高级搜索

留言板

尊敬的读者、作者、审稿人, 关于本刊的投稿、审稿、编辑和出版的任何问题, 您可以本页添加留言。我们将尽快给您答复。谢谢您的支持!

姓名
邮箱
手机号码
标题
留言内容
验证码

沿浦湾红树林沉积物有机碳埋藏特征及来源解析

李滨 水柏年 于洋 吕聪聪 李雪丽 魏珍 胡成业

李滨, 水柏年, 于洋, 吕聪聪, 李雪丽, 魏珍, 胡成业. 沿浦湾红树林沉积物有机碳埋藏特征及来源解析[J]. 沉积学报, 2025, 43(6): 2004-2014. doi: 10.14027/j.issn.1000-0550.2023.126
引用本文: 李滨, 水柏年, 于洋, 吕聪聪, 李雪丽, 魏珍, 胡成业. 沿浦湾红树林沉积物有机碳埋藏特征及来源解析[J]. 沉积学报, 2025, 43(6): 2004-2014. doi: 10.14027/j.issn.1000-0550.2023.126
LI Bin, SHUI BoNian, YU Yang, LÜ CongCong, LI XueLi, SHANGGUAN MingZhu, WEI Zhen, HU ChengYe. Burial Characteristics and Source Analysis of Organic Carbon in Mangrove Sediments, Yanpu Bay, China[J]. Acta Sedimentologica Sinica, 2025, 43(6): 2004-2014. doi: 10.14027/j.issn.1000-0550.2023.126
Citation: LI Bin, SHUI BoNian, YU Yang, LÜ CongCong, LI XueLi, SHANGGUAN MingZhu, WEI Zhen, HU ChengYe. Burial Characteristics and Source Analysis of Organic Carbon in Mangrove Sediments, Yanpu Bay, China[J]. Acta Sedimentologica Sinica, 2025, 43(6): 2004-2014. doi: 10.14027/j.issn.1000-0550.2023.126

沿浦湾红树林沉积物有机碳埋藏特征及来源解析

doi: 10.14027/j.issn.1000-0550.2023.126
基金项目: 

国家自然科学基金项目 42306188

浙江省自然科学基金项目 LQ21C030006

浙江省属高校基本科研业务费 2021J003

浙江省大学生科技创新活动计划 2022R411A004

国家级大学生创新创业训练计划 202310340058

详细信息

Burial Characteristics and Source Analysis of Organic Carbon in Mangrove Sediments, Yanpu Bay, China

  • 摘要: 目的 红树林是重要的滨海“蓝碳”生态系统,具有强大的碳汇功能,对全球碳循环有深远的影响。 方法 以沿浦湾红树林为研究区域,采集柱状沉积物,通过210Pb定年技术建立高分辨年代地层框架,分析沉积物沉积质量埋藏速率(SAR)、有机碳埋藏通量(OCAR)及有机碳潜在来源。 结果 红树林的沉积速率约为2.2 cm/a。沉积物以粉砂和黏土为主,粒径随深度变化基本稳定,且过剩210Pb活度与深度之间具有较好的相关性,表明沉积环境较为稳定。沉积物SAR值介于52.03~233.61 g/(cm2·a),OCAR值介于112.78~473.97 g/(m2·a),较高的SAR有利于有机碳的沉积与埋藏。 结论 研究区沉积物有机碳为海陆混合来源,其中红树凋落物平均贡献率为59.44%,悬浮有机颗粒(POM)为25.91%。故红树林面积和POM的输送量是影响沉积物有机碳埋藏的重要因素。同时,极端天气、自然灾害、水利工程等因素进一步促进有机碳来源变化的复杂性。
  • 图  1  柱状沉积物210Pb、137Cs测年的垂向分布

    Figure  1.  Vertical distribution of 210Pb and 137Cs dating in columnar sediments

    图  2  柱状沉积物有机碳及其环境因子的垂向变化

    Figure  2.  Vertical changes of organic carbon and its environmental factors in columnar sediments

    图  3  柱状沉积物中TOC与TN/δ13C的相关关系

    Figure  3.  Correlation between TOC and TN/δ13C in columnar sediments

    图  4  柱状沉积物中TOC、SAR、OCAR的垂直分布

    Figure  4.  Vertical distribution of TOC, SAR, OCAR in columnar sediments

    图  5  柱状沉积物中OCAR与TOC/SAR的相关关系

    Figure  5.  Correlation between OCAR and TOC/SAR in columnar sediments

    图  6  柱状沉积物中δ13C、δ15N和C/N的来源分布特征

    Figure  6.  Source distribution of δ13C, δ15N and C/N in columnar sediments

    图  7  柱状沉积物中有机碳潜在来源贡献率及其分布特征

    Figure  7.  Contribution rate and distribution of potential sources of TOC in columnar sediments

  • [1] 李三忠,刘丽军,索艳慧,等. 碳构造:一个地球系统科学新范式[J]. 科学通报,2023,68(4):309-338.

    Li Sanzhong, Liu Lijun, Suo Yanhui, et al. Carbon tectonics: A new paradigm for Earth system science[J]. Chinese Science Bulletin, 2023, 68(4): 309-338.
    [2] 林家洋,宋哲岳,李自民,等. 滨海湿地碳汇和碳负排放技术研究进展[J]. 湿地科学,2023,21(2):302-311.

    Lin Jiayang, Song Zheyue, Li Zimin, et al. Research progress of carbon sink and carbon negative emission technologies in coastal wetlands[J]. Wetland Science, 2023, 21(2): 302-311.
    [3] Duarte C M, Middelburg J J, Caraco N. Major role of marine vegetation on the oceanic carbon cycle[J]. Biogeosciences, 2005, 2(1): 1-8.
    [4] 邢瑶丽,赵志忠,李燕. 海南新盈港红树林湿地沉积物有机碳分布特征及其影响因素[J]. 海南师范大学学报(自然科学版),2018,31(1):112-118.

