basement of the North China Craton. This controlled the east-west differentiation pattern and evolution of the provenance in the northern part of the basin, indicated by mixed provenance in the west and cratonic basement in the east. The sedimentary system was transformed from a tide-dominated delta in the Taiyuan Stage marine-continental transitional environment to a continental braided river delta in the Shihezi Stage. Significance The established paleogeographic evolution model, based on source-to-sink processes, provides a dynamic coupling framework for understanding multi-provenance sedimentation responses and hydrocarbon exploration in large cratonic basins.
2025, 43(5): 1625-1641.
doi: 10.14027/j.issn.1000-0550.2025.051
Abstract:
Significance Deepening the understanding of the transport evolution and depositional processes in sediment gravity flows is the best way to achieve the effective resolution of debates on terminology and to establish standard expressions describing sediment gravity flows. Progress The transformation between supercritical and subcritical turbidity currents is a key dynamic property of sediment gravity flows in relatively proximal depositional settings. Such transformation may occur either as a result of hydraulic jumps, or via self-organized evolution that is independent of hydraulic jumps. Flow dilution is constrained by gravity transformation or by surface transformation, either of which may determine the transition from high-concentration debris flows into low-concentration turbidity currents. Different transport and settling processes in debris flows and turbidity currents, along with the suppression of turbulence by mud content, are the primary driving mechanisms of the transformation of turbidity currents into muddy debris flows. Erosion of muddy substrates by a supercritical turbidity current increases mud content and transforms it into a muddy debris flow, and may also form hybrid-event beds. Transitional gravity flows are significant components of hybrid gravity flows. Flow efficiency in gravity flows is the core factor that determines the differences in transport evolution and in the deposition of sediment. Transformation between supercritical and subcritical turbidity currents primarily occurs in relatively proximal channelized hyperconcentrated density flows, and in gravelly, high-density turbidites, in the channel-lobe transition zone. The transformation of turbidity currents into muddy debris flows, on the other hand, mainly occurs in relatively distal, lobe-associated, sandy, high-density turbidites and deep-water, plain, low-density turbidites. Conclusions and Prospects Recent insights into the transport evolution and depositional processes of sediment gravity flows further enrich the perceptions of process sedimentology by providing a theoretical basis for rationally interpreting the origination of gravity flow sandbodies and similarly debated issues; further, they highlight the critical importance of outcrop sedimentological studies.
Significance Deepening the understanding of the transport evolution and depositional processes in sediment gravity flows is the best way to achieve the effective resolution of debates on terminology and to establish standard expressions describing sediment gravity flows. Progress The transformation between supercritical and subcritical turbidity currents is a key dynamic property of sediment gravity flows in relatively proximal depositional settings. Such transformation may occur either as a result of hydraulic jumps, or via self-organized evolution that is independent of hydraulic jumps. Flow dilution is constrained by gravity transformation or by surface transformation, either of which may determine the transition from high-concentration debris flows into low-concentration turbidity currents. Different transport and settling processes in debris flows and turbidity currents, along with the suppression of turbulence by mud content, are the primary driving mechanisms of the transformation of turbidity currents into muddy debris flows. Erosion of muddy substrates by a supercritical turbidity current increases mud content and transforms it into a muddy debris flow, and may also form hybrid-event beds. Transitional gravity flows are significant components of hybrid gravity flows. Flow efficiency in gravity flows is the core factor that determines the differences in transport evolution and in the deposition of sediment. Transformation between supercritical and subcritical turbidity currents primarily occurs in relatively proximal channelized hyperconcentrated density flows, and in gravelly, high-density turbidites, in the channel-lobe transition zone. The transformation of turbidity currents into muddy debris flows, on the other hand, mainly occurs in relatively distal, lobe-associated, sandy, high-density turbidites and deep-water, plain, low-density turbidites. Conclusions and Prospects Recent insights into the transport evolution and depositional processes of sediment gravity flows further enrich the perceptions of process sedimentology by providing a theoretical basis for rationally interpreting the origination of gravity flow sandbodies and similarly debated issues; further, they highlight the critical importance of outcrop sedimentological studies.
2025, 43(5): 1642-1664.
doi: 10.14027/j.issn.1000-0550.2025.038
Abstract:
Objective The shoal carbonate facies are of particular interests in the petroleum industry due to their potential high porosity. This paper intends to discuss whether the intraplatform shoals could be developed or not in the context of the restricted, low-energy hydrodynamic condition within platforms. Methods This study initially reviews the hydrodynamic conditions and facies zonation within modern platform interiors of different types, then examines the depositional environments/facies of Lower Paleozoic intraplatform grainstones in the Tarim Basin, and finally discuss the artificial pitfall created likely by resetting of vertically-stacked, but laterallys-offset marginal shoal facies developed in different time intervals as the intraplatform shoals within a low-resolution time framework when performing paleogeographic reconstruction. [Results and Conclusions] (1) The positive seafloor reliefs of platform margins (whether rimmed margins or ramp margins) are acted as the main barriers upon which the platformward propagation of open marine wave currents was mostly blocked by the seafloor friction and subsequent wave surge and breaking, leading to an overall restricted low-energy condition in the back-shore platform interior. In this case, the positive reliefs within lagoons tends to result in island-like tidal flats (or tidal islands) rather than sandy shoals. (2) Grainstones, or even conglomerates present in platform interior successions are potentially deposited in two depositional environments: (a) in relatively large, deep back-shoal restricted lagoons, strong storm-induced density flows are transported downdip below the storm wave base, resulting in sheet- or fan-shaped grainy tempestite beds dominated by well-sorted peloids with preserved hummocky and/or swaley cross stratification and /or graded bedding; (b) in the branching tidal channels/creeks that cut into the tidal flat, laying down intraclastic gravels or sands derived from surrounding microbial mats along the channel levees. thereby forming channelized microbial grainstone/conglomerate bodies with laterally or bidirectionally inclined bedding and local lag pebble deposits. (3) When reconstructing lithofacies paleogeography within a low-resolution time framework, an intraplatform shoal pattern could be artificially created by resetting the vertically-stacked and laterally-offset marginal shoals of different time intervals into the platform interior regime, if ignoring facies diachronicity, i.e., in different parasequence sets (or systems tracts). Therefore, cautions should be paid to facies analysis on the grainy deposits of platform interior successions on the basis of sound scientific knowledge and solid observations, otherwise misleading interpretations would result in misunderstanding for the real facies patterns.
