当期目录
2025年 第43卷 第6期
2025, 43(6): 1897-1918.
doi: 10.14027/j.issn.1000-0550.2024.080
摘要:
意义 作为古气候还原及非常规油气勘探的重要载体,细粒沉积岩纹层近年来备受学者关注。然而,目前学术界对湖泊细粒沉积岩中纹层的形成机制及相应识别特征的研究尚不明确。 【进展】 对湖泊中细粒沉积岩纹层的形成机制、沉积特征及控制因素进行了系统总结。悬浮沉降、重力流远端稀释、底流、火山热液及微生物作用等方式,均可在湖泊环境中形成细粒沉积岩纹层。尽管不同沉积过程可能形成成分、层厚、粒度及形态相似的纹层,但它们在纹层组合、生物扰动以及其他沉积构造特征等方面存在较大差别。这些纹层的形成和分布受古气候和古地理两大类因素控制,古气候通过温度、降水、盐度和风场等要素对纹层进行控制,作用广泛且复杂,古地理通过水深、构造特征和物质来源等要素控制纹层分布格局。 展望 从理论发展和实际应用来看,目前湖泊细粒沉积岩纹层研究仍存在一些问题,未来应在查明纹层形成机制的基础上,发展科学的分类方案和有效的纹层信息提取手段,整合纹层空间尺度的变化,面向非常规油气重大需求,聚焦古气候还原、碳埋藏、生命演化及火星沉积学等前沿问题开展研究。
意义 作为古气候还原及非常规油气勘探的重要载体,细粒沉积岩纹层近年来备受学者关注。然而,目前学术界对湖泊细粒沉积岩中纹层的形成机制及相应识别特征的研究尚不明确。 【进展】 对湖泊中细粒沉积岩纹层的形成机制、沉积特征及控制因素进行了系统总结。悬浮沉降、重力流远端稀释、底流、火山热液及微生物作用等方式,均可在湖泊环境中形成细粒沉积岩纹层。尽管不同沉积过程可能形成成分、层厚、粒度及形态相似的纹层,但它们在纹层组合、生物扰动以及其他沉积构造特征等方面存在较大差别。这些纹层的形成和分布受古气候和古地理两大类因素控制,古气候通过温度、降水、盐度和风场等要素对纹层进行控制,作用广泛且复杂,古地理通过水深、构造特征和物质来源等要素控制纹层分布格局。 展望 从理论发展和实际应用来看,目前湖泊细粒沉积岩纹层研究仍存在一些问题,未来应在查明纹层形成机制的基础上,发展科学的分类方案和有效的纹层信息提取手段,整合纹层空间尺度的变化,面向非常规油气重大需求,聚焦古气候还原、碳埋藏、生命演化及火星沉积学等前沿问题开展研究。
2025, 43(6): 1919-1934.
doi: 10.14027/j.issn.1000-0550.2024.122
摘要:
意义 “白云岩问题”是沉积学领域最具争议的热点、难点问题之一。大量研究表明,无论是在实验室条件还是现代自然沉积环境中,都难以在低温、无机条件下直接沉淀有序白云石。前人研究认为白云石的形成是一个受动力学控制的过程,并提出了几种关键制约因素,包括镁离子的水合作用、抑制剂硫酸根的存在、成核位点及阳离子的有序化等。硫酸根在白云石形成过程中的作用一直备受关注,但存在较大争议。长期以来,硫酸根抑制白云石形成的假说被地质学家们广泛接受,并被用于解释地质历史时期白云岩丰度与海水性质的演化。但随着研究的深入,尤其是对微生物白云石成因机理的不断探索,人们对白云石形成过程中硫酸根作用的认识逐渐出现了争议,一些学者认为硫酸根并不会抑制白云石的形成。对硫酸根的这种争议性认识主要是由于:(1)现代白云石形成的自然沉积环境中SO4 2 - 的浓度差异较大;(2)SO4 2 - 在无机、有机,高温、低温条件下发挥的作用截然不同;(3)单一的实验室背景下得出的规律较为局限,难以推广到复杂的沉积环境中。因此,“硫酸根之谜”作为理解白云岩成因的关键一环,仍未得到解决。 【进展】 系统回顾了近60年关于硫酸根在白云石形成过程中作用的不同观点,首先阐释SO4 2 - 抑制白云石形成的两种主流观点,然后在不同条件下分析SO4 2 - 作为抑制剂的有效性,并重新解读了其在微生物白云石模式下的作用,最后探讨了类白云石矿物合成实验中硫酸根的作用,并对其中存在的问题和局限性进行了探讨。 【结论与展望】 硫酸根在白云石形成中的作用并非简单地抑制或促进,而是高度依赖于环境条件(如温度、浓度和微生物活动)。未来研究应重点关注以下几个方面:(1)重新评估硫酸根在低温条件下抑制白云石形成的有效性;(2)探究微生物活动是否会覆盖硫酸根的抑制作用;(3)厘清硫酸根自身是否发挥作用,或其衍生物质(如H₂S)在白云石沉淀中的角色;(4)在深入理解硫酸根作用的基础上,揭示地质历史时期白云岩丰度与古海洋性质(如硫酸盐浓度、氧化还原状态)演化的耦合关系,为解决“白云岩问题”提供新的理论支撑。
意义 “白云岩问题”是沉积学领域最具争议的热点、难点问题之一。大量研究表明,无论是在实验室条件还是现代自然沉积环境中,都难以在低温、无机条件下直接沉淀有序白云石。前人研究认为白云石的形成是一个受动力学控制的过程,并提出了几种关键制约因素,包括镁离子的水合作用、抑制剂硫酸根的存在、成核位点及阳离子的有序化等。硫酸根在白云石形成过程中的作用一直备受关注,但存在较大争议。长期以来,硫酸根抑制白云石形成的假说被地质学家们广泛接受,并被用于解释地质历史时期白云岩丰度与海水性质的演化。但随着研究的深入,尤其是对微生物白云石成因机理的不断探索,人们对白云石形成过程中硫酸根作用的认识逐渐出现了争议,一些学者认为硫酸根并不会抑制白云石的形成。对硫酸根的这种争议性认识主要是由于:(1)现代白云石形成的自然沉积环境中SO
2025, 43(6): 1935-1951.
doi: 10.14027/j.issn.1000-0550.2024.125
摘要:
意义 自工业革命以来,人类在使用化石燃料的过程中不断向大气排放CO2等温室气体,引起了剧烈的气候环境扰动和严重的生物危机。古新世—始新世极热事件(Paleocene-Eocene Thermal Maximum,PETM, ~56 Ma)转折期发生了巨量的碳排放事件,碳排放速率与当前的排放进程最为接近,探索PETM时期的碳排放对地球宜居性影响的过程和机制,可以为预估地球未来气候变化趋势提供地质案例,具有重要的科学意义。 【进展】 关于PETM碳排放的触发机制问题目前仍存在争议,已有研究证实北大西洋火成岩省(North Atlantic Igneous Province,NAIP)的岩浆活动与PETM之间存在时间耦合性,表明NAIP可能触发了这一地球宜居性扰动事件,但是目前该转折期火山活动和气候环境波动的因果关系尚不明晰,其最大的难点在于如何在沉积岩中示踪火山活动记录。近年来,沉积物中的汞元素浓度及其同位素已被广泛用于示踪地质历史时期的火山活动。但是,目前对PETM事件的汞记录研究主要集中在靠近NAIP喷发区域的近岸地区,缺乏对远离喷发中心的开阔海地区的研究,制约了对NAIP活动影响范围和环境效应的认知。 【结论与展望】 本文针对PETM事件汞沉积示踪古火山活动的研究现状进行了系统的回顾,梳理了NAIP与PETM之间的联系,强调未来需借助汞同位素等其他指标踪及地球系统模型等进一步准确示踪火山活动,以深化对 PETM 的认知并为预估未来气候趋势提供依据。
意义 自工业革命以来,人类在使用化石燃料的过程中不断向大气排放CO2等温室气体,引起了剧烈的气候环境扰动和严重的生物危机。古新世—始新世极热事件(Paleocene-Eocene Thermal Maximum,PETM, ~56 Ma)转折期发生了巨量的碳排放事件,碳排放速率与当前的排放进程最为接近,探索PETM时期的碳排放对地球宜居性影响的过程和机制,可以为预估地球未来气候变化趋势提供地质案例,具有重要的科学意义。 【进展】 关于PETM碳排放的触发机制问题目前仍存在争议,已有研究证实北大西洋火成岩省(North Atlantic Igneous Province,NAIP)的岩浆活动与PETM之间存在时间耦合性,表明NAIP可能触发了这一地球宜居性扰动事件,但是目前该转折期火山活动和气候环境波动的因果关系尚不明晰,其最大的难点在于如何在沉积岩中示踪火山活动记录。近年来,沉积物中的汞元素浓度及其同位素已被广泛用于示踪地质历史时期的火山活动。但是,目前对PETM事件的汞记录研究主要集中在靠近NAIP喷发区域的近岸地区,缺乏对远离喷发中心的开阔海地区的研究,制约了对NAIP活动影响范围和环境效应的认知。 【结论与展望】 本文针对PETM事件汞沉积示踪古火山活动的研究现状进行了系统的回顾,梳理了NAIP与PETM之间的联系,强调未来需借助汞同位素等其他指标踪及地球系统模型等进一步准确示踪火山活动,以深化对 PETM 的认知并为预估未来气候趋势提供依据。
2025, 43(6): 1952-1967.