    Xing Yaoli, Zhao Zhizhong, Li Yan. The characteristics of mangrove sediments organic carbon distribution in Xinying harbor mangrove wetland on Hainan Island and its influencing factor[J]. Journal of Hainan Normal University (Natural Science), 2018, 31(1): 112-118.
    [5] Ramaswamy V, Gaye B, Shirodkar P V, et al. Distribution and sources of organic carbon, nitrogen and their isotopic signatures in sediments from the Ayeyarwady (Irrawaddy) continental shelf, northern Andaman Sea[J]. Marine Chemistry, 2008, 111(3/4): 137-150.
    [6] 朱耀军,赵峰,郭菊兰,等. 湛江高桥红树林湿地有机碳分布及埋藏特征[J]. 生态学报,2016,36(23):7841-7849.

    Zhu Yaojun, Zhao Feng, Guo Julan, et al. Below-ground organic carbon distribution and burial characteristics of the Gaoqiao mangrove area in Zhanjiang, Guangdong, southern China[J]. Acta Ecologica Sinica, 2016, 36(23): 7841-7849.
    [7] Kristensen E, Bouillon S, Dittmar T, et al. Organic carbon dynamics in mangrove ecosystems: A review[J]. Aquatic Botany, 2008, 89(2): 201-219.
    [8] 白亚之,乔淑卿,吴斌,等. 泰国湾百年来有机碳埋藏记录及环境响应[J]. 沉积学报,2022,40(2):484-493.

    Bai Yazhi, Qiao Shuqing, Wu Bin, et al. Geochemistry features and environmental responses of organic carbon burial in the gulf of Thailand over the past century[J]. Acta Sedimentologica Sinica, 2022, 40(2): 484-493.
    [9] 刘大路,石红才,晏丰钰,等. 湛江红树林湿地沉积物有机碳分布特征及影响因素[J]. 海洋开发与管理,2019,36(5):67-72.

    Liu Dalu, Shi Hongcai, Yan Fengyu, et al. Distribution of soil organic carbon in mangrove wetlands of Zhanjiang and its influencing factors[J]. Ocean Development and Management, 2019, 36(5): 67-72.
    [10] Smoak J M, Breithaupt J L, Smith T J, et al. Sediment accretion and organic carbon burial relative to sea-level rise and storm events in two mangrove forests in Everglades National Park[J]. Catena, 2013, 104: 58-66.
    [11] 《苍南县地方志》编纂委员会. 苍南县志(一九八一年至二○○五年)[M]. 杭州:西泠印社出版社,2014:1-2065.

    Compilation Committee of Cangnan County Local Chronicles. Cangnan county annals (1981-2005)[M]. Hangzhou: Xiling Seal Engravers’ Society Publishing House, 2014: 1-2065.
    [12] Ostermann T S, Kleyer M, Heuner M, et al. Hydrodynamics affect plant traits in estuarine ecotones with impact on carbon sequestration potentials[J]. Estuarine, Coastal and Shelf Science, 2021, 259: 107464.
    [13] 季宁宁,刘永,王圣瑞. 洱海悬浮颗粒物和表层沉积物有机碳氮同位素来源特征及水质指示意义[J]. 湖泊科学,2022,34(1):118-133.

    Ji Ningning, Liu Yong, Wang Shengrui. The sources characteristics of stable isotope organic carbon and nitrogen in suspended particles and surface sediments in Lake Erhai and their water quality implications[J]. Journal of Lake Sciences, 2022, 34(1): 118-133.
    [14] 王毛兰,赖建平,胡珂图,等. 鄱阳湖表层沉积物有机碳、氮同位素特征及其来源分析[J]. 中国环境科学,2014,34(4):1019-1025.

    Wang Maolan, Lai Jianping, Hu Ketu, et al. Compositions and sources of stable organic carbon and nitrogen isotopes in surface sediments of Poyang Lake[J]. China Environmental Science, 2014, 34(4): 1019-1025.
    [15] Nery J R C, Bonotto D M. The constant flux and constant sedimentation (CF:CS) 210Pb chronological method applied to determine sedimentation rates at Amazon River watershed, Brazil[J]. Journal of South American Earth Sciences, 2022, 114: 103715.
    [16] 周亮,高抒,杨阳,等. 海南岛东南部海湾潟湖沉积和碳埋藏变化研究[J]. 第四纪研究,2016,36(1):66-77.

    Zhou Liang, Gao Shu, Yang Yang, et al. Sediment accumulation and carbon burial in two tropical lagoons, southeastern Hainan Island[J]. Quaternary Sciences, 2016, 36(1): 66-77.
    [17] 周艳清,高晓东,王嘉昕,等. 柴达木盆地灌区枸杞根系水分吸收来源研究[J]. 中国生态农业学报(中英文),2021,29(2):400-409.

    Zhou Yanqing, Gao Xiaodong, Wang Jiaxin, et al. Lycium barbarum root water uptake characteristics in the Qaidam Basin irrigation[J]. Chinese Journal of Eco-Agriculture, 2021, 29(2): 400-409.
    [18] 陈家辉. 水产养殖废水排放对红树林沉积物氧化亚氮(N2O)通量的影响及机理研究[D]. 厦门:厦门大学,2019:13-19.

    Chen Jiahui. Effect of aquaculture wastewater discharge on nitrous oxide (N2O) flux in mangrove sediments and its mechanism[D]. Xiamen: Xiamen University, 2019: 13-19.
    [19] 高长颢. 红树植物CH4和N2O通量特征及影响机制研究[D]. 厦门:厦门大学,2021:42-71.

    Gao Changhao. Studies on the emission characteristics of CH4 and N2O from mangrove plants and their influencing mechanism[D]. Xiamen: Xiamen University, 2021: 42-71.
    [20] 李旭林,郑康振,周炎武,等. 红树林恢复对潮滩表层沉积物氮素的影响[J]. 生态学报,2010,30(12):3163-3172.

    Li Xulin, Zheng Kangzhen, Zhou Yanwu, et al. Effect of mangrove restoration on nitrogen of surface sediment[J]. Acta Ecologica Sinica, 2010, 30(12): 3163-3172.
    [21] 倪兆奎,王圣瑞,赵海超,等. 洱海入湖河流水体悬浮颗粒物有机碳氮来源特征[J]. 环境科学研究,2013,26(3):287-293.

    Ni Zhaokui, Wang Shengrui, Zhao Haichao, et al. The sources of organic carbon and nitrogen of suspended particulate matter in inflow river of Erhai lake[J]. Research of Environmental Sciences, 2013, 26(3): 287-293.
    [22] Ogrinc N, Markovics R, Kanduč T, et al. Sources and transport of carbon and nitrogen in the River Sava watershed, a major tributary of the River Danube[J]. Applied Geochemistry, 2008, 23(12): 3685-3698.
    [23] 胡京九,张虎才,常凤琴,等. 程海表层沉积物粒度空间分布特征及其影响因素[J]. 沉积学报,2020,38(2):340-348.