Objective The shoal carbonate facies are of particular interests in the petroleum industry due to their potential high porosity. This paper intends to discuss whether the intraplatform shoals could be developed or not in the context of the restricted, low-energy hydrodynamic condition within platforms. Methods This study initially reviews the hydrodynamic conditions and facies zonation within modern platform interiors of different types, then examines the depositional environments/facies of Lower Paleozoic intraplatform grainstones in the Tarim Basin, and finally discuss the artificial pitfall created likely by resetting of vertically-stacked, but laterallys-offset marginal shoal facies developed in different time intervals as the intraplatform shoals within a low-resolution time framework when performing paleogeographic reconstruction. [Results and Conclusions] (1) The positive seafloor reliefs of platform margins (whether rimmed margins or ramp margins) are acted as the main barriers upon which the platformward propagation of open marine wave currents was mostly blocked by the seafloor friction and subsequent wave surge and breaking, leading to an overall restricted low-energy condition in the back-shore platform interior. In this case, the positive reliefs within lagoons tends to result in island-like tidal flats (or tidal islands) rather than sandy shoals. (2) Grainstones, or even conglomerates present in platform interior successions are potentially deposited in two depositional environments: (a) in relatively large, deep back-shoal restricted lagoons, strong storm-induced density flows are transported downdip below the storm wave base, resulting in sheet- or fan-shaped grainy tempestite beds dominated by well-sorted peloids with preserved hummocky and/or swaley cross stratification and /or graded bedding; (b) in the branching tidal channels/creeks that cut into the tidal flat, laying down intraclastic gravels or sands derived from surrounding microbial mats along the channel levees. thereby forming channelized microbial grainstone/conglomerate bodies with laterally or bidirectionally inclined bedding and local lag pebble deposits. (3) When reconstructing lithofacies paleogeography within a low-resolution time framework, an intraplatform shoal pattern could be artificially created by resetting the vertically-stacked and laterally-offset marginal shoals of different time intervals into the platform interior regime, if ignoring facies diachronicity, i.e., in different parasequence sets (or systems tracts). Therefore, cautions should be paid to facies analysis on the grainy deposits of platform interior successions on the basis of sound scientific knowledge and solid observations, otherwise misleading interpretations would result in misunderstanding for the real facies patterns.
2025, 43(5): 1665-1678.
doi: 10.14027/j.issn.1000-0550.2025.055
Abstract:
Objective The Devonian Ganxi Formation in the Longmenshan area developed abundant storm deposition records, making it is an excellent location for studying the characteristics of paleo-storm deposition, but there is a lack of systematic research on the changing trend of high-frequency storm deposition, particularly on the possible genesis mechanism of deep-time paleo-storm development. Methods In this study, two field profiles, Anlecun and Yingzuiyan, in Ganxi village, Guixi town, Beichuan Qiang Autonomous County, Longmenshan area, which are well exposed in the Ganxi Formation, were selected for identifying and describing in detail the characteristics of high-frequency storm deposition developed within the sections. Storm frequency and abundance curves reflecting the frequency and intensity of changes in storm activities were established to analyze the changing pattern of storm deposition intensity. Results (1) Two types of storm depositional signatures were developed in the Devonian Ganxi Formation in the Longmenshan area: storm depositional structures and biological shell enrichment layers, with the former including storm erosion structures and wave structures, and the latter including three types: storm-wave scouring and transporting, storm and bumping, and opportunistic species explosion. (2) Spectral analysis of storm abundance curves suggests that the 100-kyr eccentricity cycle was developed in the storm deposits of the Devonian Ganxi Formation in the Longmenshan area. Conclusions (1) The 100-kyr eccentricity cycle is the main orbital cycle that caused climate variations and changes in storm frequency and intensity in the Devonian Ganxi Formation. (2) Storm activities were controlled by a short eccentricity cycle of 100 kyr, and the amount of sunshine brought by the high eccentricity promoted the movement of the Intertropical Convergence Zone (ITCZ), affecting the monsoon circulation and precipitation changes. The Longmenshan area, which was located on the South China Plate, was in the path of the ITCZ during the Devonian, and the heat and evaporation of seawater provided by warming during the period of high eccentricity also promoted the formation of tropical cyclones, which in turn contributed to the occurrence of storms at a high frequency.
Objective The Devonian Ganxi Formation in the Longmenshan area developed abundant storm deposition records, making it is an excellent location for studying the characteristics of paleo-storm deposition, but there is a lack of systematic research on the changing trend of high-frequency storm deposition, particularly on the possible genesis mechanism of deep-time paleo-storm development. Methods In this study, two field profiles, Anlecun and Yingzuiyan, in Ganxi village, Guixi town, Beichuan Qiang Autonomous County, Longmenshan area, which are well exposed in the Ganxi Formation, were selected for identifying and describing in detail the characteristics of high-frequency storm deposition developed within the sections. Storm frequency and abundance curves reflecting the frequency and intensity of changes in storm activities were established to analyze the changing pattern of storm deposition intensity. Results (1) Two types of storm depositional signatures were developed in the Devonian Ganxi Formation in the Longmenshan area: storm depositional structures and biological shell enrichment layers, with the former including storm erosion structures and wave structures, and the latter including three types: storm-wave scouring and transporting, storm and bumping, and opportunistic species explosion. (2) Spectral analysis of storm abundance curves suggests that the 100-kyr eccentricity cycle was developed in the storm deposits of the Devonian Ganxi Formation in the Longmenshan area. Conclusions (1) The 100-kyr eccentricity cycle is the main orbital cycle that caused climate variations and changes in storm frequency and intensity in the Devonian Ganxi Formation. (2) Storm activities were controlled by a short eccentricity cycle of 100 kyr, and the amount of sunshine brought by the high eccentricity promoted the movement of the Intertropical Convergence Zone (ITCZ), affecting the monsoon circulation and precipitation changes. The Longmenshan area, which was located on the South China Plate, was in the path of the ITCZ during the Devonian, and the heat and evaporation of seawater provided by warming during the period of high eccentricity also promoted the formation of tropical cyclones, which in turn contributed to the occurrence of storms at a high frequency.
2025, 43(5): 1679-1696.
doi: 10.14027/j.issn.1000-0550.2025.044
Abstract:
Objective Pore fluids, particularly saline pore fluids, are widespread in sedimentary basins; however, their characteristics undergo substantial changes throughout the burial process. Such change has a significant influence on the formation and modification of deep to ultra-deep petroleum reservoirs; thus, determining the variations of saline pore fluids during burial can help identify the formation mechanisms of these reservoirs. Methods The Deng-ying Formation of the central Sichuan paleo-uplift was studied. By integrating the δ13C, δ18O, 87Sr/86Sr, clumped isotopes, and U-Pb age data of the main products formed by saline fluid activity, the genesis of these products, their fluid-charging sequences, and the influence of saline fluid activity on reservoir development were investigated. Results The results show that the Dengying Formation was characterized by the development of five product types associated with saline fluid activity: matrix dolomite (D1), fibrous or micrite to very fine-crystalline dolomite rim (D2), leaf or fine-crystalline dolomite (D3), medium to coarse crystalline dolomite (D4), and saddle or mega-crystalline dolomite (D5). These five types of dolomite display differences in δ13C, δ18O, 87Sr/86Sr, T(Δ47), and U-Pb ages, corresponding to five phases of saline diagenetic fluid activity. Conclusions A comprehensive investigation shows that the general diagenetic sequence of these dolomite is as follows: (1) D1 formed by seawater dolomitization, (2) D2 generated by the reflux dolomitization of (evaporated) seawater, (3) D3 originated via the dissolution of early-formed D1 and D2 followed by reprecipitation, (4) D4 precipitated from the mixing of formation waters and hydrothermal fluids, and (5) D5 formed from by the influx of deep-sourced 87Sr-rich hydrothermal fluids. Early-stage saline diagenetic fluid activity (i.e., 1st and 2ed stages) enhances the ability of reservoir rocks to resist physicochemical compaction, favoring reservoir formation; conversely, late-stage saline diagenetic fluid activity (i.e., the later three stages) degrades petrophysical properties by precipitating abundant dolomite cements within void spaces. Therefore, saline diagenetic fluid activity controls the evolution of reservoirs through two-phase differential diagenesis. These findings may provide guidance for the petroleum exploration in deep to ultra-deep carbonate formations.