doi: DOI:10.14027/j.issn.1000-0550.2023.112
摘要:
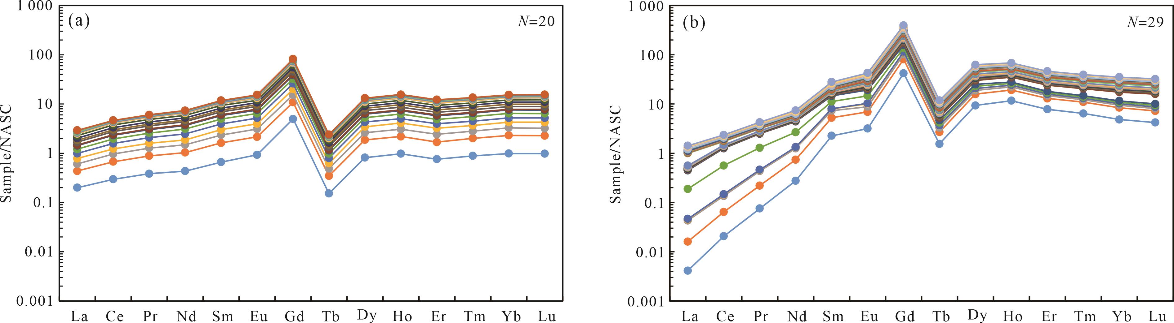
目的 目前鄂尔多斯盆地安崖剖面早侏罗世Toarcian大洋缺氧事件(Toarcian Oceanic Anoxic Event,T-OAE;~183 Ma)的研究主要聚焦于古气候条件、沉积环境演化和生物多样性变化等方面,对于T-OAE时期湖泊硫循环的特征尚不明确。因此,有必要进一步明确该事件期间湖泊硫循环机制。 方法 对安崖剖面泥岩和黑色页岩样品进行矿物学和同位素地球化学分析。同时,利用扫描电镜对黄铁矿形态进行鉴定,结合黄铁矿硫同位素(δ34Spy)、主微量元素,建立T-OAE时期硫同位素的组成特征,并对其成因进行探讨。 结果 安崖剖面样品中黄铁矿形态主要为四面体和八面体晶型集合形成的草莓状黄铁矿,样品的δ34Spy表现出正值,介于2.7‰~14.1‰,平均值为8.3‰。根据δ34Spy和总有机碳(TOC)含量的变化,并结合地球化学指标(δ13C、TS、Corg/P、(La/Yb)N),将湖泊沉积环境演化分为四个阶段(富有机质阶段Ⅰ、Ⅱ,贫有机质阶段Ⅰ、Ⅱ)。 结论 鄂尔多斯盆地安崖剖面T-OAE时期,样品的δ34Spy值与大气降水和地表径流的硫同位素组成相吻合,表明湖泊水体硫的来源主要为大气降水和地表径流。样品的硫同位素组成主要受湖泊底水的氧化还原环境与有机质含量/类型的共同影响。安崖剖面T-OAE时期硫循环受到局部/区域环境控制,而该时期全球气候变暖及水文循环加剧等为安崖剖面的硫循环提供了这种局部/区域条件。
目的 目前鄂尔多斯盆地安崖剖面早侏罗世Toarcian大洋缺氧事件(Toarcian Oceanic Anoxic Event,T-OAE;~183 Ma)的研究主要聚焦于古气候条件、沉积环境演化和生物多样性变化等方面,对于T-OAE时期湖泊硫循环的特征尚不明确。因此,有必要进一步明确该事件期间湖泊硫循环机制。 方法 对安崖剖面泥岩和黑色页岩样品进行矿物学和同位素地球化学分析。同时,利用扫描电镜对黄铁矿形态进行鉴定,结合黄铁矿硫同位素(δ34Spy)、主微量元素,建立T-OAE时期硫同位素的组成特征,并对其成因进行探讨。 结果 安崖剖面样品中黄铁矿形态主要为四面体和八面体晶型集合形成的草莓状黄铁矿,样品的δ34Spy表现出正值,介于2.7‰~14.1‰,平均值为8.3‰。根据δ34Spy和总有机碳(TOC)含量的变化,并结合地球化学指标(δ13C、TS、Corg/P、(La/Yb)N),将湖泊沉积环境演化分为四个阶段(富有机质阶段Ⅰ、Ⅱ,贫有机质阶段Ⅰ、Ⅱ)。 结论 鄂尔多斯盆地安崖剖面T-OAE时期,样品的δ34Spy值与大气降水和地表径流的硫同位素组成相吻合,表明湖泊水体硫的来源主要为大气降水和地表径流。样品的硫同位素组成主要受湖泊底水的氧化还原环境与有机质含量/类型的共同影响。安崖剖面T-OAE时期硫循环受到局部/区域环境控制,而该时期全球气候变暖及水文循环加剧等为安崖剖面的硫循环提供了这种局部/区域条件。
2025, 43(6): 1968-1977.
doi: 10.14027/j.issn.1000-0550.2024.015
摘要:
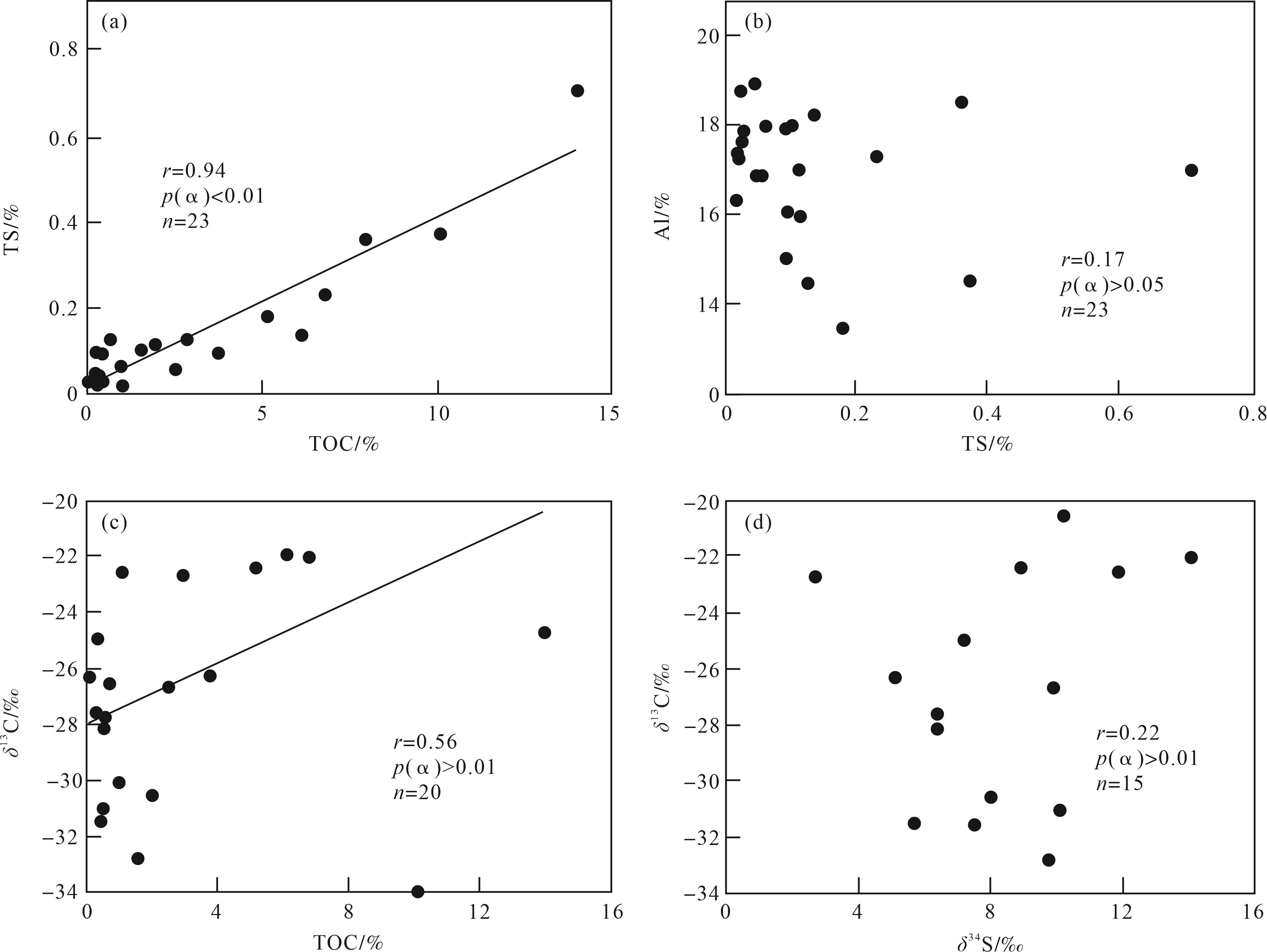
目的 碳氧同位素是碳酸盐岩重要的地球化学指标之一,在揭示沉积、成岩流体特征方面发挥着重要作用,已成为人们研究碳酸盐岩的基本手段之一。目前,国内外已开展了大量石灰岩—白云岩阶段的碳氧同位素研究,但对于硫酸盐—碳酸盐阶段的碳氧同位素研究较少。沉积序列中的硫酸盐—碳酸盐阶段,仍有可供测试的碳氧元素,为此项研究提供了可能。目前已有华蓥山地表三叠系膏盐段及澳大利亚Reichenhall含膏地层的碳氧同位素研究,但这些研究较少且均集中在地表样品。开展钻井膏盐样品碳氧同位素的研究具有重要的理论意义。 方法 在四川盆地华蓥山东侧四川邻水县高滩镇倒碑村地热井钻进过程中,以嘉陵江组—雷口坡组膏盐夹层岩屑为研究对象,开展了碳氧同位素研究。 结果 (1)倒碑地热井膏盐夹层岩屑δ13CPDB介于-4.68‰~-0.12‰,平均值为-2.86‰,δ18OPDB介于-15.47‰~-2.56‰,平均值为-9.13‰,Z值普遍低于120,与其海相沉积的特征不符。δ13CPDB、δ18OPDB值明显低于华蓥山地表三叠系膏盐地层及澳大利亚Reichenhall膏盐地层;(2)按两种计算方式地层温度分别为28.18 ℃~111.71 ℃(平均值为68.45 ℃),4.54 ℃~78.21 ℃(平均值为38.91 ℃)。前者接近地层现今温度,后者偏低可能与计算公式δ18O的取值有关。 结论 该区膏盐地层碳氧同位素主要受到地层褶皱前深埋阶段热化学硫酸岩还原作用(Thermochemical Sulfate Reduction,TSR)以及地层褶皱、断裂、抬升后地表淡水的大量灌入影响。地层褶皱前较高的地层温度和有机碳的交换,以及褶皱、断裂后地表水的淡化,是导致该区膏盐层δ13CPDB、δ18OPDB偏低的根本原因。在沉积阶段,可能有少许淡水作用和影响。
目的 碳氧同位素是碳酸盐岩重要的地球化学指标之一,在揭示沉积、成岩流体特征方面发挥着重要作用,已成为人们研究碳酸盐岩的基本手段之一。目前,国内外已开展了大量石灰岩—白云岩阶段的碳氧同位素研究,但对于硫酸盐—碳酸盐阶段的碳氧同位素研究较少。沉积序列中的硫酸盐—碳酸盐阶段,仍有可供测试的碳氧元素,为此项研究提供了可能。目前已有华蓥山地表三叠系膏盐段及澳大利亚Reichenhall含膏地层的碳氧同位素研究,但这些研究较少且均集中在地表样品。开展钻井膏盐样品碳氧同位素的研究具有重要的理论意义。 方法 在四川盆地华蓥山东侧四川邻水县高滩镇倒碑村地热井钻进过程中,以嘉陵江组—雷口坡组膏盐夹层岩屑为研究对象,开展了碳氧同位素研究。 结果 (1)倒碑地热井膏盐夹层岩屑δ13CPDB介于-4.68‰~-0.12‰,平均值为-2.86‰,δ18OPDB介于-15.47‰~-2.56‰,平均值为-9.13‰,Z值普遍低于120,与其海相沉积的特征不符。δ13CPDB、δ18OPDB值明显低于华蓥山地表三叠系膏盐地层及澳大利亚Reichenhall膏盐地层;(2)按两种计算方式地层温度分别为28.18 ℃~111.71 ℃(平均值为68.45 ℃),4.54 ℃~78.21 ℃(平均值为38.91 ℃)。前者接近地层现今温度,后者偏低可能与计算公式δ18O的取值有关。 结论 该区膏盐地层碳氧同位素主要受到地层褶皱前深埋阶段热化学硫酸岩还原作用(Thermochemical Sulfate Reduction,TSR)以及地层褶皱、断裂、抬升后地表淡水的大量灌入影响。地层褶皱前较高的地层温度和有机碳的交换,以及褶皱、断裂后地表水的淡化,是导致该区膏盐层δ13CPDB、δ18OPDB偏低的根本原因。在沉积阶段,可能有少许淡水作用和影响。
2025, 43(6): 1978-1991.