    Hu Jingjiu, Zhang Hucai, Chang Fengqin, et al. Spatial distribution of grain size composition of surface sediments in lake Cheng (Chenghai) and their influential factors[J]. Acta Sedimentologica Sinica, 2020, 38(2): 340-348.
    [24] 吴伟军. 强台风作用下浙江省海堤稳定性研究[J]. 人民长江,2009,40(15):44-47.

    Wu Weijun. Research on stability of existing seawall under strong typhoon in Zhejiang province[J]. Yangtze River, 2009, 40(15): 44-47.
    [25] 张从联,朱峰,李维涛,等. 上海、浙江、福建三省市海堤现状调查[J]. 水利水电科技进展,2008,28(2):51-55.

    Zhang Conglian, Zhu Feng, Li Weitao, et al. Current status of seawalls in Shanghai, Zhejiang and Fujian in China[J]. Advances in Science and Technology of Water Resources, 2008, 28(2): 51-55.
    [26] 中华人民共和国自然资源部. 1997年《中国海洋灾害公报》[EB/OL]. (2010-03-31). http://g.mnr.gov.cn/201701/t20170123_1428297.html.

    Ministry of Natural Resources, The People's Republic of China. 1997 China ocean disasters Bulletin [EB/OL]. (2010-03-31). http://g.mnr.gov.cn/201701/t20170123_1428297.html.
    [27] 王钟. 闸控重污染小流域水文水质及污染物通量变化特征研究:以峡山大溪为例[D]. 宜昌:三峡大学,2019:66-67.

    Wang Zhong. Study on the variation characteristics of hydrology water quality and pollutants fluxes in small heavily polluted watersheds with gate control: Taking Xiashan Stream as an example[D]. Yichang: China Three Gorges University, 2019: 66-67.
  • [1] 赖维成, 李雪哲, 熊连桥, 谢晓军, 唐武, 王艳忠, 武爱俊, 白海强, 刘子玉, 王诗琪, 王铭乾, 赵振.  莺歌海盆地乐东区黄流组深层碎屑岩储层特征及优质储层控制因素 . 沉积学报, 2026, (): -. doi: 10.14027/j.issn.1000-0550.2026.010
    [2] 丁晓琪, 高景云, 韩树杰, 林飞兰, 樊翔天, 韩玫梅.  鄂尔多斯盆地东北部山西组河道砂体构型特征——基于陕西府谷剖面 . 沉积学报, 2026, (): -. doi: 10.14027/j.issn.1000-0550.2026.018
    [3] 张薇, 刘金超, 丁美琪, 孙嘉欣, 梁瑞泽, 王王, 李嫚, 何天辰.  三叠纪末大灭绝与中大西洋岩浆省的时空关联 . 沉积学报, 2026, (): -. doi: 10.14027/j.issn.1000-0550.2026.022
    [4] 宋小军.  贵州务正道地区二叠系下统大竹园组沉积旋回及沉积模式 . 沉积学报, 2026, (): -. doi: 10.14027/j.issn.1000-0550.2026.011
    [5] 许亚鑫, 罗连超, 周刚, 文华国.  泡沫绵层白云岩研究进展与展望 . 沉积学报, 2026, (): -. doi: 10.14027/j.issn.1000-0550.2026.005
    [6] 苏展艺, 姚付龙, 夏倩倩, 胡晓峰.  中天山山间盆地中晚全新世植被与气候变化 . 沉积学报, 2026, 44(2): 415-424. doi: 10.14027/j.issn.1000-0550.2024.058
    [7] 高远, CarrollAlan R., 王成善.  异整合面——古环境剧变的地层记录 . 沉积学报, 2021, 39(1): 46-57. doi: 10.14027/j.issn.1000-0550.2020.128
    [8] 胡涛, 庞雄奇, 姜福杰, 王琦峰, 徐田武, 吴冠昀, 蔡哲, 于吉旺.  陆相断陷咸化湖盆有机质差异富集因素探讨 . 沉积学报, 2021, 39(1): 140-152. doi: 10.14027/j.issn.1000-0550.2020.125
    [9] 邓秀芹, 程党性, 周新平, 时孜伟, 郭懿萱.  鄂尔多斯盆地下侏罗统地层水化学特征及成因分析 . 沉积学报, 2020, 38(5): 1099-1110. doi: 10.14027/j.issn.1000-0550.2019.080
    [10] 乔艳萍, 谭秀成, 刘耘, 熊鹰, 伍坤宇, 张永庶, 杨勃, 任灵.  咸化湖盆高频湖平面升降特征及地质意义 . 沉积学报, 2020, 38(6): 1152-1165. doi: 10.14027/j.issn.1000-0550.2019.113
    [11] 王爱华, 叶思源, 刘建坤, 丁喜桂, 李华玲, 许乃岑.  不同选择性提取方法锶钡比的海陆相沉积环境判别探讨 . 沉积学报, 2020, 38(6): 1226-1238. doi: 10.14027/j.issn.1000-0550.2019.118
    [12] 张耀续, 王利超, 谭秀成.  川北小南海剖面栖霞组岩石微相及沉积环境 . 沉积学报, 2020, 38(5): 1049-1060. doi: 10.14027/j.issn.1000-0550.2019.094
    [13] 吕奇奇, 罗顺社, 官玉龙, 汪泽成, 王铜山, 张严.  华北克拉通南缘中—新元古界沉积充填特征及演化 . 沉积学报, 2020, 38(6): 1123-1139. doi: 10.14027/j.issn.1000-0550.2020.012
    [14] 段知非, 李超, 毕磊, 何中发, 李芳亮, 杨守业.  崇明岛H12孔百年来长江入海沉积物来源变化及原因 . 沉积学报, 2020, 38(6): 1204-1214. doi: 10.14027/j.issn.1000-0550.2020.002
    [15] 蒋庆平, 孔垂显, 李维锋, 邱子刚, 卢志远, 常天全, 刘凯, 陈栋梁, 李胜, 袁晓光.  陆相湖盆大型扇三角洲沉积特征与演化规律 . 沉积学报, 2020, 38(5): 923-932. doi: 10.14027/j.issn.1000-0550.2019.089
    [16] 张金亮 张鑫.  胜坨地区沙河街组沙四上亚段砂砾岩体沉积相与油气分布 . 沉积学报, 2008, 26(3): 361-368.
    [17] 杨勇.  武汉青山“砂山”粒度特征及其成因指示 . 沉积学报, 2008, 26(3): 487-493.
    [18] 刘宗堡.  三肇凹陷葡萄花油层高分辨率层序地层划分及沉积特征研究 . 沉积学报, 2008, 26(3): 399-406.
    [19] 陈陵康 郭建秋 顾延生.  西藏拉萨河现代河漫滩及一级阶地沉积物植硅体组合特征 . 沉积学报, 2008, 26(3): 480-486.
    [20] 张平.  稳定湖相沉积物和风成黄土粒度判别函数的建立及其意义 . 沉积学报, 2008, 26(3): 501-507.
  • 加载中
图(7)
计量
  • 文章访问数:  1261
  • HTML全文浏览量:  159
  • PDF下载量:  115
  • 被引次数: 0
出版历程
  • 收稿日期:  2023-10-25
  • 修回日期:  2023-12-05
  • 录用日期:  2024-01-03
  • 网络出版日期:  2024-01-03
  • 刊出日期:  2025-12-10