Objective Pore fluids, particularly saline pore fluids, are widespread in sedimentary basins; however, their characteristics undergo substantial changes throughout the burial process. Such change has a significant influence on the formation and modification of deep to ultra-deep petroleum reservoirs; thus, determining the variations of saline pore fluids during burial can help identify the formation mechanisms of these reservoirs. Methods The Deng-ying Formation of the central Sichuan paleo-uplift was studied. By integrating the δ13C, δ18O, 87Sr/86Sr, clumped isotopes, and U-Pb age data of the main products formed by saline fluid activity, the genesis of these products, their fluid-charging sequences, and the influence of saline fluid activity on reservoir development were investigated. Results The results show that the Dengying Formation was characterized by the development of five product types associated with saline fluid activity: matrix dolomite (D1), fibrous or micrite to very fine-crystalline dolomite rim (D2), leaf or fine-crystalline dolomite (D3), medium to coarse crystalline dolomite (D4), and saddle or mega-crystalline dolomite (D5). These five types of dolomite display differences in δ13C, δ18O, 87Sr/86Sr, T(Δ47), and U-Pb ages, corresponding to five phases of saline diagenetic fluid activity. Conclusions A comprehensive investigation shows that the general diagenetic sequence of these dolomite is as follows: (1) D1 formed by seawater dolomitization, (2) D2 generated by the reflux dolomitization of (evaporated) seawater, (3) D3 originated via the dissolution of early-formed D1 and D2 followed by reprecipitation, (4) D4 precipitated from the mixing of formation waters and hydrothermal fluids, and (5) D5 formed from by the influx of deep-sourced 87Sr-rich hydrothermal fluids. Early-stage saline diagenetic fluid activity (i.e., 1st and 2ed stages) enhances the ability of reservoir rocks to resist physicochemical compaction, favoring reservoir formation; conversely, late-stage saline diagenetic fluid activity (i.e., the later three stages) degrades petrophysical properties by precipitating abundant dolomite cements within void spaces. Therefore, saline diagenetic fluid activity controls the evolution of reservoirs through two-phase differential diagenesis. These findings may provide guidance for the petroleum exploration in deep to ultra-deep carbonate formations.
2025, 43(5): 1697-1715.
doi: 10.14027/j.issn.1000-0550.2025.034
Abstract:
Objective The Upper Triassic Xujiahe Formation in the Sichuan Basin contains abundant tight sandstone gas resources, but its multi-provenance background has resulted in complex, diverse sandstone compositions. This study focuses on members T3x² and T3x⁴ of the Xujiahe Formation, investigating the rock fabric, reservoir properties and pore formation mechanisms of high-quality reservoirs as influenced by a range of provenances, as well as the formation mechanisms of such reservoirs due to differences in their diagenetic evolution. The findings aim to provide a basis for exploring the gas potential of the tight sandstone in the Xujiahe Formation and to provide general insights for hydrocarbon exploration of tight sandstone sequences with similar multi-provenance settings. Methods Primarily analytical methods were utilized in the study (thin-section petrography, physical property testing, scanning electron microscopy (SEM), electron probe microanalysis (EPMA), cathodoluminescence, X-ray diffraction (XRD) and Raman spectroscopy) to clarify the pore formation mechanisms and different diagenetic evolution of the tight sandstones in the study area. Results (1) Provenance variation has significantly influenced sandstone composition and the associated evolution of pores and diagenetic pathways. Feldspar-poor sandstones have developed in near-source areas (e.g., the Western Sichuan Depression and northern Sichuan), resulting in fracture-pore composite systems; distal mixed-provenance regions (e.g., central and southern Sichuan) feature porosity-dominated reservoirs with a feldspar-rich matrix. (2) Highly rigid clasts with early-stage chlorite coatings inhibit compaction and partial cementation, preserving primary intergranular pores in deeply buried (5 000 m) sandstones. (3) Organic acid dissolution, leaching by meteoric water and fracture-related deep-fluid dissolution are key drivers of secondary porosity, but with distinct spatiotemporal distribution. Conclusions The interplay of provenance-driven rock fabric differences, burial/uplift history, fracture development and fluid-rock reactions has shaped the present reservoir heterogeneity in Xujiahe Formation sandstones.
Objective The Upper Triassic Xujiahe Formation in the Sichuan Basin contains abundant tight sandstone gas resources, but its multi-provenance background has resulted in complex, diverse sandstone compositions. This study focuses on members T3x² and T3x⁴ of the Xujiahe Formation, investigating the rock fabric, reservoir properties and pore formation mechanisms of high-quality reservoirs as influenced by a range of provenances, as well as the formation mechanisms of such reservoirs due to differences in their diagenetic evolution. The findings aim to provide a basis for exploring the gas potential of the tight sandstone in the Xujiahe Formation and to provide general insights for hydrocarbon exploration of tight sandstone sequences with similar multi-provenance settings. Methods Primarily analytical methods were utilized in the study (thin-section petrography, physical property testing, scanning electron microscopy (SEM), electron probe microanalysis (EPMA), cathodoluminescence, X-ray diffraction (XRD) and Raman spectroscopy) to clarify the pore formation mechanisms and different diagenetic evolution of the tight sandstones in the study area. Results (1) Provenance variation has significantly influenced sandstone composition and the associated evolution of pores and diagenetic pathways. Feldspar-poor sandstones have developed in near-source areas (e.g., the Western Sichuan Depression and northern Sichuan), resulting in fracture-pore composite systems; distal mixed-provenance regions (e.g., central and southern Sichuan) feature porosity-dominated reservoirs with a feldspar-rich matrix. (2) Highly rigid clasts with early-stage chlorite coatings inhibit compaction and partial cementation, preserving primary intergranular pores in deeply buried (5 000 m) sandstones. (3) Organic acid dissolution, leaching by meteoric water and fracture-related deep-fluid dissolution are key drivers of secondary porosity, but with distinct spatiotemporal distribution. Conclusions The interplay of provenance-driven rock fabric differences, burial/uplift history, fracture development and fluid-rock reactions has shaped the present reservoir heterogeneity in Xujiahe Formation sandstones.
2025, 43(5): 1716-1727.
doi: 10.14027/j.issn.1000-0550.2025.005
Abstract:
Objective This study of the shale sequences of the upper subsection of the Sha 4 member of the Shahejie Formation was conducted to identify the astronomical cycles recorded in the study area, and to summarize the effect of orbital eccentricity on shale sedimentation and lithofacies association development. Methods Lithofacies associations were delineated by detailed core observation and experimental testing of core sections from particular wells and by considering sedimentary paleoenvironments. GR logging curves were used as surrogate indicators for data preprocessing, spectral analysis, filtering and tuning analysis. Results Interbedded combinations of laminated carbonate shale and calcareous mudstone are most developed, along with their lithofacies associations. The eccentricity, obliquity and precession of the Earth’s planetary orbital cycles control climatic cycles and determine the extent of cyclic shale sedimentation, producing a significant regulating effect on lithofacies associations. A single long eccentricity corresponds to a specific lithofacies association. Conclusions Increases in the orbital eccentricity of the Earth lead to enhanced seasonality and more summer precipitation, favoring the deposition of long-chain minerals. The main lithofacies during that time comprise interbedded laminated carbonate shale and calcareous mudstone. When the orbital eccentricity of the Earth decreases, seasonality weakens and summer precipitation is reduced. At this point, the shale composition becomes enriched with carbonate minerals, and the main resulting lithofacies association is a combination of laminated carbonate shale interbedded with calcareous mixed mudstone. The findings of this study provide important guidance for detailed prediction and evaluation of shale oil sweet spots.