doi: 10.14027/j.issn.1000-0550.2024.001
摘要:
目的 白垩纪在地质历史上曾发生过极端温室气候、全球大洋缺氧以及富氧事件,在此时期出现的白垩纪红层蕴含着重要的古气候和古环境信息,对理解地球表层系统具有十分重要的意义。 方法 以中国东部北黄海盆地白垩纪发育的一套湖相红色厚层泥岩为主要研究对象,对取自钻井的中侏罗统至下白垩统的红色和灰色泥岩岩心样品分别开展了X射线衍射(XRD)与漫反射光谱(DRS)分析,半定量—定量分析岩石中致色矿物的组成及含量;结合普通薄片、扫描电镜等方法观察泥岩中致色矿物的赋存特征,如含铁矿物的形态、分布、晶型大小等;运用DRS二阶导数法计算泥岩样品中的赤铁矿和针铁矿的含量;并结合样品中铁氧化物的含量及其比值变化获取红色泥岩沉积期的古气候与古环境信息。 结果 红色泥岩致色矿物有赤铁矿和针铁矿,其中以赤铁矿为主,最高含量可达14%,而灰色泥岩中不含赤铁矿和针铁矿;红色泥岩在显微镜下可见赤铁矿集合体,局部可见蚀变现象;扫描电镜下可见赤铁矿呈颗粒状或板状集合体。DRS二阶导数法求出红色样品中赤铁矿平均含量为1.25 g/kg,最高可达2.62 g/kg。针铁矿含量平均为0.62 g/kg,最高可达1.19 g/kg。赤铁矿与针铁矿含量变化特征表明,晚侏罗世至早白垩世早期气候相对湿润,早白垩世中期至晚期气候以炎热干旱为主。 结论 结合岩性特征和北黄海盆地及其邻区资料,发现在研究区内利用铁氧化物反映古气候变化的方法具有可行性,综合分析认为白垩纪红色泥岩中的致色矿物具有一定的古气候与古环境指示意义。
目的 白垩纪在地质历史上曾发生过极端温室气候、全球大洋缺氧以及富氧事件,在此时期出现的白垩纪红层蕴含着重要的古气候和古环境信息,对理解地球表层系统具有十分重要的意义。 方法 以中国东部北黄海盆地白垩纪发育的一套湖相红色厚层泥岩为主要研究对象,对取自钻井的中侏罗统至下白垩统的红色和灰色泥岩岩心样品分别开展了X射线衍射(XRD)与漫反射光谱(DRS)分析,半定量—定量分析岩石中致色矿物的组成及含量;结合普通薄片、扫描电镜等方法观察泥岩中致色矿物的赋存特征,如含铁矿物的形态、分布、晶型大小等;运用DRS二阶导数法计算泥岩样品中的赤铁矿和针铁矿的含量;并结合样品中铁氧化物的含量及其比值变化获取红色泥岩沉积期的古气候与古环境信息。 结果 红色泥岩致色矿物有赤铁矿和针铁矿,其中以赤铁矿为主,最高含量可达14%,而灰色泥岩中不含赤铁矿和针铁矿;红色泥岩在显微镜下可见赤铁矿集合体,局部可见蚀变现象;扫描电镜下可见赤铁矿呈颗粒状或板状集合体。DRS二阶导数法求出红色样品中赤铁矿平均含量为1.25 g/kg,最高可达2.62 g/kg。针铁矿含量平均为0.62 g/kg,最高可达1.19 g/kg。赤铁矿与针铁矿含量变化特征表明,晚侏罗世至早白垩世早期气候相对湿润,早白垩世中期至晚期气候以炎热干旱为主。 结论 结合岩性特征和北黄海盆地及其邻区资料,发现在研究区内利用铁氧化物反映古气候变化的方法具有可行性,综合分析认为白垩纪红色泥岩中的致色矿物具有一定的古气候与古环境指示意义。
2025, 43(6): 1992-2003.
doi: 10.14027/j.issn.1000-0550.2024.003
摘要:
目的 化学风化作用是调节地球长期气候与参与全球碳循环的关键地质过程,对陆地气候演化与古气候重建尤为重要。 方法 对东北四大沙地(浑善达克沙地、科尔沁沙地、松嫩沙地和呼伦贝尔沙地)的89个风成砂和河流砂细颗粒组分(<63 μm)的化学风化特征进行分析,揭示东北沙地化学风化的空间分布特征,评估13个风化指标对气候因子(年均温度和年均降水量)的响应关系及其影响因素。 结果 同一个化学风化指标(例如化学蚀变指数,CIA)在不同沙地中表现出较差的空间分布规律,与气候因子的相关性也较差(r≤0.4,p>0.05);但不同风化指标在不同沙地中与气候因子的相关性较好(r≥0.6,p≤0.05),这表明不同风化指标在不同区域对气候的敏感程度存在差异,因此使用不同指标度量的东北沙地化学风化总体受控于气候因素,但不同沙地的化学风化强度与温度和降水量的相关性仍存在明显差异。总体上东北沙地大部分地区具有较低的化学风化强度并存在明显的空间分布特征。浑善达克沙地、科尔沁沙地东部和松嫩沙地的化学风化强度主要受降水因子影响,受控于河流作用、季风降水、地理位置和植被覆盖率等因素;科尔沁沙地西部的化学风化强度主要受温度因子影响,受地形以及较高的年均温度等因素控制;呼伦贝尔沙地的化学风化强度受温度、降水因子的影响均较弱,非气候因素(如地形、风蚀、物理风化和植被覆盖率等)可能削弱了气候对化学风化的影响。 结论 东北沙地的化学风化程度主要受气候条件的控制,但在不同沙地中不同风化指标代表的化学风化对气候的敏感程度具有显著差异。因此,在利用沉积物化学风化指标进行古气候重建时需要谨慎选择。
目的 化学风化作用是调节地球长期气候与参与全球碳循环的关键地质过程,对陆地气候演化与古气候重建尤为重要。 方法 对东北四大沙地(浑善达克沙地、科尔沁沙地、松嫩沙地和呼伦贝尔沙地)的89个风成砂和河流砂细颗粒组分(<63 μm)的化学风化特征进行分析,揭示东北沙地化学风化的空间分布特征,评估13个风化指标对气候因子(年均温度和年均降水量)的响应关系及其影响因素。 结果 同一个化学风化指标(例如化学蚀变指数,CIA)在不同沙地中表现出较差的空间分布规律,与气候因子的相关性也较差(r≤0.4,p>0.05);但不同风化指标在不同沙地中与气候因子的相关性较好(r≥0.6,p≤0.05),这表明不同风化指标在不同区域对气候的敏感程度存在差异,因此使用不同指标度量的东北沙地化学风化总体受控于气候因素,但不同沙地的化学风化强度与温度和降水量的相关性仍存在明显差异。总体上东北沙地大部分地区具有较低的化学风化强度并存在明显的空间分布特征。浑善达克沙地、科尔沁沙地东部和松嫩沙地的化学风化强度主要受降水因子影响,受控于河流作用、季风降水、地理位置和植被覆盖率等因素;科尔沁沙地西部的化学风化强度主要受温度因子影响,受地形以及较高的年均温度等因素控制;呼伦贝尔沙地的化学风化强度受温度、降水因子的影响均较弱,非气候因素(如地形、风蚀、物理风化和植被覆盖率等)可能削弱了气候对化学风化的影响。 结论 东北沙地的化学风化程度主要受气候条件的控制,但在不同沙地中不同风化指标代表的化学风化对气候的敏感程度具有显著差异。因此,在利用沉积物化学风化指标进行古气候重建时需要谨慎选择。
2025, 43(6): 2004-2014.