目录

    沿浦湾红树林沉积物有机碳埋藏特征及来源解析

    doi: 10.14027/j.issn.1000-0550.2023.126
      基金项目:

      国家自然科学基金项目 42306188

      浙江省自然科学基金项目 LQ21C030006

      浙江省属高校基本科研业务费 2021J003

      浙江省大学生科技创新活动计划 2022R411A004

      国家级大学生创新创业训练计划 202310340058

      作者简介:

      李滨,男,1995年出生,硕士研究生,渔业发展,E-mail: libindouz@163.com

      通讯作者: 胡成业,男,博士,副教授,E-mail: zjhuchengye@zjou.edu.cn

    摘要: 目的 红树林是重要的滨海“蓝碳”生态系统,具有强大的碳汇功能,对全球碳循环有深远的影响。 方法 以沿浦湾红树林为研究区域,采集柱状沉积物,通过210Pb定年技术建立高分辨年代地层框架,分析沉积物沉积质量埋藏速率(SAR)、有机碳埋藏通量(OCAR)及有机碳潜在来源。 结果 红树林的沉积速率约为2.2 cm/a。沉积物以粉砂和黏土为主,粒径随深度变化基本稳定,且过剩210Pb活度与深度之间具有较好的相关性,表明沉积环境较为稳定。沉积物SAR值介于52.03~233.61 g/(cm2·a),OCAR值介于112.78~473.97 g/(m2·a),较高的SAR有利于有机碳的沉积与埋藏。 结论 研究区沉积物有机碳为海陆混合来源,其中红树凋落物平均贡献率为59.44%,悬浮有机颗粒(POM)为25.91%。故红树林面积和POM的输送量是影响沉积物有机碳埋藏的重要因素。同时,极端天气、自然灾害、水利工程等因素进一步促进有机碳来源变化的复杂性。

    English Abstract

    李滨, 水柏年, 于洋, 吕聪聪, 李雪丽, 魏珍, 胡成业. 沿浦湾红树林沉积物有机碳埋藏特征及来源解析[J]. 沉积学报, 2025, 43(6): 2004-2014. doi: 10.14027/j.issn.1000-0550.2023.126
    引用本文: 李滨, 水柏年, 于洋, 吕聪聪, 李雪丽, 魏珍, 胡成业. 沿浦湾红树林沉积物有机碳埋藏特征及来源解析[J]. 沉积学报, 2025, 43(6): 2004-2014. doi: 10.14027/j.issn.1000-0550.2023.126
    LI Bin, SHUI BoNian, YU Yang, LÜ CongCong, LI XueLi, SHANGGUAN MingZhu, WEI Zhen, HU ChengYe. Burial Characteristics and Source Analysis of Organic Carbon in Mangrove Sediments, Yanpu Bay, China[J]. Acta Sedimentologica Sinica, 2025, 43(6): 2004-2014. doi: 10.14027/j.issn.1000-0550.2023.126
    Citation: LI Bin, SHUI BoNian, YU Yang, LÜ CongCong, LI XueLi, SHANGGUAN MingZhu, WEI Zhen, HU ChengYe. Burial Characteristics and Source Analysis of Organic Carbon in Mangrove Sediments, Yanpu Bay, China[J]. Acta Sedimentologica Sinica, 2025, 43(6): 2004-2014. doi: 10.14027/j.issn.1000-0550.2023.126
      • 红树林作为滨海湿地典型生态交错带,长期处于滞水状态,物质分解缓慢,有利于有机质的积累,具有强大的碳汇功能,是重要的滨海“蓝碳”生态系统[13]。全球红树林面积不足陆地面积的1%,却埋藏了至少10%的陆地有机碳,这些有机碳主要来自红树植物凋落物及其根系更新[45]。朱耀军等[6]通过对湛江高桥红树林有机碳分布埋藏特征研究发现,凋落物是沉积物有机碳的重要来源。此外,红树植物根系发达,可有效减弱水动力,固定外源沉积的有机碳[7]。研究表明,潮汐淹没频率以及极端天气引起的水动力变化是影响水体中悬浮有机颗粒沉积速率的主要驱动因子,稳定的水动力条件能固定更多外源性有机碳[8]

        目前红树林湿地沉积物有机碳的来源和埋藏特征已成为国内外研究热点,主要集中在外源性有机颗粒输入、红树林退化、水动力作用等对沉积物有机碳埋藏的影响。刘大路等[9]通过研究养殖排污导致的有机颗粒输入变化对湛江红树林湿地沉积物有机碳分布的影响,发现过量的养殖排污会抑制红树林的发展,降低红树林的储碳能力。另外,白亚之等[8]通过分析泰国湾百年来有机碳埋藏记录,发现人类活动导致的红树林退化是影响红树林沉积物有机碳埋藏的重要因素。Smoak et al.[10]基于210Pb测年分析研究红树林沉积物的沉积和有机碳埋藏与海平面上升和风暴事件的关系,发现风暴活动的增加或海平面上升的速度超过红树林沉积物的沉积速率可能会导致沉积物有机碳再悬浮、流失和沉积。