Objective This study of the shale sequences of the upper subsection of the Sha 4 member of the Shahejie Formation was conducted to identify the astronomical cycles recorded in the study area, and to summarize the effect of orbital eccentricity on shale sedimentation and lithofacies association development. Methods Lithofacies associations were delineated by detailed core observation and experimental testing of core sections from particular wells and by considering sedimentary paleoenvironments. GR logging curves were used as surrogate indicators for data preprocessing, spectral analysis, filtering and tuning analysis. Results Interbedded combinations of laminated carbonate shale and calcareous mudstone are most developed, along with their lithofacies associations. The eccentricity, obliquity and precession of the Earth’s planetary orbital cycles control climatic cycles and determine the extent of cyclic shale sedimentation, producing a significant regulating effect on lithofacies associations. A single long eccentricity corresponds to a specific lithofacies association. Conclusions Increases in the orbital eccentricity of the Earth lead to enhanced seasonality and more summer precipitation, favoring the deposition of long-chain minerals. The main lithofacies during that time comprise interbedded laminated carbonate shale and calcareous mudstone. When the orbital eccentricity of the Earth decreases, seasonality weakens and summer precipitation is reduced. At this point, the shale composition becomes enriched with carbonate minerals, and the main resulting lithofacies association is a combination of laminated carbonate shale interbedded with calcareous mixed mudstone. The findings of this study provide important guidance for detailed prediction and evaluation of shale oil sweet spots.
2025, 43(5): 1728-1742.
doi: 10.14027/j.issn.1000-0550.2025.014
Abstract:
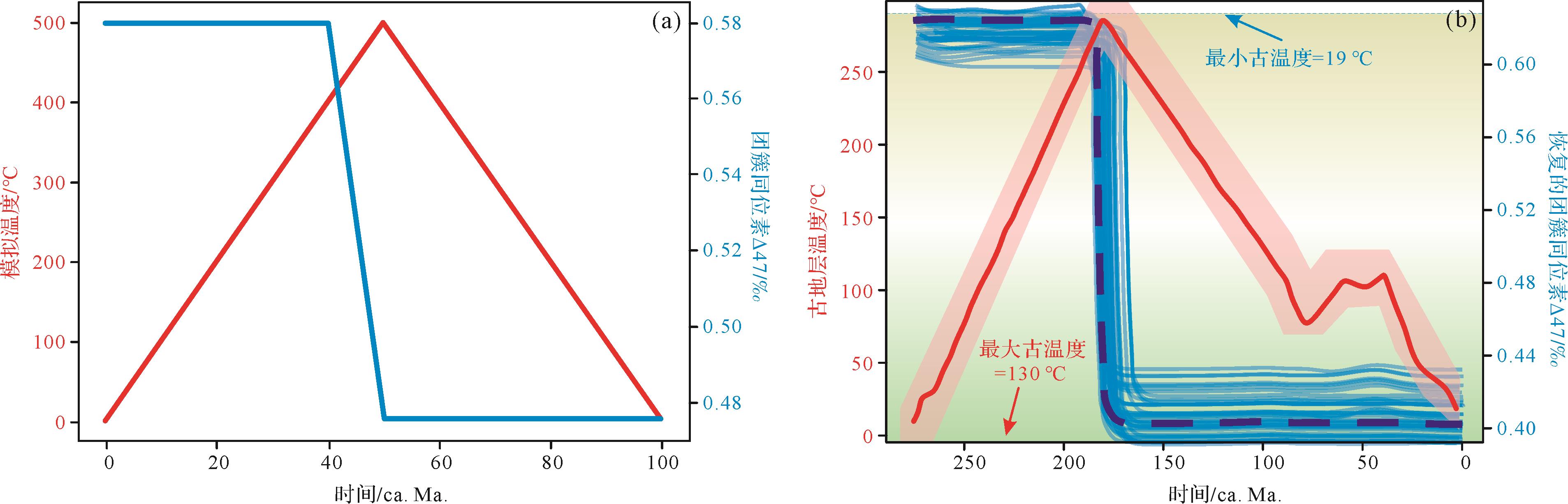
Objective The Late Paleozoic Mississippian-Early Permian witnessed the development of the largest Phanerozoic global glacial event (late Paleozoic ice age, LPIA). During the Middle Permian, significant global climatic evolution occurred, yet the impact of this transition on the First member of the Maokou Formation (Mao-1 member) of the Sichuan Basin remains unclear. Methods Through integrated methodologies including field measurement of outcrop sections, core observation, thin section petrography, major-trace element geochemistry, micro-area carbon-oxygen isotope analysis, and clumped isotope thermometry, this study aims to reconstruct the palaeotemperature conditions of the Mao-1 member in the Sichuan Basin, while systematically investigating the depositional charac-teristics and sedimentary model of cool-water carbonate systems. Results The Mao-1 member primarily consists of gray-black mudstone-marly limestone-rhythmic layers, macroscopically exhibiting an “eye-eyelid-like” structure with a four-segment sedimentary architecture. The rock texture is predominantly micritic-supported, lacking early cements and intraclasts. The fossil assemblage is dominated by heterotrophic organisms such as bivalves, brachiopods, bryozoans and calcareous algae. Paleotemperatures reconstructed from biogenic shells, whole-rock δ18O values and Mg/Ca ratios yield T1 ranging from 7.07 °C to 11.84 °C, T2 from 13.84 °C to 14.15 °C, and T3 from 8.02 °C to 12.88 °C, while clumped isotope (Δ47) modeling indicates a paleotemperature of 19 °C, with temperatures showing a fluctuating upward trend across the four-segment structure. Rare earth elements exhibit widespread negative δEu anomalies, correlating well with global glacial events and displaying synergistic variation with paleotemperature, collectively indicating a cool-water depositional environment during this period. Conclusions The interplay of global paleoclimatic changes and the regional “two platforms and one sag” sedimentary framework within the Mao-1 member cool-water deposits jointly governs variations in fabric, paleotemperature, fossil assemblages and mineral content. The intracratonic depression exhibits high clay mineral content, well-developed mudstone-argillaceous limestone-limestone rhythmic layers, and abundant benthic foraminifera and shelly fauna.
Objective The Late Paleozoic Mississippian-Early Permian witnessed the development of the largest Phanerozoic global glacial event (late Paleozoic ice age, LPIA). During the Middle Permian, significant global climatic evolution occurred, yet the impact of this transition on the First member of the Maokou Formation (Mao-1 member) of the Sichuan Basin remains unclear. Methods Through integrated methodologies including field measurement of outcrop sections, core observation, thin section petrography, major-trace element geochemistry, micro-area carbon-oxygen isotope analysis, and clumped isotope thermometry, this study aims to reconstruct the palaeotemperature conditions of the Mao-1 member in the Sichuan Basin, while systematically investigating the depositional charac-teristics and sedimentary model of cool-water carbonate systems. Results The Mao-1 member primarily consists of gray-black mudstone-marly limestone-rhythmic layers, macroscopically exhibiting an “eye-eyelid-like” structure with a four-segment sedimentary architecture. The rock texture is predominantly micritic-supported, lacking early cements and intraclasts. The fossil assemblage is dominated by heterotrophic organisms such as bivalves, brachiopods, bryozoans and calcareous algae. Paleotemperatures reconstructed from biogenic shells, whole-rock δ18O values and Mg/Ca ratios yield T1 ranging from 7.07 °C to 11.84 °C, T2 from 13.84 °C to 14.15 °C, and T3 from 8.02 °C to 12.88 °C, while clumped isotope (Δ47) modeling indicates a paleotemperature of 19 °C, with temperatures showing a fluctuating upward trend across the four-segment structure. Rare earth elements exhibit widespread negative δEu anomalies, correlating well with global glacial events and displaying synergistic variation with paleotemperature, collectively indicating a cool-water depositional environment during this period. Conclusions The interplay of global paleoclimatic changes and the regional “two platforms and one sag” sedimentary framework within the Mao-1 member cool-water deposits jointly governs variations in fabric, paleotemperature, fossil assemblages and mineral content. The intracratonic depression exhibits high clay mineral content, well-developed mudstone-argillaceous limestone-limestone rhythmic layers, and abundant benthic foraminifera and shelly fauna.