doi: 10.14027/j.issn.1000-0550.2023.126
摘要:
目的 红树林是重要的滨海“蓝碳”生态系统,具有强大的碳汇功能,对全球碳循环有深远的影响。 方法 以沿浦湾红树林为研究区域,采集柱状沉积物,通过210Pb定年技术建立高分辨年代地层框架,分析沉积物沉积质量埋藏速率(SAR)、有机碳埋藏通量(OCAR)及有机碳潜在来源。 结果 红树林的沉积速率约为2.2 cm/a。沉积物以粉砂和黏土为主,粒径随深度变化基本稳定,且过剩210Pb活度与深度之间具有较好的相关性,表明沉积环境较为稳定。沉积物SAR值介于52.03~233.61 g/(cm2·a),OCAR值介于112.78~473.97 g/(m2·a),较高的SAR有利于有机碳的沉积与埋藏。 结论 研究区沉积物有机碳为海陆混合来源,其中红树凋落物平均贡献率为59.44%,悬浮有机颗粒(POM)为25.91%。故红树林面积和POM的输送量是影响沉积物有机碳埋藏的重要因素。同时,极端天气、自然灾害、水利工程等因素进一步促进有机碳来源变化的复杂性。
目的 红树林是重要的滨海“蓝碳”生态系统,具有强大的碳汇功能,对全球碳循环有深远的影响。 方法 以沿浦湾红树林为研究区域,采集柱状沉积物,通过210Pb定年技术建立高分辨年代地层框架,分析沉积物沉积质量埋藏速率(SAR)、有机碳埋藏通量(OCAR)及有机碳潜在来源。 结果 红树林的沉积速率约为2.2 cm/a。沉积物以粉砂和黏土为主,粒径随深度变化基本稳定,且过剩210Pb活度与深度之间具有较好的相关性,表明沉积环境较为稳定。沉积物SAR值介于52.03~233.61 g/(cm2·a),OCAR值介于112.78~473.97 g/(m2·a),较高的SAR有利于有机碳的沉积与埋藏。 结论 研究区沉积物有机碳为海陆混合来源,其中红树凋落物平均贡献率为59.44%,悬浮有机颗粒(POM)为25.91%。故红树林面积和POM的输送量是影响沉积物有机碳埋藏的重要因素。同时,极端天气、自然灾害、水利工程等因素进一步促进有机碳来源变化的复杂性。
2025, 43(6): 2015-2027.
doi: 10.14027/j.issn.1000-0550.2024.092
摘要:
目的 准噶尔盆地车排子凸起东翼新近系沙湾组一段储层碳酸盐胶结严重,通过深入分析研究区碳酸盐胶结物发育特征和形成原因,明确其对储层物性、含油性及圈闭类型的影响。 方法 在岩心观察的基础上,综合运用薄片观察与鉴定、阴极发光(CL)、X射线衍射(XRD)等方法,对浅埋藏碳酸盐胶结物类型、分布特征、形成期次及成因进行研究。 结果 研究区沙湾组一段至少存在三期碳酸盐胶结物。第一期碳酸盐胶结物以栉壳状方解石及颗粒状菱铁矿为主,其形成主要受古气候及沉积水体影响,局部藻类发育。第二期及第三期碳酸盐胶结物以嵌晶状方解石为主,二者皆受到昌吉凹陷中下侏罗统烃源岩生排烃的影响,有机酸流体溶蚀早期碳酸盐胶结物及酸溶性颗粒,为后续碳酸盐胶结物的发育提供主要物质来源,其中第二期方解石分布广泛。研究发现,碳酸盐胶结物造成沙湾组储层早期物性差;储层孔渗性因后期酸性流体的注入而得到有效改善;碳酸盐致密胶结所形成的薄夹层在一定程度上控制了储层中油气运移及圈闭类型。 结论 明确了沙一段多期碳酸盐胶结物的类型、分布特征、形成原因及地质意义,为持续性勘探开发及寻找新的勘探目标提供支撑。
目的 准噶尔盆地车排子凸起东翼新近系沙湾组一段储层碳酸盐胶结严重,通过深入分析研究区碳酸盐胶结物发育特征和形成原因,明确其对储层物性、含油性及圈闭类型的影响。 方法 在岩心观察的基础上,综合运用薄片观察与鉴定、阴极发光(CL)、X射线衍射(XRD)等方法,对浅埋藏碳酸盐胶结物类型、分布特征、形成期次及成因进行研究。 结果 研究区沙湾组一段至少存在三期碳酸盐胶结物。第一期碳酸盐胶结物以栉壳状方解石及颗粒状菱铁矿为主,其形成主要受古气候及沉积水体影响,局部藻类发育。第二期及第三期碳酸盐胶结物以嵌晶状方解石为主,二者皆受到昌吉凹陷中下侏罗统烃源岩生排烃的影响,有机酸流体溶蚀早期碳酸盐胶结物及酸溶性颗粒,为后续碳酸盐胶结物的发育提供主要物质来源,其中第二期方解石分布广泛。研究发现,碳酸盐胶结物造成沙湾组储层早期物性差;储层孔渗性因后期酸性流体的注入而得到有效改善;碳酸盐致密胶结所形成的薄夹层在一定程度上控制了储层中油气运移及圈闭类型。 结论 明确了沙一段多期碳酸盐胶结物的类型、分布特征、形成原因及地质意义,为持续性勘探开发及寻找新的勘探目标提供支撑。
2025, 43(6): 2028-2038.
doi: 10.14027/j.issn.1000-0550.2023.134
摘要:
目的 熔积岩是一类由炽热的岩浆物质与湿冷的未固结沉积物发生同生混合而形成过渡型岩石,具有重要的古环境指示意义。 方法 通过野外露头地质调查和微观岩石学分析研究,在塔里木盆地西北缘埃迪卡拉系基性火山岩中识别出典型的熔积岩,主要包括块状熔积岩和流态熔积岩两种类型,其宿主为紫红色砂质沉积物。 结果 熔积岩主要通过岩浆顺层侵入富水未固结砂质沉积物或者在其表面流动形成,其中较薄层岩浆侵入和地表溢流玄武岩底部主要形成流态熔积岩,而较厚层岩浆侵入则发育块状熔积岩。 结论 塔里木克拉通北缘早埃迪卡拉世总体仍处于与罗迪尼亚超大陆裂解相关的板内裂谷背景,熔积岩的发育指示该地区玄武岩喷发时主要为滨岸水下沉积环境;伴随着火山喷发的结束,晚埃迪卡拉世向构造相对稳定的被动陆缘盆地或克拉通盆地转换。
目的 熔积岩是一类由炽热的岩浆物质与湿冷的未固结沉积物发生同生混合而形成过渡型岩石,具有重要的古环境指示意义。 方法 通过野外露头地质调查和微观岩石学分析研究,在塔里木盆地西北缘埃迪卡拉系基性火山岩中识别出典型的熔积岩,主要包括块状熔积岩和流态熔积岩两种类型,其宿主为紫红色砂质沉积物。 结果 熔积岩主要通过岩浆顺层侵入富水未固结砂质沉积物或者在其表面流动形成,其中较薄层岩浆侵入和地表溢流玄武岩底部主要形成流态熔积岩,而较厚层岩浆侵入则发育块状熔积岩。 结论 塔里木克拉通北缘早埃迪卡拉世总体仍处于与罗迪尼亚超大陆裂解相关的板内裂谷背景,熔积岩的发育指示该地区玄武岩喷发时主要为滨岸水下沉积环境;伴随着火山喷发的结束,晚埃迪卡拉世向构造相对稳定的被动陆缘盆地或克拉通盆地转换。
2025, 43(6): 2039-2052.
doi: 10.14027/j.issn.1000-0550.2024.007
摘要:
目的 柴达木盆地北部与西南部存在诸多平面形态类似河流的脊状地貌,为探究其成因,进行砾石组构研究,以还原脊状地貌的古沉积环境。 方法 对脊状地貌区21组砾石样品进行数据统计和形貌分析,并与汉江中游砾石层沉积物进行类比。 结果 脊状地貌区圆状与次圆状砾石占比之和介于71.6%~74.0%,扁平形砾石占比介于44.9%~54.0%,脊状地貌区与汉江中游砾石形貌的相关系数介于0.685~0.703。 结论 脊状地貌区砾石为河流沉积,如果以现代柴达木盆地水系参数为依据,脊状地貌所代表的河流古流速、古流量和古年径流量分别为0.217 m/s、1.39 m3/s、0.144 0×108 m3;基于河道宽度还原的脊状地貌区的古流量范围为14~16 m3/s,据此推算其古径流深约为2 m,对应的古流速、古流量和古年径流量分别约为0.357 m/s、14.28 m3/s、1.480 1×108 m3。
目的 柴达木盆地北部与西南部存在诸多平面形态类似河流的脊状地貌,为探究其成因,进行砾石组构研究,以还原脊状地貌的古沉积环境。 方法 对脊状地貌区21组砾石样品进行数据统计和形貌分析,并与汉江中游砾石层沉积物进行类比。 结果 脊状地貌区圆状与次圆状砾石占比之和介于71.6%~74.0%,扁平形砾石占比介于44.9%~54.0%,脊状地貌区与汉江中游砾石形貌的相关系数介于0.685~0.703。 结论 脊状地貌区砾石为河流沉积,如果以现代柴达木盆地水系参数为依据,脊状地貌所代表的河流古流速、古流量和古年径流量分别为0.217 m/s、1.39 m3/s、0.144 0×108 m3;基于河道宽度还原的脊状地貌区的古流量范围为14~16 m3/s,据此推算其古径流深约为2 m,对应的古流速、古流量和古年径流量分别约为0.357 m/s、14.28 m3/s、1.480 1×108 m3。
2025, 43(6): 2053-2067.