        沿浦湾位于浙江省温州市南部沿海,地处浙闽交界区,早在20世纪50年代曾引种秋茄(Kandelia candel)成功,形成了3 m多高的红树林,面积达6.6×104 m2。然而,受自然因素和人类活动的影响,沿浦河沿岸红树林逐步被养殖塘取代,红树林面积锐减,红树林面积的变化可能是影响沉积物有机碳沉积过程的重要因素。沿浦湾常受台风、赤潮等自然灾害的影响[11],极端天气造成的水动力变化以及赤潮等自然灾害输入的大量浮游植物在某些时期可能影响沉积物有机碳的埋藏。人类活动也会直接或间接影响沉积物有机碳埋藏。例如,水利工程建设会显著改变红树林沉积物有机碳埋藏的方式和通量。沿浦湾周边城镇密集,是农业产业密集区,为保护人民生命财产安全,实现高质量发展,当地大规模修建水闸、防波堤、海堤等水利工程。然而,水利工程建设会影响水体的流通性,改变水的流动方向和速率,从而影响沉积条件及有机质的输入和输出,最终改变沉积物有机碳的埋藏特征[12]。本研究以沿浦湾红树林柱状沉积物为载体,基于稳定同位素技术分析沉积物的沉积质量埋藏速率(SAR)与有机碳埋藏通量(OCAR),结合总有机碳(TOC)含量、碳氮比(C/N)等指标的变化特征,利用贝叶斯混合模型(MixSIAR)量化有机碳潜在来源贡献。研究结果将有助于揭示红树林生态系统在沿海碳循环中的作用,更好地评估人类活动对红树林沉积物碳埋藏的影响,为红树林生态系统的管理和保护提供科学依据。

      • 于2022年5月17日使用泥炭钻取样器(BBS-44)在浙江省温州市苍南县沿浦镇沿浦湾红树林(27°13′22.09″ N,120°27′16.34″ E)采集1.5 m深的柱状沉积物,现场以5 cm为间隔切割分装并使用食品级铝箔袋密封。以柱状沉积物采样点断面为中心,在红树林区沿河流走向向两侧各150 m处设置两条断面,共3条断面(红树林集中分布在沿浦河沿岸)。根据河滩潮间带水位变化,每条断面设置3个站位(L1H~L1D、L2H~L2D、L3H~L3D),每个站位均采集土壤有机物(SOM)和红树凋落物(1 m×1 m的样方)。浮游植物通过浮游植物网(0.077 mm孔径)于沿浦河水平拖网60 min采集,采集的样品用0.1 mm孔径的筛绢过滤筛选后,用锡箔纸包裹密封。悬浮有机颗粒(POM)的获取是通过采集9份5 L水样(沿浦河上游至下游随机采样)并抽滤,抽滤后的玻璃纤维滤膜用锡箔纸包裹密封。所有样品均置于-20 ℃的冰箱内恒温保存,带回实验室处理分析。

      • 柱状沉积物样品冷冻干燥后研磨至200目,称取1 g置于离心管中,滴加1 mol/L的盐酸溶液反应12 h,直至不冒泡为止,再用超纯水清洗至中性,60 ℃干燥至恒重后研磨。称取10~20 mg原始样品在元素分析仪上测得总碳(TC)和总氮(TN)的含量,称取10~20 mg酸洗样品在元素分析仪上测得TOC含量,无机碳(TIC)含量为原始样品与酸洗样品的含量差。碳氮比为质量浓度比,可由测定的总有机碳含量与总氮含量计算得到[1314]。采用550 ℃烧失量法测定沉积物有机质含量。

      • 称取0.4~0.6 mg酸洗后的沉积物样品用锡舟包埋,使用稳定同位素质谱仪测定碳氮的稳定同位素比值(δ13C和δ15N)。δ13C(‰)和δ15N(‰)计算公式[1314]如下:

        δ13C(‰)=[(Rsample-Rstandard)/Rstandard]×1 000,R=13C/12C; (1)
        δ15N(‰)=[(Rsample-Rstandard)/Rstandard]×1 000,R=15N/14N; (2)

        式中:Rsample是酸洗样品碳氮比值,Rstandard是标准碳氮比值。13C/12C和15N/14N分别对应国际标准(Vienna Pee Dee Belemnite,VPDB)与大气中的氮标准,分析误差为小于±0.2‰。

      • 称取2 g未研磨的原始样品置于离心管中,加入3 mL浓度为0.5 mol/L的六偏磷酸钠溶液震荡2 min后静置8 h,再次震荡均匀后,吸取4~5滴混合溶液加入激光粒度仪(Bettersize2600)中测定黏土、粉砂、砂的组分含量以及中值粒径(D50)。

      • 210Pb测年分析采用γ能谱仪分析系统进行分析,检测沉积物样品中210Pb、226Ra和137Cs的放射性。每个样品的计数时间为24 h。基于恒通量—恒沉积速率模式(Constant Fluxconstant Sedimentation Rate Model,CF-CS)[15]。计算公式如下:

        210Pb-226Ra=(210Pb0-226Ra0)e-dl (3)

        式中:210Pb-226Ra为l深度沉积物中过剩210Pb的活度(210Pbex),210Pb0-226Ra0为初始表层沉积物中过剩210Pb的活度,d为柱状沉积物不同深度210Pbex的对数与深度拟合曲线斜率。基于该模式的独特性,表层沉积物存在明显的生物扰动,导致过剩铅分布趋势呈现反向走势。因此,去掉0~5 cm和部分过剩铅呈现反向走势的样品计算沉积速率。沉积速率V为:

        V=ln2dT (4)

        式中:T210Pb的半衰期22.26 a。基于沉积速率,不同深度柱状沉积物的埋藏年代为:

        a=2022-DV (5)

        式中:D是柱状沉积物的深度。

      • 有机碳的埋藏通量是指有机碳在单位时间和面积内被埋藏的量[16]。计算公式如下:

        ρdry=TV (6)
        FS=ρdryS (7)
        FO=ρdrySCO (8)