2025, 43(5): 1743-1757.
doi: 10.14027/j.issn.1000-0550.2025.026
Abstract:
Objective The change in carbon isotope value of modern terrestrial plant leaves (δ13C modern plants) is controlled by atmospheric carbon dioxide (CO2) concentration, atmospheric CO2 isotopic composition (δ13CCO2), continental surface temperature, and precipitation, and the mathematical relationship has been established between δ13Cmodern plants and those climatic environmental elements, rendering an importance reference for the quantitative reconstruction of paleoclimate change using the carbon isotopic composition (δ13Cancient plants) of ancient plant leaves. Currently, owing to scare analytical δ13Cancient plants data and intermittent dispersion of paleoplant fossil-producing horizons in stratigraphic sections, establishing a continuous change curve of δ13Cancient plants with depth or time is difficult, and the change of temperature and pressure in diagenetic burial process may disturb the carbon isotope value of ancient plant leaves. The compound-specific carbon isotope (δ13C n-alkane) of long-chain high carbon number normal alkane (n-alkane) from terrestrial woody and herbaceous plant leaf blades records the change process of leaves from ancient terrestrial plants (δ¹³C nC27-nC29-nC31 average values). Methods Fourteen samples of Jurassic and Paleogene plant fossils, including leaves and stems, were collected from the Qaidam Basin. The carbon isotopic composition of n-alkanes was measured simultaneously in both the fossilized plants and their surrounding rock matrix. Results The carbon isotopic composition of n-alkanes (nC27, nC29, and nC31) derived from ancient plant leaves is approximately -5.0‰ more negative than the isotopic composition of the plant fossil leaves themselves. The δ¹³C nC27-nC29-nC31 average values of the Jurassic Daheigou Formation swamp-phase black mudstone interbedded with coal seams is -5.3‰ more negative than the bulk organic carbon isotope value (δ¹³CTOC) of the whole rock organic matter. Moreover, in the Paleogene Xiaganchaigou Formation, the δ¹³C nC27-nC29-nC31 average values of black mudstone associated with evaporites of the saline lake phase is -5.1‰ more negative than the kerogen carbon isotope (δ¹³Ckerogen). Conclusions In consideration of certain sapropelic components in the whole rock organic matter, as well as the carbon isotope difference among vitrinite, inertinite, and exinite in kerogen, the carbon isotopes of ancient plant leaves during the geological historical period could be determined through a simplified calculation as per the following formula, namely δ13Cancient plants=δ13C nC27-nC29-nC31+5.0‰. Well Shi-68 from Yingxi area of Qaidam Basin is taken as an example to probe into the error change of continental strata whole rock organic matter and kerogen with ancient plant leaf carbon isotopes and calculated n-alkanes.
Objective The change in carbon isotope value of modern terrestrial plant leaves (δ13C modern plants) is controlled by atmospheric carbon dioxide (CO2) concentration, atmospheric CO2 isotopic composition (δ13CCO2), continental surface temperature, and precipitation, and the mathematical relationship has been established between δ13Cmodern plants and those climatic environmental elements, rendering an importance reference for the quantitative reconstruction of paleoclimate change using the carbon isotopic composition (δ13Cancient plants) of ancient plant leaves. Currently, owing to scare analytical δ13Cancient plants data and intermittent dispersion of paleoplant fossil-producing horizons in stratigraphic sections, establishing a continuous change curve of δ13Cancient plants with depth or time is difficult, and the change of temperature and pressure in diagenetic burial process may disturb the carbon isotope value of ancient plant leaves. The compound-specific carbon isotope (δ13C n-alkane) of long-chain high carbon number normal alkane (n-alkane) from terrestrial woody and herbaceous plant leaf blades records the change process of leaves from ancient terrestrial plants (δ¹³C nC27-nC29-nC31 average values). Methods Fourteen samples of Jurassic and Paleogene plant fossils, including leaves and stems, were collected from the Qaidam Basin. The carbon isotopic composition of n-alkanes was measured simultaneously in both the fossilized plants and their surrounding rock matrix. Results The carbon isotopic composition of n-alkanes (nC27, nC29, and nC31) derived from ancient plant leaves is approximately -5.0‰ more negative than the isotopic composition of the plant fossil leaves themselves. The δ¹³C nC27-nC29-nC31 average values of the Jurassic Daheigou Formation swamp-phase black mudstone interbedded with coal seams is -5.3‰ more negative than the bulk organic carbon isotope value (δ¹³CTOC) of the whole rock organic matter. Moreover, in the Paleogene Xiaganchaigou Formation, the δ¹³C nC27-nC29-nC31 average values of black mudstone associated with evaporites of the saline lake phase is -5.1‰ more negative than the kerogen carbon isotope (δ¹³Ckerogen). Conclusions In consideration of certain sapropelic components in the whole rock organic matter, as well as the carbon isotope difference among vitrinite, inertinite, and exinite in kerogen, the carbon isotopes of ancient plant leaves during the geological historical period could be determined through a simplified calculation as per the following formula, namely δ13Cancient plants=δ13C nC27-nC29-nC31+5.0‰. Well Shi-68 from Yingxi area of Qaidam Basin is taken as an example to probe into the error change of continental strata whole rock organic matter and kerogen with ancient plant leaf carbon isotopes and calculated n-alkanes.
2025, 43(5): 1758-1779.
doi: 10.14027/j.issn.1000-0550.2025.029
Abstract:
Significance Salinity is a fundamental physical parameter of seawater. Variations in salinity lead to changes in seawater density, dissolved oxygen content, saturation vapor pressure and osmotic pressure, all of which have profound implications for ecosystem diversity and ocean circulation patterns. Consequently, the reconstruction of paleosalinity is crucial for understanding geological environments and the biological evolution process. Progress This study begins with an overview of the development of salinity definitions, followed by an introduction of the significance of salinity in geological environments and biological evolution. It then focuses on a critical review of various paleosalinity proxies, including their establishment processes and applicability. Conclusions and Prospects Present paleosalinity indicators are mainly indirect, since they are influenced by numerous parameters apart from salinity itself (e.g., growth rates, temperature, light intensity and species differences). The empirical thresholds used to infer salinity environments also vary regionally, and their accuracy is further affected by the amount of available statistical data. Therefore, this study demonstrates that while present-day paleosalinity proxies are helpful for qualitative assessment of depositional environments, they remain inadequate for providing quantitative salinity values. We propose that inorganic carbonate-associated sodium (Na) or chlorine (Cl) have the potential to serve as direct, quantitative paleosalinity proxies, and that such novel proxies would significantly improve the precision of depositional environment interpretation and advance our understanding of ancient seawater salinity evolution.