doi: 10.14027/j.issn.1000-0550.2023.133
摘要:
目的 渤海湾盆地辽河坳陷西部凹陷雷家地区沙四段以黏土、长英质、碳酸盐及方沸石矿物混合的湖相细粒沉积岩,为该区油气赋存的主要载体,但混合细粒岩成分复杂且横向变化快,导致储层非均质性强,为优质储层预测带来一定困难。 方法 以西部凹陷雷家地区雷15井、雷14井和雷61井为例,基于时间序列分析方法、高精度碳酸盐U-Pb定年及自然伽马测井数据对沙四段混合细粒岩进行旋回地层学分析。 结果 (1)以相关系数法估算雷15井、雷14井和雷61井的最佳沉积速率,发现最佳沉积速率依次增大,分别为10.57 cm/kyr、11.40 cm/kyr和13.93 cm/kyr;(2)对古气候替代指标(自然伽马)进行频谱分析,与标准偏心率、斜率、岁差合成曲线(ETP曲线)数据频谱分析结果进行对比,识别雷15井、雷14井和雷61井混合细粒岩中的天文旋回信号,并利用405 kyr长偏心率进行天文调谐,以雷14井2 766.61 m处年龄43.4±1.7 Ma为锚点,建立绝对天文年代标尺;(3)沙四段中识别出6个405 kyr长偏心率周期,~17个~129 kyr短偏心率周期,结合地球轨道周期与高频层序之间的联系,建立偏心率尺度的精细地层划分对比格架。 结论 通过对雷家地区沙四段开展旋回地层学研究,有效识别沙四段中天文旋回信号,以量化方式建立具备时间属性的精细地层划分对比格架,对该区油气进一步勘探具有重要指导作用,并且有望拓宽旋回地层学在渤海湾盆地的适用性。
目的 渤海湾盆地辽河坳陷西部凹陷雷家地区沙四段以黏土、长英质、碳酸盐及方沸石矿物混合的湖相细粒沉积岩,为该区油气赋存的主要载体,但混合细粒岩成分复杂且横向变化快,导致储层非均质性强,为优质储层预测带来一定困难。 方法 以西部凹陷雷家地区雷15井、雷14井和雷61井为例,基于时间序列分析方法、高精度碳酸盐U-Pb定年及自然伽马测井数据对沙四段混合细粒岩进行旋回地层学分析。 结果 (1)以相关系数法估算雷15井、雷14井和雷61井的最佳沉积速率,发现最佳沉积速率依次增大,分别为10.57 cm/kyr、11.40 cm/kyr和13.93 cm/kyr;(2)对古气候替代指标(自然伽马)进行频谱分析,与标准偏心率、斜率、岁差合成曲线(ETP曲线)数据频谱分析结果进行对比,识别雷15井、雷14井和雷61井混合细粒岩中的天文旋回信号,并利用405 kyr长偏心率进行天文调谐,以雷14井2 766.61 m处年龄43.4±1.7 Ma为锚点,建立绝对天文年代标尺;(3)沙四段中识别出6个405 kyr长偏心率周期,~17个~129 kyr短偏心率周期,结合地球轨道周期与高频层序之间的联系,建立偏心率尺度的精细地层划分对比格架。 结论 通过对雷家地区沙四段开展旋回地层学研究,有效识别沙四段中天文旋回信号,以量化方式建立具备时间属性的精细地层划分对比格架,对该区油气进一步勘探具有重要指导作用,并且有望拓宽旋回地层学在渤海湾盆地的适用性。
2025, 43(6): 2068-2087.
doi: 10.14027/j.issn.1000-0550.2023.142
摘要:
目的 海相碳酸盐岩中常见选择性溶蚀现象,前人多认为是大气淡水成岩作用的标志,其他可能的成因缺乏探讨和相关报道。 方法 基于岩石矿物学、无机碳氧同位素和元素地球化学特征,对南羌塘盆地GK-1井布曲组海相选择性溶蚀成因进行综合分析。 结果 岩石矿物学特征表明:GK-1井布曲组发育8个沉积旋回(自下而上为C1到C8),每个旋回下部为灰岩,上部为白云岩。根据旋回中碳酸盐岩组分变化,这8个旋回可分为A、B两类,A类旋回(C1~C4)中灰岩为生物碎屑泥粒灰岩和颗粒灰岩,B类旋回(C5~C8)中灰岩为生物碎屑粒泥灰岩和泥粒灰岩,从A类旋回到B类旋回,灰岩中文石质生屑含量减少,似球粒增多;两类旋回中白云岩均为晶粒白云岩,内部可见鲕粒颗粒幻影,并在幻影内部发育选择性溶孔,其中A类旋回选择性溶孔体积明显高于B类旋回。沉积旋回地球化学数据显示:白云岩碳氧同位素相对灰岩偏正;白云岩和灰岩稀土元素含量低(0.440×10-6~7.254×10-6),Y/Ho值(35.63~75.55)基本位于现代海水范围内,其中白云岩稀土元素PAAS标准化后配分模式类似海水,表现为轻稀土相对亏损,重稀土相对富集的“左倾”样式,而灰岩稀土元素PAAS标准化后配分模式相对平坦;白云岩的Ce/Ce*介于0.55~0.78(平均值为0.63),灰岩的Ce/Ce*介于0.80~0.88(平均值为0.84);氧化还原敏感元素U、Mo、V含量很低,V/(V+Ni)比值介于0.01~0.39;单个旋回中生产力指标Cu、Zn含量在白云岩中表现为高值,且白云岩的Cu、Zn含量从A类旋回到B类旋回有减小的趋势。 结论 GK-1井布曲组为海相颗粒滩沉积,沉积水体从A类旋回到B类旋回局限性增强;沉积旋回中选择性溶蚀被认为在早期海相成岩阶段,由有机质降解产生的有机酸选择性溶解文石形成,并非淡水和深埋藏成因。选择性溶孔的发育受控于文石含量、古生产力及氧化还原界面的波动:单个旋回中,白云岩相对于灰岩孔隙水更加氧化,古生产力更高,从而有利于产生有机酸,形成选择性溶孔;不同类旋回之间,A类旋回相对B类旋回文石含量更高,古生产力更高,早期海相成岩中氧化还原界面更低,因而发育更多选择性溶孔。
目的 海相碳酸盐岩中常见选择性溶蚀现象,前人多认为是大气淡水成岩作用的标志,其他可能的成因缺乏探讨和相关报道。 方法 基于岩石矿物学、无机碳氧同位素和元素地球化学特征,对南羌塘盆地GK-1井布曲组海相选择性溶蚀成因进行综合分析。 结果 岩石矿物学特征表明:GK-1井布曲组发育8个沉积旋回(自下而上为C1到C8),每个旋回下部为灰岩,上部为白云岩。根据旋回中碳酸盐岩组分变化,这8个旋回可分为A、B两类,A类旋回(C1~C4)中灰岩为生物碎屑泥粒灰岩和颗粒灰岩,B类旋回(C5~C8)中灰岩为生物碎屑粒泥灰岩和泥粒灰岩,从A类旋回到B类旋回,灰岩中文石质生屑含量减少,似球粒增多;两类旋回中白云岩均为晶粒白云岩,内部可见鲕粒颗粒幻影,并在幻影内部发育选择性溶孔,其中A类旋回选择性溶孔体积明显高于B类旋回。沉积旋回地球化学数据显示:白云岩碳氧同位素相对灰岩偏正;白云岩和灰岩稀土元素含量低(0.440×10-6~7.254×10-6),Y/Ho值(35.63~75.55)基本位于现代海水范围内,其中白云岩稀土元素PAAS标准化后配分模式类似海水,表现为轻稀土相对亏损,重稀土相对富集的“左倾”样式,而灰岩稀土元素PAAS标准化后配分模式相对平坦;白云岩的Ce/Ce*介于0.55~0.78(平均值为0.63),灰岩的Ce/Ce*介于0.80~0.88(平均值为0.84);氧化还原敏感元素U、Mo、V含量很低,V/(V+Ni)比值介于0.01~0.39;单个旋回中生产力指标Cu、Zn含量在白云岩中表现为高值,且白云岩的Cu、Zn含量从A类旋回到B类旋回有减小的趋势。 结论 GK-1井布曲组为海相颗粒滩沉积,沉积水体从A类旋回到B类旋回局限性增强;沉积旋回中选择性溶蚀被认为在早期海相成岩阶段,由有机质降解产生的有机酸选择性溶解文石形成,并非淡水和深埋藏成因。选择性溶孔的发育受控于文石含量、古生产力及氧化还原界面的波动:单个旋回中,白云岩相对于灰岩孔隙水更加氧化,古生产力更高,从而有利于产生有机酸,形成选择性溶孔;不同类旋回之间,A类旋回相对B类旋回文石含量更高,古生产力更高,早期海相成岩中氧化还原界面更低,因而发育更多选择性溶孔。
2025, 43(6): 2088-2101.