        式中:ρdry为单位体积沉积物内干燥沉积物的质量,即容重(kg/m3),T为不同深度沉积物干重(kg),V为不同深度沉积物的原始体积(m3);FS为沉积质量埋藏速率SAR(kg/(m2·a));FO为有机碳埋藏通量OCAR(g/(m2·a));S为沉积速率V(m/a);CO为有机碳的含量(g/kg)。

      • 采用MixSIAR模型量化不同有机碳潜在来源的贡献比例。模型中SOM、POM、红树凋落物以及浮游植物的δ13C和δ15N值全部使用测定的原始数据,默认不发生同位素分馏,Markov Chain Monte Carlo (MCMC)运行步长设定为正常[17],模型误差选取“process+residual”。将沉积记录的不同阶段(根据TOC与OCAR随时间变化的趋势,可将有机碳的沉积分为三个阶段)和POM、SOM、红树植物凋落物以及浮游植物的同位素组成作为潜在有机碳源的分组依据,再将4个潜在有机碳源的δ13C和δ15N值代入模型确定其贡献比例。

      • 总体而言,沉积柱的总210Pb活度和210Pbex活度的垂向变化趋势基本相同,随着深度的增加,活度的垂向变化呈现衰减的趋势,即活度的数值逐渐降低(图1a)。基于恒通量—恒沉积速率模式可知,沿浦湾红树林的沉积速率约为2.2 cm/a(图1b)。在此基础上可获得近70年的连续沉积序列。此外,通过137Cs分析对沉积序列的特殊年代作为时间标记,进而验证结果的准确性。总体上,137Cs活度波动较大,蓄积峰深度为88 cm,其对应蓄积在沉积地层中的年代时间可定位1986年(图1c)。基于沉积速率可知,该深度沉积物的埋藏年代为1983年,两者较为一致。不同层位210Pbex活度对数与深度之间具有较好的相关性(R2=0.877 50),表明红树林现代沉积环境相对稳定(图1b)。

        图  1  柱状沉积物210Pb、137Cs测年的垂向分布

        Figure 1.  Vertical distribution of 210Pb and 137Cs dating in columnar sediments

      • 红树林柱状沉积物的粒度相对偏细,主要为粉砂和黏土组分。沉积物中粉砂组分含量最高,平均值为60.4%,而黏土组分含量的平均值为39.5%,相比之下,砂组分含量较少,平均值仅为0.1%(图2a)。此外,D50的平均值为5.34 μm(图2b)。不同粒径组分含量所占比例以及D50随深度变化基本保持不变,表明沉积环境相对稳定。TOC含量平均值为1.63%,相较于TOC含量,TN含量较少,平均值为0.10%(图2c,d)。C/N的平均值为15.99(图2e),其值较高表明红树林沉积物有机碳来源具有一定的复杂性。δ13C平均值为-24.08‰,δ15N平均值为4.21‰(图2f,g)。有机质含量平均值为14.28%(图2h)。TOC与TN呈显著性正相关(R2=0.238 09,图3a),表明红树林沉积物有机碳、氮的来源较一致;而TOC与δ13C呈显著性负相关(R2=0.472 69,图3b),表明较低δ13C值的碳源是沉积物有机碳的主要贡献者。

        图  2  柱状沉积物有机碳及其环境因子的垂向变化

        Figure 2.  Vertical changes of organic carbon and its environmental factors in columnar sediments

        图  3  柱状沉积物中TOC与TN/δ13C的相关关系

        Figure 3.  Correlation between TOC and TN/δ13C in columnar sediments

      • 红树林柱状沉积物SAR值介于52.03~233.61 g/(cm2·a),平均值为177.68 g/(cm2·a)(图4b),沉积物OCAR值介于112.78~473.97 g/(m2·a),平均值为286.65 g/(m2·a)(图4c)。根据TOC、SAR和OCAR随时间变化的趋势(图4a~c),可将有机碳的沉积记录分为三个阶段:(1)第一阶段为1955—1982年,这一阶段TOC含量与OCAR整体呈上升趋势,SAR最小值为152.74 g/(cm2·a),最大值为233.01 g/(cm2·a),OCAR出现最大值473.97 g/(m2·a);(2)第二阶段为1982—2014年,主要表现为TOC与OCAR整体呈下降的趋势,SAR从223.73 g/(cm2·a)下降到127.87 g/(cm2·a),OCAR也从473.97 g/(m2·a)下降到192.60 g/(m2·a);(3)第三阶段为2014—2021年,TOC与OCAR均呈先上升后下降的趋势,SAR呈下降趋势并出现最低值52.03 g/(cm2·a),OCAR出现最低值112.78 g/(m2·a)。TOC、OCAR无明显相关性(R2=0.095 78,图5a),SAR、OCAR显著性正相关(R2=0.457 66,图5b),表明红树林沉积物的SAR可能是沉积物有机碳埋藏的一个重要影响因素,较高的SAR有利于有机碳的沉积与埋藏。

        图  4  柱状沉积物中TOC、SAR、OCAR的垂直分布

        Figure 4.  Vertical distribution of TOC, SAR, OCAR in columnar sediments

        图  5  柱状沉积物中OCAR与TOC/SAR的相关关系

        Figure 5.  Correlation between OCAR and TOC/SAR in columnar sediments

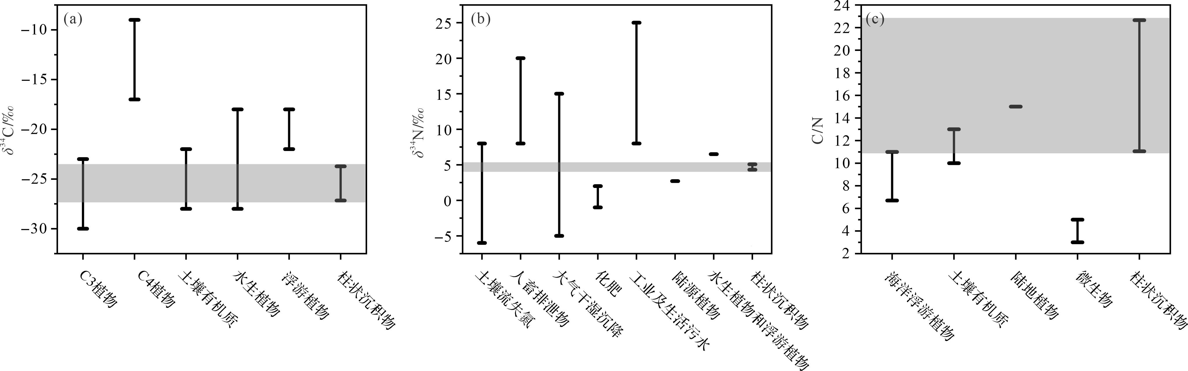
      • 根据红树林柱状沉积物的δ13C值的分布范围,初步判定C3植物、土壤有机质以及水生植物为有机碳的主要贡献者(图6a)。红树林柱状沉积物的δ15N值的分布范围表明红树林柱状沉积物氮主要受土壤流失氮和大气干湿沉降的影响(图6b)。此外,红树林柱状沉积物的C/N值范围指示海洋浮游植物、土壤有机质、陆地植物为有机质埋藏的主要贡献者(图6c)。因此,红树林柱状沉积物中有机质组成为海陆混合来源。