Significance Salinity is a fundamental physical parameter of seawater. Variations in salinity lead to changes in seawater density, dissolved oxygen content, saturation vapor pressure and osmotic pressure, all of which have profound implications for ecosystem diversity and ocean circulation patterns. Consequently, the reconstruction of paleosalinity is crucial for understanding geological environments and the biological evolution process. Progress This study begins with an overview of the development of salinity definitions, followed by an introduction of the significance of salinity in geological environments and biological evolution. It then focuses on a critical review of various paleosalinity proxies, including their establishment processes and applicability. Conclusions and Prospects Present paleosalinity indicators are mainly indirect, since they are influenced by numerous parameters apart from salinity itself (e.g., growth rates, temperature, light intensity and species differences). The empirical thresholds used to infer salinity environments also vary regionally, and their accuracy is further affected by the amount of available statistical data. Therefore, this study demonstrates that while present-day paleosalinity proxies are helpful for qualitative assessment of depositional environments, they remain inadequate for providing quantitative salinity values. We propose that inorganic carbonate-associated sodium (Na) or chlorine (Cl) have the potential to serve as direct, quantitative paleosalinity proxies, and that such novel proxies would significantly improve the precision of depositional environment interpretation and advance our understanding of ancient seawater salinity evolution.
2025, 43(5): 1780-1795.
doi: 10.14027/j.issn.1000-0550.2025.045
Abstract:
Objective The Chengdu Plain is one of the major birthplaces of Chinese civilization. Reconstructing the environmental evolution of this region during the Mid-to-Late Holocene is crucial to understand the environmental context of prehistoric cultural development in the upper reaches of the Yangtze River and to explore the relationship between global climate change and the sustainable development of human societies. The phased characteristics of Mid-to-Late Holocene climate evolution in the Chengdu Plain and its potential response to the “4.2 ka” climatic event remains controversial. Methods This study established a chronological framework based on the AMS 14C dating of core RS-1. Grain size end-member modeling, combined with magnetic susceptibility and colorimetric parameters, was employed to reconstruct the sedimentary environmental evolution of the Chengdu Plain during the Mid-to-Late Holocene. Results Five end-member components were extracted from the grain-size data, each reflecting sedimentary characteristics under different hydrodynamic conditions. EM1 represents stable sedimentation formed by distal fluvial suspended load under weak hydrodynamic conditions. EM2 and EM3 correspond to components deposited under stronger hydrodynamic forces, with EM3 reflecting higher transport energy. EM4 and EM5 indicate coarse-grained traction deposits associated with flood events. Conclusions The environmental evolution of the Chengdu Plain during the Mid-to-Late Holocene can be divided into four stages: (1) 4.7-4.4 cal ka B.P., characterized by a humid climate with pronounced wet-dry fluctuations; (2) 4.4-4.2 cal ka B.P., marked by a transition to slightly cooler and drier conditions, although remaining humid, overall; (3) 4.2-3.7 cal ka B.P., a period of pronounced climatic instability with frequent flood events; and (4) post-3.7 cal ka B.P., during which the climate gradually became more arid. This “dry-humid-dry” climatic pattern indicates a significant regional response to the “4.2 ka event,” with hydroclimatic changes in the area beginning at approximately 4.4 cal ka B.P. and persisting until approximately 3.7 cal ka B.P..
Objective The Chengdu Plain is one of the major birthplaces of Chinese civilization. Reconstructing the environmental evolution of this region during the Mid-to-Late Holocene is crucial to understand the environmental context of prehistoric cultural development in the upper reaches of the Yangtze River and to explore the relationship between global climate change and the sustainable development of human societies. The phased characteristics of Mid-to-Late Holocene climate evolution in the Chengdu Plain and its potential response to the “4.2 ka” climatic event remains controversial. Methods This study established a chronological framework based on the AMS 14C dating of core RS-1. Grain size end-member modeling, combined with magnetic susceptibility and colorimetric parameters, was employed to reconstruct the sedimentary environmental evolution of the Chengdu Plain during the Mid-to-Late Holocene. Results Five end-member components were extracted from the grain-size data, each reflecting sedimentary characteristics under different hydrodynamic conditions. EM1 represents stable sedimentation formed by distal fluvial suspended load under weak hydrodynamic conditions. EM2 and EM3 correspond to components deposited under stronger hydrodynamic forces, with EM3 reflecting higher transport energy. EM4 and EM5 indicate coarse-grained traction deposits associated with flood events. Conclusions The environmental evolution of the Chengdu Plain during the Mid-to-Late Holocene can be divided into four stages: (1) 4.7-4.4 cal ka B.P., characterized by a humid climate with pronounced wet-dry fluctuations; (2) 4.4-4.2 cal ka B.P., marked by a transition to slightly cooler and drier conditions, although remaining humid, overall; (3) 4.2-3.7 cal ka B.P., a period of pronounced climatic instability with frequent flood events; and (4) post-3.7 cal ka B.P., during which the climate gradually became more arid. This “dry-humid-dry” climatic pattern indicates a significant regional response to the “4.2 ka event,” with hydroclimatic changes in the area beginning at approximately 4.4 cal ka B.P. and persisting until approximately 3.7 cal ka B.P..
2025, 43(5): 1796-1813.
doi: 10.14027/j.issn.1000-0550.2025.048
Abstract:
Objective The early Cambrian period represents a significant epoch of geological and biological transformation in Earth's history. This period witnessed not only the emergence of numerous skeletal-bearing metazoans but also the formation of significant metal mineral deposits. The Niutitang Formation, widely distributed across South China, represents an important stratigraphic unit from this period. Researching the characteristics of elemental geochemistry in Niutitang Formation reflects not only the environment of sedimentation and deposition of this period, but also it is significant to the exploration of early life evolution and environmental synergy. Methods By means of petrological, mineralogical, and geochemical analysis of the Shantun section in Weng'an, Guizhou, the sedimentary environment of the Niutitang Formation is discussed. Results The Niutitang Formation in the Weng'an phosphate mining area of Guizhou is clearly divided into the upper phosphate rock and black shale members, with the polymetallic layer located at the transition between these two lithological sections. The Niutitang Formation biota is located in the upper part of the polymetallic layer and at the bottom of the black shale that covers it, suggesting a close relationship between the appearance and prosperity of the Niutitang Formation biota and the special geological event represented by the polymetallic layer. Irregular dolomite debris is commonly found at the bottom of the upper phosphate rock member, with overlying phosphate rock and polymetallic ore developing gravel debris structures, and the morphology of glauconite is commonly irregular, which reflects the stronger hydrodynamic force of the local environment of the ancient ocean at that time. Barite lenses and pyrite laminations are developed in the polymetallic layer and the black shale overlying it. Pyrite, chalcopyrite, and sulfide nickel minerals are commonly found coexisting in the ore, which are consistent with the characteristics of modern ocean floor hydrothermal black chimneys. The geochemical V/Cr and Ni/Co characteristics of the Niutitang Formation indicate that the ancient marine environment during its sedimentary period was anoxic or hypoxic, which is consistent with the sedimentary characteristics of the Niutitang Formation. However, a series of abnormal values were observed in the upper part of the upper phosphate rock member, the polymetallic layer, and the black shale bottom layer closely covering it: V/Cr, Ni/Co, U/Th (U/Th1), P, and various trace element contents reached their peak, and Sr/Ba (Sr/Ba1) reached its lowest value. In this layer, samples exhibit clear negative Ce anomalies and slight enrichment of light rare earth elements. Additionally, a sample in the middle of the black shale member showed a positive Eu anomaly. These rare earth element characteristics fall between hydrothermal fluids and typical seawater. In summary, the geological event represented by the polymetallic layer is a hydrothermal upwelling activity event in ancient oceans. Hydrothermal activity can be divided into three distinct stages, with the second stage having the highest hydrothermal composition and being highly consistent with paleontological records. Conclusions The geochemical characteristics of the elements further prove the existence of submarine hydrothermal activity during this period. Based on this, a comprehensive reconstruction of the paleoenvironmental evolution model of the Niutitang Formation biota before and after its appearance in the Weng'an phosphate mining area was conducted,taking into account the sedimentary geological background.