doi: 10.14027/j.issn.1000-0550.2023.137
摘要:
目的 为了重新厘定鄂尔多斯盆地宜川地区石炭系—二叠系太原组和山西组的地层界线,解决太原组—山西组界线附近的含煤系天然气砂泥岩层段的沉积年代归属问题。 方法 选取典型取心井宜120井内太原组与山西组过渡层段砂泥岩样品,进行碎屑锆石U-Pb定年,利用最大沉积年龄(Maximum Depositional Age,MDA)估算方法,结合前人对华北板块太原组—山西组锆石年龄的研究成果,约束研究层段的沉积年龄。 结果 太原组顶部砂泥岩的最大似然年龄(Maximum Likelihood Age,MLA)298±2 Ma代表其地层最晚沉积的年龄,该层段沉积于早阿瑟尔期,与牙形类生物地层确定的阿瑟尔期沉积年代一致;山西组底部砂岩样品的MLA年龄为295±1 Ma,代表了其最早沉积的年龄,该层段沉积于中—晚阿瑟尔期。 结论 研究区太原组—山西组分界线应处于太原组顶部砂泥岩层段之上,即研究区太原组顶部海相砂泥岩层应该属于太原组,这为研究区太原组—山西组的划分提供了一定的依据。
目的 为了重新厘定鄂尔多斯盆地宜川地区石炭系—二叠系太原组和山西组的地层界线,解决太原组—山西组界线附近的含煤系天然气砂泥岩层段的沉积年代归属问题。 方法 选取典型取心井宜120井内太原组与山西组过渡层段砂泥岩样品,进行碎屑锆石U-Pb定年,利用最大沉积年龄(Maximum Depositional Age,MDA)估算方法,结合前人对华北板块太原组—山西组锆石年龄的研究成果,约束研究层段的沉积年龄。 结果 太原组顶部砂泥岩的最大似然年龄(Maximum Likelihood Age,MLA)298±2 Ma代表其地层最晚沉积的年龄,该层段沉积于早阿瑟尔期,与牙形类生物地层确定的阿瑟尔期沉积年代一致;山西组底部砂岩样品的MLA年龄为295±1 Ma,代表了其最早沉积的年龄,该层段沉积于中—晚阿瑟尔期。 结论 研究区太原组—山西组分界线应处于太原组顶部砂泥岩层段之上,即研究区太原组顶部海相砂泥岩层应该属于太原组,这为研究区太原组—山西组的划分提供了一定的依据。
2025, 43(6): 2102-2113.
doi: DOI:10.14027/j.issn.1000-0550.2023.114
摘要:
目的 深入研究柴达木盆地东部台南地区第四系七个泉组滨浅湖滩坝砂体,为研究区天然气勘探前景以及预测有利勘探区带和勘探目标提供依据。 方法 在岩心观察和钻(测)井资料综合分析的基础上,结合岩石薄片、粒级—标准偏差、粒度累积概率曲线、环境敏感粒度组分等参数分析,对该地区七个泉组滨浅湖滩坝砂体粒度变化特征及其水动力学规律进行了详细研究。 结果 (1)台南地区七个泉组沉积时期为滨浅湖沉积环境,滩坝砂体发育,岩石疏松,胶结差,易破碎,粒度细,岩性主要为岩屑长石细砂岩—粉砂岩,成分成熟度中等—较差、分选磨圆度中等—较差;(2)七个泉组沉积时期,研究区滩坝砂体粒度累积概率曲线呈6种样式,主要为一跳一悬式(占64.4%),其次为多段式(占11.9%),第三为二跳一悬式(占7.5%);(3)七个泉组沉积时期,研究区滩坝砂体粒级—标准偏差图呈4种样式,主要为多峰型(占50.0%),其次为双峰型(占33.4%),单峰型和三峰型最少(均占8.3%)。结合粒度概率累积曲线和古地貌分析,确定了4种环境敏感粒度组分,粒径由细至粗,依次对应悬浮搬运作用、波浪作用、沿岸流作用和风暴浪作用,其中,最主要的水动力是波浪作用,其环境敏感粒度组分平均值占粒度总体的27.9%,其次是悬浮作用(平均值占15.3%)和沿岸流(平均值占11.4%),风暴浪作用最弱(平均值占2.3%);(4)悬浮作用对滩坝砂体发育的影响程度由台南背斜的核部向翼部增强,而波浪作用刚好相反,沿岸流作用对滩坝砂体的影响集中在背斜的东西两翼。 结论 明确了台南地区优质滩坝砂体的平面分布范围,为该地区天然气勘探开发提供了技术支撑。
目的 深入研究柴达木盆地东部台南地区第四系七个泉组滨浅湖滩坝砂体,为研究区天然气勘探前景以及预测有利勘探区带和勘探目标提供依据。 方法 在岩心观察和钻(测)井资料综合分析的基础上,结合岩石薄片、粒级—标准偏差、粒度累积概率曲线、环境敏感粒度组分等参数分析,对该地区七个泉组滨浅湖滩坝砂体粒度变化特征及其水动力学规律进行了详细研究。 结果 (1)台南地区七个泉组沉积时期为滨浅湖沉积环境,滩坝砂体发育,岩石疏松,胶结差,易破碎,粒度细,岩性主要为岩屑长石细砂岩—粉砂岩,成分成熟度中等—较差、分选磨圆度中等—较差;(2)七个泉组沉积时期,研究区滩坝砂体粒度累积概率曲线呈6种样式,主要为一跳一悬式(占64.4%),其次为多段式(占11.9%),第三为二跳一悬式(占7.5%);(3)七个泉组沉积时期,研究区滩坝砂体粒级—标准偏差图呈4种样式,主要为多峰型(占50.0%),其次为双峰型(占33.4%),单峰型和三峰型最少(均占8.3%)。结合粒度概率累积曲线和古地貌分析,确定了4种环境敏感粒度组分,粒径由细至粗,依次对应悬浮搬运作用、波浪作用、沿岸流作用和风暴浪作用,其中,最主要的水动力是波浪作用,其环境敏感粒度组分平均值占粒度总体的27.9%,其次是悬浮作用(平均值占15.3%)和沿岸流(平均值占11.4%),风暴浪作用最弱(平均值占2.3%);(4)悬浮作用对滩坝砂体发育的影响程度由台南背斜的核部向翼部增强,而波浪作用刚好相反,沿岸流作用对滩坝砂体的影响集中在背斜的东西两翼。 结论 明确了台南地区优质滩坝砂体的平面分布范围,为该地区天然气勘探开发提供了技术支撑。
2025, 43(6): 2114-2134.
doi: 10.14027/j.issn.1000-0550.2023.138
摘要:
目的 济阳坳陷大王庄地区石炭系太原组煤系地层分布广泛,煤系地层中的优质储层控制因素对油气勘探有重要影响,但是其储层特征及成因模式尚不明确。 方法 综合利用薄片鉴定、阴极发光、扫描电镜、流体包裹体、C-O同位素、原位激光剥蚀等技术方法,结合埋藏史和构造演化史研究,对济阳坳陷大王庄地区石炭系太原组煤系地层碎屑岩优质储层特征及成因模式进行了研究。 结果 济阳坳陷大王庄地区太原组煤系地层碎屑岩储层以岩屑质石英砂岩为主,优质储层储集空间以次生孔隙为主,主要为大气淡水以及有机酸溶蚀形成的填隙物溶蚀孔和长石溶蚀孔。胶结物为两期石英次生加大边和两期碳酸盐胶结物,以碳酸盐胶结物为主。两期石英加大边分别来源于石英颗粒的压溶作用和长石溶解供源。菱铁矿为同沉积—早成岩阶段由孔隙水沉淀形成的成岩碳酸盐岩,铁白云石主要与有机酸脱羧作用形成的CO2有关。 结论 沉积相控制了现今优质储层岩相的分布位置,优质储层主要受控于晚期抬升的大气淡水淋滤作用以及埋藏有机酸溶蚀作用;受构造活动控制,优质储层与对接断层的距离较远,避免了脱羧作用产生的CO2进一步沉淀形成铁白云石破坏储层物性。
目的 济阳坳陷大王庄地区石炭系太原组煤系地层分布广泛,煤系地层中的优质储层控制因素对油气勘探有重要影响,但是其储层特征及成因模式尚不明确。 方法 综合利用薄片鉴定、阴极发光、扫描电镜、流体包裹体、C-O同位素、原位激光剥蚀等技术方法,结合埋藏史和构造演化史研究,对济阳坳陷大王庄地区石炭系太原组煤系地层碎屑岩优质储层特征及成因模式进行了研究。 结果 济阳坳陷大王庄地区太原组煤系地层碎屑岩储层以岩屑质石英砂岩为主,优质储层储集空间以次生孔隙为主,主要为大气淡水以及有机酸溶蚀形成的填隙物溶蚀孔和长石溶蚀孔。胶结物为两期石英次生加大边和两期碳酸盐胶结物,以碳酸盐胶结物为主。两期石英加大边分别来源于石英颗粒的压溶作用和长石溶解供源。菱铁矿为同沉积—早成岩阶段由孔隙水沉淀形成的成岩碳酸盐岩,铁白云石主要与有机酸脱羧作用形成的CO2有关。 结论 沉积相控制了现今优质储层岩相的分布位置,优质储层主要受控于晚期抬升的大气淡水淋滤作用以及埋藏有机酸溶蚀作用;受构造活动控制,优质储层与对接断层的距离较远,避免了脱羧作用产生的CO2进一步沉淀形成铁白云石破坏储层物性。
2025, 43(6): 2135-2150.