        图  6  柱状沉积物中δ13C、δ15N和C/N的来源分布特征

        Figure 6.  Source distribution of δ13C, δ15N and C/N in columnar sediments

        基于MixSIAR模型量化沉积物有机碳来源的贡献率发现,凋落物贡献率最大,介于49.30%~78.70%,平均值为59.44%(图7a,d);POM贡献率介于4.60%~39.90%,平均值为25.91%,POM的贡献率整体呈下降趋势(图7a,b);SOM的贡献率最小,介于2.80%~15.10%,平均值为6.09%(图7a,c);浮游植物的贡献率介于4.00%~15.40%,平均值为8.56%,SOM和浮游植物的贡献率整体呈增长趋势(图7a,c,e)。

        图  7  柱状沉积物中有机碳潜在来源贡献率及其分布特征

        Figure 7.  Contribution rate and distribution of potential sources of TOC in columnar sediments

      • 通过分析红树林沉积物中的TOC、TN和C/N,可以了解其碳、氮循环特征、物源贡献和环境变化。红树林柱状沉积物不同层位中的TOC、TN含量变化趋势基本一致,且呈显著性正相关,表明沉积物的有机碳和氮来源较为一致[8]。与沉积物中的TOC含量相比,TN含量较少可能是因为红树植物的适应策略、生物作用和环境影响综合所致,沿浦河河滩红树植物分布较集中,且有大量的大型底栖生物分布,根系吸收和生物分解等生物作用也进一步降低总氮含量,潮汐和水动力的流失与冲刷过程导致的流失和淋溶,也是沉积物中TN含量偏低的重要原因[1820]。同时,红树林柱状沉积物δ15N值的变化范围较小(3.37‰~5.08‰),表明沉积物受外源氮污染负荷影响相对较小[2122],沉积物氮主要受土壤流失氮和大气干湿沉降的影响,但SOM的贡献率相对较低,这可能是沉积物中TN含量较少的原因之一。此外,TOC和δ13C显著性负相关,表明具有较低δ13C值的碳源是沉积物有机碳的主要贡献者。红树林常受到河流输入的影响,河水携带的外源性有机碳的δ13C值较低,故降低沉积物的δ13C值[22]。同时,红树植物的δ13C值相对较低(红树植物δ13C值介于-30‰~-22‰,柱状沉积物δ13C值介于-27.16‰~-22.39‰),红树凋落物的分解会提高沉积物有机碳含量,但会降低沉积物的δ13C值。C/N比值是表征有机质来源的重要指标,通过分析C/N值可以获得有关沉积物中有机质的来源和性质信息,沉积物C/N>8,即被认为至少受2种物源的影响,陆源有机质所占的比例越高,C/N值越大[13]。红树林柱状沉积物各深度的C/N值较大,介于11.05~22.65,表明有机质来源具有一定的复杂性。

        柱状沉积物粒度组分和D50随深度变化基本保持不变,其中,D50是沉积物粒度组成的重要参数,反映沉积物整体粒度含量变化情况[23],故沉积环境较为稳定。值得注意的是,在1966年前后D50明显减小,表明河流的输沙量可能发生了变化。1965年前后,沿浦河上游水闸(27°13′45.53″ N,120°27′24.14″ E)投入使用,其拦截作用使得上游输沙量减少,导致沉积物中不同粒径的颗粒比例发生变化,从而导致沉积物D50变小,黏土组分含量增加至最大值(42.51%)。然而,在2013年前后沉积物D50明显增大,这主要是受台风影响。2013年10月7日,台风“菲特”在沙埕港沿岸登陆,沿浦湾内及周边河流水动力极大增强,水体的冲刷与流失过程导致沉积物表层的细颗粒物质流失并进入水体,故沉积物粒径出现粗化。在此之后D50变小可能是因为河口水闸(27°13′10.67″ N,120°27′26.31″ E)以及老鼠尾防波堤(27°10′0.52″ N,120°27′29.44″ E)投入使用,造成水体水动力条件减弱,水体中大量悬浮颗粒沉降到河滩表层,沉积物粒径出现迅速细化,沉积物粒度组分中黏土、粉砂含量增大。因此,极端天气和水利工程建设可能是影响红树林沉积物粒度组成的重要因素,进而影响沉积物有机碳埋藏通量。

      • 红树林柱状沉积物中SAR和OCAR的垂直分布趋势较为一致,OCAR与SAR呈显著正相关,但TOC含量与OCAR无显著相关性,表明沉积质量埋藏速率是沉积物有机碳埋藏通量变化的主要影响因素。在第一阶段(1955—1982年),红树林沉积物TOC含量整体呈稳定上升趋势,OCAR呈波动较大且明显上升趋势。然而,在1962年和1971年两个节点,TOC、SAR和OCAR均呈明显下降的趋势,这可能与高位养殖塘的扩建以及上游水闸投入使用有关。20世纪60年代初,沿浦湾周边地区开始兴起海水养殖并大规模扩建养殖塘,导致红树林生境受到挤压,部分生境的丧失降低了沉积物有机碳含量。首先,红树植物凋落物是重要的有机碳来源,当红树林被破坏后,树源和外源性有机碳输入减少,沉积物有机碳含量呈下降趋势;红树林破坏进一步促进沉积物暴露在氧化条件下,加速有机质的分解,从而降低有机碳含量。其次,红树植物根系发达能够稳定沉积物,促进上覆水悬浮有机颗粒的快速沉降;而红树林受到破坏后,根系的稳固作用减弱,降低了沉积质量埋藏速率。因此,TOC、SAR和OCAR均呈明显下降的趋势。同时,在1977年前后红树凋落物的贡献率再次显著下降,SAR却有明显的增长,这可能是因为上游水闸开闸清淤,大量淤泥随水流运输到下游红树林区域导致SAR明显上升,OCAR也呈增长趋势。此外,SAR和POM的贡献率在1971年前后存在减弱的趋势,这与上游水闸的投入使用有关,水闸拦截了大量来自上游的悬浮有机颗粒,使得OCAR呈明显的下降趋势。但在1966年前后,在上游水闸投入使用导致输沙量减少的情况下,POM和SAR的贡献率却明显增加。由于上游水闸隔绝了河流的连通性,使得大量海水在红树林潮滩蓄积,海水中的悬浮有机颗粒和泥沙滞留时间延长,从而促进这些颗粒物质的沉积。