Objective The early Cambrian period represents a significant epoch of geological and biological transformation in Earth's history. This period witnessed not only the emergence of numerous skeletal-bearing metazoans but also the formation of significant metal mineral deposits. The Niutitang Formation, widely distributed across South China, represents an important stratigraphic unit from this period. Researching the characteristics of elemental geochemistry in Niutitang Formation reflects not only the environment of sedimentation and deposition of this period, but also it is significant to the exploration of early life evolution and environmental synergy. Methods By means of petrological, mineralogical, and geochemical analysis of the Shantun section in Weng'an, Guizhou, the sedimentary environment of the Niutitang Formation is discussed. Results The Niutitang Formation in the Weng'an phosphate mining area of Guizhou is clearly divided into the upper phosphate rock and black shale members, with the polymetallic layer located at the transition between these two lithological sections. The Niutitang Formation biota is located in the upper part of the polymetallic layer and at the bottom of the black shale that covers it, suggesting a close relationship between the appearance and prosperity of the Niutitang Formation biota and the special geological event represented by the polymetallic layer. Irregular dolomite debris is commonly found at the bottom of the upper phosphate rock member, with overlying phosphate rock and polymetallic ore developing gravel debris structures, and the morphology of glauconite is commonly irregular, which reflects the stronger hydrodynamic force of the local environment of the ancient ocean at that time. Barite lenses and pyrite laminations are developed in the polymetallic layer and the black shale overlying it. Pyrite, chalcopyrite, and sulfide nickel minerals are commonly found coexisting in the ore, which are consistent with the characteristics of modern ocean floor hydrothermal black chimneys. The geochemical V/Cr and Ni/Co characteristics of the Niutitang Formation indicate that the ancient marine environment during its sedimentary period was anoxic or hypoxic, which is consistent with the sedimentary characteristics of the Niutitang Formation. However, a series of abnormal values were observed in the upper part of the upper phosphate rock member, the polymetallic layer, and the black shale bottom layer closely covering it: V/Cr, Ni/Co, U/Th (U/Th1), P, and various trace element contents reached their peak, and Sr/Ba (Sr/Ba1) reached its lowest value. In this layer, samples exhibit clear negative Ce anomalies and slight enrichment of light rare earth elements. Additionally, a sample in the middle of the black shale member showed a positive Eu anomaly. These rare earth element characteristics fall between hydrothermal fluids and typical seawater. In summary, the geological event represented by the polymetallic layer is a hydrothermal upwelling activity event in ancient oceans. Hydrothermal activity can be divided into three distinct stages, with the second stage having the highest hydrothermal composition and being highly consistent with paleontological records. Conclusions The geochemical characteristics of the elements further prove the existence of submarine hydrothermal activity during this period. Based on this, a comprehensive reconstruction of the paleoenvironmental evolution model of the Niutitang Formation biota before and after its appearance in the Weng'an phosphate mining area was conducted,taking into account the sedimentary geological background.
2025, 43(5): 1814-1856.
doi: 10.14027/j.issn.1000-0550.2025.032
Abstract:
Significance The enduring "dolomite problem", which has puzzled geologists for generations, remains a cornerstone of geoscientific inquiry. Dolomite formation mechanisms have resulted in breakthroughs in sedimentary diagenetic theories and also play a crucial role in predicting carbonate hydrocarbon reservoirs. Progress Traditional petrological-geochemical approaches remain pivotal in dolomite research, including: (1) mineral characterization techniques (e.g., X-ray diffraction, cathodoluminescence and scanning electron microscopy) effectively reveal dolomite crystal structures, ordering degrees and microtextural features; (2) infrared and Raman spectroscopy facilitate high-precision differentiation of dolomite from calcite and high-Mg calcite by molecular vibration pattern recognition, and also identify microscopic bonding ion configurations; (3) major-traceelement and rare earth element analyses provide crucial geochemical constraints for deciphering dolomitizing fluid properties, redox conditions and Mg sources; (4) carbon and oxygen isotopic analysis traces fluid-mixing processes and reconstructs paleotemperatures, complemented by strontium isotopic systems that constrain the evolution pathways of paleoseawater; (5) thermodynamic calculation, sedimentary-diagenetic experiments and numerical simulation methods provide a multi-scale research approach to resolving kinetic barriers and reconstructing the dolomite formation process. However, traditional approaches have proven to be insufficient for precisely unraveling fluid evolution sequences during dolomitization due to the complexities caused by multistage diagenetic overprinting and uncertainties in reconstructing paleoseawater geochemical compositions. Recent technological advancements provide novel insights, promoting research into micro, quantitative and dynamic process analysis. Magnesium isotopes enable quantitative modeling of Mg2+ transport pathways, while microscale in-situ techniques (e.g., LA-ICP-MS, EPMA) achieve submicron spatial resolution (10 μm), overcoming the limitation of bulk-rock methods to the characterization of multiphase diagenetic events. Concurrently, carbonate clumped isotope (δ47) thermometry and U-Pb geochronology provide unique advantages in constraining the temperature and absolute timing of dolomitization processes. Conclusions and Prospects It is recommended that future research place a high priority on the following areas: quantitative crystallographic analysis; multi-isotope systematics tracing techniques; in-situ and microanalytical elemental mapping; and machine learning-driven big data fusion. Establishing a multidisciplinary framework that combines mineralogical characterization, elemental geochemical tracing and isotopic chronostratigraphy will be essential. By integrating multiscale analytical techniques, multi-source data fusion and intelligent modeling approaches, it is possible to refine the paradigm of dolomite research and achieve significant theoretical advances.