doi: 10.14027/j.issn.1000-0550.2024.011
摘要:
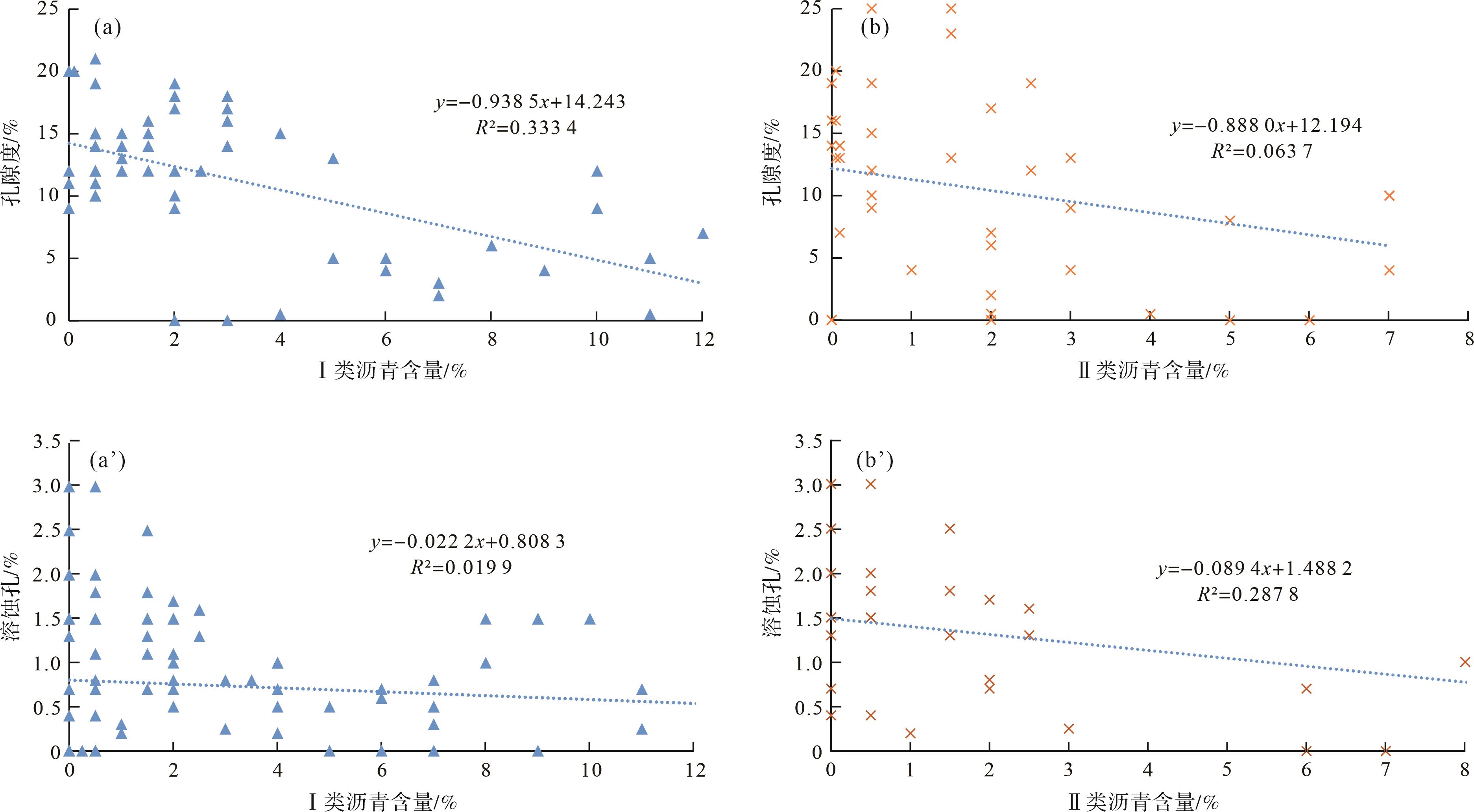
目的 沥青填隙物作为石油或天然气残留在烃源岩或储层中的烃类有机质,无论其形成还是演化均与油藏的演化史密切相关,是油气成藏及改造过程的重要标志。前人围绕储层内沥青组分的类型、成因及热演化程度等方面开展了诸多分析,但沥青对储层制约机制仍不明确。 方法 以塔北西部英买467井区白垩系巴西改组储层为例,借助铸体薄片、荧光薄片、激光拉曼实验,结合测井参数识别,探讨沥青与油气藏期次的关系,查明不同沥青类型对储层质量的影响。 结果 (1)依照主要组分与形成期次,研究层段内沥青填隙物分为两类:Ⅰ类以粒间充填为主,荧光显微镜下多呈黄褐色和褐黑色,主要组分为油质、沥青质沥青,沥青反射率多大于1%;Ⅱ类以沥青衬边的形式分布于孔隙边缘,荧光显微镜下多呈橙色和蓝(白)色,以胶质沥青为主要组分,沥青反射率偏低,介于0.42%~0.79%。(2)英买467井区Ⅰ类沥青与黄山街组烃源岩原油充注有关,受控于舒善河底不整合面和英买467同沉积断层,主要分布于巴西改组块状砂岩段Ⅲ-1砂组顶部和巴西改组薄层砂岩段Ⅱ砂组;Ⅱ类沥青与恰克马克组烃源岩油气有关,受砂体厚度影响,主要分布在块状砂岩段Ⅲ-2砂组。(3)Ⅰ类沥青对储层改造作用强,占据部分孔隙空间;Ⅱ类沥青对储层孔隙度影响较小。 结论 查明塔北西部英买467井区白垩系巴西改储层沥青填隙物类型,明确不同沥青类型对储层质量的影响,对深化研究区地质认识具有现实意义。
目的 沥青填隙物作为石油或天然气残留在烃源岩或储层中的烃类有机质,无论其形成还是演化均与油藏的演化史密切相关,是油气成藏及改造过程的重要标志。前人围绕储层内沥青组分的类型、成因及热演化程度等方面开展了诸多分析,但沥青对储层制约机制仍不明确。 方法 以塔北西部英买467井区白垩系巴西改组储层为例,借助铸体薄片、荧光薄片、激光拉曼实验,结合测井参数识别,探讨沥青与油气藏期次的关系,查明不同沥青类型对储层质量的影响。 结果 (1)依照主要组分与形成期次,研究层段内沥青填隙物分为两类:Ⅰ类以粒间充填为主,荧光显微镜下多呈黄褐色和褐黑色,主要组分为油质、沥青质沥青,沥青反射率多大于1%;Ⅱ类以沥青衬边的形式分布于孔隙边缘,荧光显微镜下多呈橙色和蓝(白)色,以胶质沥青为主要组分,沥青反射率偏低,介于0.42%~0.79%。(2)英买467井区Ⅰ类沥青与黄山街组烃源岩原油充注有关,受控于舒善河底不整合面和英买467同沉积断层,主要分布于巴西改组块状砂岩段Ⅲ-1砂组顶部和巴西改组薄层砂岩段Ⅱ砂组;Ⅱ类沥青与恰克马克组烃源岩油气有关,受砂体厚度影响,主要分布在块状砂岩段Ⅲ-2砂组。(3)Ⅰ类沥青对储层改造作用强,占据部分孔隙空间;Ⅱ类沥青对储层孔隙度影响较小。 结论 查明塔北西部英买467井区白垩系巴西改储层沥青填隙物类型,明确不同沥青类型对储层质量的影响,对深化研究区地质认识具有现实意义。
2025, 43(6): 2151-2167.
doi: 10.14027/j.issn.1000-0550.2023.131
摘要:
目的 中国陆相页岩油资源十分丰富,勘探潜力巨大。目前济阳坳陷沙一段页岩油的勘探开发已取得实质性突破,但不同岩相泥岩间的储集性差异还存在一些问题尚待解决。 方法 选取济阳坳陷沙河街组泥岩为研究对象,采用X射线衍射、岩石热解、荧光分析、扫描电镜、低温气体吸附等研究手段,详细探讨了渤南洼陷沙一段纹层状泥岩纹层类型、纹层组合及纹层组合的孔隙类型和孔隙结构特征。 结果 沙一段泥岩矿物类型多样,根据成分不同,将研究区泥岩中纹层划分为长英质纹层、黏土矿物纹层、文石纹层、泥晶方解石纹层和富有机质纹层五种类型,根据其垂向叠置关系划分为“富有机质+泥晶方解石质”“富有机质+文石质”“富有机质+长英质”三种二元纹层组合。其中,“富有机质+文石质”和“富有机质+长英质”二元组合泥岩的孔隙度相对较高,且孔隙结构与连通性优于“富有机质+泥晶方解石质”二元组合泥岩。在“富有机质+文石质”二元纹层组合泥岩中,页岩油以游离态赋存于层间缝中,可动性最好;“富有机质+文石质”二元纹层组合泥岩中游离油与吸附油共存,可动性相对较差;而在“富有机质+长英质”二元纹层组合泥岩中页岩油主要以吸附态形式存在,可动性最差。 结论 不同泥岩的孔隙度、孔隙结构及油气富集机理受到纹层组合形式的决定性控制作用,其油气赋存模式可以为未—低成熟度页岩油开采起到指导作用。
目的 中国陆相页岩油资源十分丰富,勘探潜力巨大。目前济阳坳陷沙一段页岩油的勘探开发已取得实质性突破,但不同岩相泥岩间的储集性差异还存在一些问题尚待解决。 方法 选取济阳坳陷沙河街组泥岩为研究对象,采用X射线衍射、岩石热解、荧光分析、扫描电镜、低温气体吸附等研究手段,详细探讨了渤南洼陷沙一段纹层状泥岩纹层类型、纹层组合及纹层组合的孔隙类型和孔隙结构特征。 结果 沙一段泥岩矿物类型多样,根据成分不同,将研究区泥岩中纹层划分为长英质纹层、黏土矿物纹层、文石纹层、泥晶方解石纹层和富有机质纹层五种类型,根据其垂向叠置关系划分为“富有机质+泥晶方解石质”“富有机质+文石质”“富有机质+长英质”三种二元纹层组合。其中,“富有机质+文石质”和“富有机质+长英质”二元组合泥岩的孔隙度相对较高,且孔隙结构与连通性优于“富有机质+泥晶方解石质”二元组合泥岩。在“富有机质+文石质”二元纹层组合泥岩中,页岩油以游离态赋存于层间缝中,可动性最好;“富有机质+文石质”二元纹层组合泥岩中游离油与吸附油共存,可动性相对较差;而在“富有机质+长英质”二元纹层组合泥岩中页岩油主要以吸附态形式存在,可动性最差。 结论 不同泥岩的孔隙度、孔隙结构及油气富集机理受到纹层组合形式的决定性控制作用,其油气赋存模式可以为未—低成熟度页岩油开采起到指导作用。
2025, 43(6): 2168-2186.