        在第二阶段(1982—2014年),各项指标总体上呈现较大波动,但在该阶段的前期(1984—1991年)SAR和其他指标变化比较稳定,这主要与海堤建成有关。1984年前后,沿浦镇下在村至岭尾村的海堤开始建设,并于当年12月投入使用,海堤改变了水动力条件,影响沉积物的输运和分布。海堤的迎水面会受到波浪和潮流的冲刷,堤前潮间带主要由砂砾或岩石组成,而海堤的背水面受水流的阻滞影响,导致沉积物的淤积和沉降,形成较细的粉砂或黏土沉积[2425],使得位于背水侧的红树林沉积物SAR以及其他各项指标的变化相对稳定。1994年前后,强台风“弗雷德”登陆浙江南部,温州市沿海海堤几乎全线崩溃,严重影响沉积物的运输和分布,水动力增强使得SAR和其他指标均有明显的减少,堤前潮间带沉积的大颗粒物质被大量运输到河滩,沉积物表层的细颗粒物质被冲刷并进入水体,导致D50明显增大。而在1997年前后,沉积物中TOC含量显著增加,SOM和浮游植物的贡献率显著上升,但SAR却呈显著下降的趋势。1997年台风“温妮”使浙闽交界处海堤损坏严重并伴有严重的山洪暴发[11],大量陆源性有机颗粒输入,导致SOM的贡献率明显增加。同时期我国沿海发生多次大规模的赤潮事件导致浮游植物的贡献率明显增加[26],陆源性有机颗粒和大量浮游植物成为沉积物有机碳埋藏的重要来源。

        在第三阶段(2014—2021年)河口水闸和老鼠尾防波堤建成使用以及红树林修复工程的开展,使得河流水动力趋于稳定,沉积物有机碳来源由海源向树源转变,红树凋落物成为主要来源。在2014—2018年期间,受水闸的阻碍影响,海水的输入量大大减少,SAR基本保持不变,POM、SOM、浮游植物的贡献率明显下降。虽然该时期沉积物有机碳的潜在来源多元化受到遏制,但TOC含量仍有明显增加的趋势,故稳定的沉积环境和红树凋落物持续输出对有机碳的埋藏至关重要。而在2016—2018年期间,受“桑美”等台风的扰动影响红树林沉积物理化性质出现明显的波动。通过对SAR、TOC含量等指标的变化以及沉积物有机碳潜在来源贡献率变化的综合分析,可直观反映极端天气对沉积物有机碳埋藏过程的影响。台风引起的沉积环境扰动,是沉积物有机碳埋藏通量的关键影响因素;而沉积环境稳定时,有机碳的潜在来源以及水利工程建设等因素共同影响红树林沉积物有机碳的埋藏。

      • 根据红树林柱状沉积物的δ13C和C/N值的分布范围,初步判断红树林沉积物陆源有机质沉积主要为陆源植物、C3植物以及流失土壤中的有机质;海源有机质沉积主要为水生植物和随海水灌注带来的海洋浮游植物和悬浮有机颗粒物[1314]。进一步分析发现,红树林柱状沉积物有机碳的埋藏过程受红树植物凋落物的影响最大,其次是POM,而SOM和浮游植物的贡献率较小。红树凋落物是林内沉积物有机碳的直接来源,且容易分解沉积,故凋落物是沉积物有机碳埋藏的主要贡献者。当红树凋落物贡献率有明显地减少时,表明红树林生境遭受破坏。

        与红树凋落物相比,SOM的贡献较小,但整体呈上升趋势。红树林周边多为养殖区,水土流失的防控会限制SOM的输入,但养殖污水的排放也会裹挟少量陆地土壤和塘泥输入到红树林中,使得SOM贡献率存在轻微上升的趋势。而POM的贡献率变化幅度最大,整体呈下降趋势,主要受下游海水注入量和上游径流量的影响。沿浦河上游水闸和河口水闸分别投入使用后,上游淡水的输出量和下游海水的输入量大大减少,直接降低水体中悬浮有机颗粒的沉降量,因此水利设施成为红树林沉积物POM贡献率的限制因子。

        浮游植物的贡献率主要受海水输入量以及赤潮的影响。在赤潮爆发期间,输入河流的海水中所携带的浮游植物的数量和密度都会显著增加,浮游植物的贡献率也会呈显著上升的趋势。同时,上游水闸和河口水闸的使用对浮游植物输入量也有一定的影响。水闸的开启和关闭会直接影响海水进入河流的数量和速度,从而影响进入河流的浮游植物数量[27],最终影响浮游植物对红树林沉积物有机碳的贡献率。

      • (1) 沿浦湾红树林沉积物有机碳为海陆混合来源,沉积物的有机碳和氮来源较为一致,红树植物凋落物是沉积物有机碳的主要贡献者,极端天气、自然灾害、水利工程等增加沉积物有机碳来源变化的复杂性。

        (2) 沉积质量埋藏速率是影响沿浦湾红树林沉积物有机碳埋藏通量的主要影响因素,沉积质量埋藏速率主要受台风等极端天气的影响,上游水闸和河口水闸的使用对其影响也十分显著。

        (3) 通过对沿浦湾红树林沉积物有机碳埋藏记录重建,发现红树林沉积物有机碳的埋藏受极端天气和水利工程的影响较大,形成阶段性的沉积过程。

    参考文献 (27)

    目录

      /

      返回文章
      返回