Significance The enduring "dolomite problem", which has puzzled geologists for generations, remains a cornerstone of geoscientific inquiry. Dolomite formation mechanisms have resulted in breakthroughs in sedimentary diagenetic theories and also play a crucial role in predicting carbonate hydrocarbon reservoirs. Progress Traditional petrological-geochemical approaches remain pivotal in dolomite research, including: (1) mineral characterization techniques (e.g., X-ray diffraction, cathodoluminescence and scanning electron microscopy) effectively reveal dolomite crystal structures, ordering degrees and microtextural features; (2) infrared and Raman spectroscopy facilitate high-precision differentiation of dolomite from calcite and high-Mg calcite by molecular vibration pattern recognition, and also identify microscopic bonding ion configurations; (3) major-traceelement and rare earth element analyses provide crucial geochemical constraints for deciphering dolomitizing fluid properties, redox conditions and Mg sources; (4) carbon and oxygen isotopic analysis traces fluid-mixing processes and reconstructs paleotemperatures, complemented by strontium isotopic systems that constrain the evolution pathways of paleoseawater; (5) thermodynamic calculation, sedimentary-diagenetic experiments and numerical simulation methods provide a multi-scale research approach to resolving kinetic barriers and reconstructing the dolomite formation process. However, traditional approaches have proven to be insufficient for precisely unraveling fluid evolution sequences during dolomitization due to the complexities caused by multistage diagenetic overprinting and uncertainties in reconstructing paleoseawater geochemical compositions. Recent technological advancements provide novel insights, promoting research into micro, quantitative and dynamic process analysis. Magnesium isotopes enable quantitative modeling of Mg2+ transport pathways, while microscale in-situ techniques (e.g., LA-ICP-MS, EPMA) achieve submicron spatial resolution (10 μm), overcoming the limitation of bulk-rock methods to the characterization of multiphase diagenetic events. Concurrently, carbonate clumped isotope (δ47) thermometry and U-Pb geochronology provide unique advantages in constraining the temperature and absolute timing of dolomitization processes. Conclusions and Prospects It is recommended that future research place a high priority on the following areas: quantitative crystallographic analysis; multi-isotope systematics tracing techniques; in-situ and microanalytical elemental mapping; and machine learning-driven big data fusion. Establishing a multidisciplinary framework that combines mineralogical characterization, elemental geochemical tracing and isotopic chronostratigraphy will be essential. By integrating multiscale analytical techniques, multi-source data fusion and intelligent modeling approaches, it is possible to refine the paradigm of dolomite research and achieve significant theoretical advances.
2025, 43(5): 1857-1873.
doi: 10.14027/j.issn.1000-0550.2024.131
Abstract:
Significance The study of detrital-carbonate mixed components can indicate paleoclimate, paleoenvironment, provenance supply, and sea/lake-level change, and is closely related to mineral and oil gas resources; thus, it has garnered increasing attention. Progress Mixed sediments can be mainly divided into compositional mixing (narrow sense) and structural mixing (broad sense). When considering mixed sediments as mixed sedimentary products, the previous classification mainly includes four, three, and two components. However, whether clay components should participate in the classification of mixed deposits remains controversial. This study provides a new classification method, and tries to solve the problem of component participation partitioning,which can provide new idea for the mixed sediments. Conclusions Based on the division of clastic and carbonate components, the hydrodynamic conditions of the sedimentary period can be judged by quantitative statistics of fine sediment content. Compared with the traditional classification scheme, the four components of carbonate grains, detrital grains, (dolo)micrite, and clay are retained, and the visual presentation effect and convenient operation feasibility are considered. In addition, mixed sedimentation was redefined into four types: punctuated, facies, in situ, and precipitation mixing. Four processes that cannot reflect the original sedimentary environment, such as source, diagenetic, karst, and fracture mixing, are classified as false mixing. [Prospects] As two branches of sedimentology, carbonate and clastic rocks have been studied as independent subject systems. The study of mixed sediments is also expected to help improve our understand of the mineral sources, interaction modes, and deposition processes of carbonate-clastic components and improve the discipline system of clastic and carbonate rocks.
Significance The study of detrital-carbonate mixed components can indicate paleoclimate, paleoenvironment, provenance supply, and sea/lake-level change, and is closely related to mineral and oil gas resources; thus, it has garnered increasing attention. Progress Mixed sediments can be mainly divided into compositional mixing (narrow sense) and structural mixing (broad sense). When considering mixed sediments as mixed sedimentary products, the previous classification mainly includes four, three, and two components. However, whether clay components should participate in the classification of mixed deposits remains controversial. This study provides a new classification method, and tries to solve the problem of component participation partitioning,which can provide new idea for the mixed sediments. Conclusions Based on the division of clastic and carbonate components, the hydrodynamic conditions of the sedimentary period can be judged by quantitative statistics of fine sediment content. Compared with the traditional classification scheme, the four components of carbonate grains, detrital grains, (dolo)micrite, and clay are retained, and the visual presentation effect and convenient operation feasibility are considered. In addition, mixed sedimentation was redefined into four types: punctuated, facies, in situ, and precipitation mixing. Four processes that cannot reflect the original sedimentary environment, such as source, diagenetic, karst, and fracture mixing, are classified as false mixing. [Prospects] As two branches of sedimentology, carbonate and clastic rocks have been studied as independent subject systems. The study of mixed sediments is also expected to help improve our understand of the mineral sources, interaction modes, and deposition processes of carbonate-clastic components and improve the discipline system of clastic and carbonate rocks.
2025, 43(5): 1874-1896.
doi: 10.14027/j.issn.1000-0550.2025.054
Abstract:
Objective Age-depth models play a central role in geological history reconstruction, stratigraphic correlation and paleoclimate research; however, uncertainties remain regarding the selection of the best model for particular geological settings. To improve the precision of global-scale sedimentary chronologies and address the challenge of integrating heterogeneous multi-source data, this study compiled and standardized chronological information from 560 drill sites obtained by the Ocean Drilling Programs since 1968, thereby improving comparability between regions and databases. Methods Based on the standardized dataset, six modeling approaches⁃linear fitting, polynomial fitting, Clam, Bacon, Undatable and Bchron⁃were applied to construct age-depth relationships. A multi-dimensional evaluation framework was established, using stratigraphic superposition rate analysis and root mean square error (RMSE) as metrics, to systematically compare the models in terms of accuracy and stability, and their ability to capture sedimentation rate variability and to handle outliers. Results The results show that non-Bayesian models (linear fitting, polynomial fitting, Clam) perform well in conditions of relatively uniform sedimentation rates, but are less effective in addressing discontinuities and outliers. By contrast, Bayesian models (Bacon, Bchron, Undatable) effectively exclude outliers and accurately simulate variations in sedimentation rates, with Bchron demonstrating the best overall performance in accuracy, stability and adaptability to ocean drilling data. Conclusions This study highlights that standardized integration of global ocean drilling chronologies not only significantly improves the compar-ability and precision of age-depth models but also provides a robust methodological foundation for future optimization of model parameters and the enhancement of dating accuracy, along with their application in global stratigraphic correlation and paleogeographic reconstruction.
Objective Age-depth models play a central role in geological history reconstruction, stratigraphic correlation and paleoclimate research; however, uncertainties remain regarding the selection of the best model for particular geological settings. To improve the precision of global-scale sedimentary chronologies and address the challenge of integrating heterogeneous multi-source data, this study compiled and standardized chronological information from 560 drill sites obtained by the Ocean Drilling Programs since 1968, thereby improving comparability between regions and databases. Methods Based on the standardized dataset, six modeling approaches⁃linear fitting, polynomial fitting, Clam, Bacon, Undatable and Bchron⁃were applied to construct age-depth relationships. A multi-dimensional evaluation framework was established, using stratigraphic superposition rate analysis and root mean square error (RMSE) as metrics, to systematically compare the models in terms of accuracy and stability, and their ability to capture sedimentation rate variability and to handle outliers. Results The results show that non-Bayesian models (linear fitting, polynomial fitting, Clam) perform well in conditions of relatively uniform sedimentation rates, but are less effective in addressing discontinuities and outliers. By contrast, Bayesian models (Bacon, Bchron, Undatable) effectively exclude outliers and accurately simulate variations in sedimentation rates, with Bchron demonstrating the best overall performance in accuracy, stability and adaptability to ocean drilling data. Conclusions This study highlights that standardized integration of global ocean drilling chronologies not only significantly improves the compar-ability and precision of age-depth models but also provides a robust methodological foundation for future optimization of model parameters and the enhancement of dating accuracy, along with their application in global stratigraphic correlation and paleogeographic reconstruction.