doi: 10.14027/j.issn.1000-0550.2024.017
摘要:
目的 青海油田台南地区涩北组中上段发育典型的滩坝沉积,是重要的优质储集层。其滩坝砂体的形成机制与分布模式一直存在争议,限制了气田进一步勘探开发,亟需开展台南地区滩坝内部精细表征,明确沉积微相类型,建立对应的滩坝沉积模式。 方法 以沉积学为指导,考虑形成滩坝时水动力差异性,导致形成砂体粒度、渗透率不同,以粒度中值为纽带,总结岩石相的测井相响应模板,确定沉积微相测井解释标准与动态响应,更科学地划分滩坝沉积微相;基于现代沉积卫星图像类比、研究区密井网区砂体解剖,利用水平井和生产资料进行微相类型划分合理性验证后,考虑滩坝成因受多种因素控制,提出了适用于内陆坳陷湖盆的滩坝沉积模式。 结果 台南地区涩北组中上段滩、坝亚相可进一步划分为坝主体、坝缘、滩主体、滩缘微相,坝砂分布于滩砂之上,垂直于北西风向延伸,形态为透镜状、弯月形,长度约1 250 m,宽度约250 m,坝砂长、宽呈线性正相关,值约为5;滩砂整体呈连片状垂直物源方向展布,仅低水位期出露;通过田吉兹湖滩坝现代沉积类比,坝砂延伸方向、分布规律、长宽比均有较好对应。古构造、古地貌、古季风、古物源、古水深共同控制了滩坝发育规模、坝砂发育形态及形成滩坝的地理位置。 结论 提出“开阔浅湖、风浪改造、斜列式”滩坝的沉积模式,以期为内陆坳陷湖盆滩坝体系识别提供理论指导。
目的 青海油田台南地区涩北组中上段发育典型的滩坝沉积,是重要的优质储集层。其滩坝砂体的形成机制与分布模式一直存在争议,限制了气田进一步勘探开发,亟需开展台南地区滩坝内部精细表征,明确沉积微相类型,建立对应的滩坝沉积模式。 方法 以沉积学为指导,考虑形成滩坝时水动力差异性,导致形成砂体粒度、渗透率不同,以粒度中值为纽带,总结岩石相的测井相响应模板,确定沉积微相测井解释标准与动态响应,更科学地划分滩坝沉积微相;基于现代沉积卫星图像类比、研究区密井网区砂体解剖,利用水平井和生产资料进行微相类型划分合理性验证后,考虑滩坝成因受多种因素控制,提出了适用于内陆坳陷湖盆的滩坝沉积模式。 结果 台南地区涩北组中上段滩、坝亚相可进一步划分为坝主体、坝缘、滩主体、滩缘微相,坝砂分布于滩砂之上,垂直于北西风向延伸,形态为透镜状、弯月形,长度约1 250 m,宽度约250 m,坝砂长、宽呈线性正相关,值约为5;滩砂整体呈连片状垂直物源方向展布,仅低水位期出露;通过田吉兹湖滩坝现代沉积类比,坝砂延伸方向、分布规律、长宽比均有较好对应。古构造、古地貌、古季风、古物源、古水深共同控制了滩坝发育规模、坝砂发育形态及形成滩坝的地理位置。 结论 提出“开阔浅湖、风浪改造、斜列式”滩坝的沉积模式,以期为内陆坳陷湖盆滩坝体系识别提供理论指导。
2025, 43(6): 2187-2201.
doi: 10.14027/j.issn.1000-0550.2024.121
摘要:
目的 系统研究沉积体系与沉积模式是厘清碎屑岩优质储层发育机理的基础。 方法 以松南低凸起YA区渐新统为研究对象,运用钻井取心、薄片鉴定、古生物化石鉴定、粒度分析、测井及地震解释等手段,系统研究其沉积体系及沉积演化,恢复了YA区古近系沉积环境。 结果 渐新统中下部(崖城组)岩性主要为中—粗砂岩、含砾砂岩。砂岩分选性较差,矿物成分自下而上逐渐趋于稳定,成熟度逐渐提高。粒度概率累积曲线呈现悬浮和跳跃特征,化石丰度极低。沉积相类型以扇三角洲、滨浅湖及湖岸平原为主。渐新统中上部(陵水组)岩性以粉细砂岩、泥岩为主,化石丰度显著增加。沉积相类型以滨海、浅水陆棚、深水陆棚为主。研究区在渐新世从海陆过渡相转为浅海相。崖城组沉积时期盆地处于强烈断陷与快速补偿时期。地震相以前积和杂乱反射结构为主要特征。断层活动导致区内形成凹凸相间的构造格局,水体较浅。凹陷中心处发育滨浅湖相,陡坡处及水体较深处发育扇三角洲相,缓坡处及水体较浅处发育辫状河三角洲相。陵水组沉积时期盆地处于快速断陷与欠补偿时期。地震相以平行—亚平行反射结构为主要特征。断裂活动引起沉积水体加深。凹陷中心整体发育浅水陆棚相与深水陆棚相,凹陷周缘零星发育扇三角洲。 结论 YA区渐新统为强烈断陷沉积,沉积相类型及展布受构造运动显著影响。盆地充填样式与沉积演化特点体现了不同时期内盆地沉积模式。
目的 系统研究沉积体系与沉积模式是厘清碎屑岩优质储层发育机理的基础。 方法 以松南低凸起YA区渐新统为研究对象,运用钻井取心、薄片鉴定、古生物化石鉴定、粒度分析、测井及地震解释等手段,系统研究其沉积体系及沉积演化,恢复了YA区古近系沉积环境。 结果 渐新统中下部(崖城组)岩性主要为中—粗砂岩、含砾砂岩。砂岩分选性较差,矿物成分自下而上逐渐趋于稳定,成熟度逐渐提高。粒度概率累积曲线呈现悬浮和跳跃特征,化石丰度极低。沉积相类型以扇三角洲、滨浅湖及湖岸平原为主。渐新统中上部(陵水组)岩性以粉细砂岩、泥岩为主,化石丰度显著增加。沉积相类型以滨海、浅水陆棚、深水陆棚为主。研究区在渐新世从海陆过渡相转为浅海相。崖城组沉积时期盆地处于强烈断陷与快速补偿时期。地震相以前积和杂乱反射结构为主要特征。断层活动导致区内形成凹凸相间的构造格局,水体较浅。凹陷中心处发育滨浅湖相,陡坡处及水体较深处发育扇三角洲相,缓坡处及水体较浅处发育辫状河三角洲相。陵水组沉积时期盆地处于快速断陷与欠补偿时期。地震相以平行—亚平行反射结构为主要特征。断裂活动引起沉积水体加深。凹陷中心整体发育浅水陆棚相与深水陆棚相,凹陷周缘零星发育扇三角洲。 结论 YA区渐新统为强烈断陷沉积,沉积相类型及展布受构造运动显著影响。盆地充填样式与沉积演化特点体现了不同时期内盆地沉积模式。
2025, 43(6): 2202-2219.
doi: 10.14027/j.issn.1000-0550.2023.132
摘要:
目的 准噶尔盆地车排子地区新近系沙湾组一段是车排子地区的主要目的层段,其沉积相类型、分布范围仍然存在争议。 方法 综合运用录井、岩心、测井、分析化验及地震资料等,采用层序地层学、地震地貌学和沉积学的方法和技术,建立了沙一段层序地层格架,研究了车排子地区沙一段沉积相特征,恢复了古地貌。 结果 将沙一段分为1个三级层序和4个四级层序,沙一段1砂组、沙一段2砂组下部、沙一段2砂组上部和沙一段3砂组分别对应于低位体系域、水侵体系域、高位体系域下部和高位体系域上部,对应于四级层序PSS1、PSS2、PSS3和PSS4。沙一段为双物源沉积,分别为西北部的扎伊尔山物源和南部的天山物源;西北物源属于浅水扇三角洲沉积环境,南物源为辫状河三角洲沉积环境;西北物源发育东西两个不同规模的浅水扇三角洲复合沉积体。车排子地区东北端坡度较陡,沟谷较窄,形成了规模较小的陡坡型浅水扇三角洲的复合沉积体,以重力流沉积为主;西南端坡度较缓,沟谷较宽,形成了规模较大的缓坡型浅水扇三角洲的复合沉积体,以牵引流沉积为主;低位—水侵时期,扇三角洲沉积楔的上超尖灭线与古地貌基本一致,低位体系域扇三角洲主要分布于构造坡折带以下,与辫状河三角洲在车排子地区南部交互沉积,湖相范围最小;水侵体系域和高位体系域下部的扇三角洲主要在构造坡折带以上沉积,湖相范围最大;高位体系域上部的扇三角洲在构造坡折带附近沉积。 结论 构造古地貌及相对湖平面变化是车排子地区沙一段扇三角洲沉积特征的主控因素。
目的 准噶尔盆地车排子地区新近系沙湾组一段是车排子地区的主要目的层段,其沉积相类型、分布范围仍然存在争议。 方法 综合运用录井、岩心、测井、分析化验及地震资料等,采用层序地层学、地震地貌学和沉积学的方法和技术,建立了沙一段层序地层格架,研究了车排子地区沙一段沉积相特征,恢复了古地貌。 结果 将沙一段分为1个三级层序和4个四级层序,沙一段1砂组、沙一段2砂组下部、沙一段2砂组上部和沙一段3砂组分别对应于低位体系域、水侵体系域、高位体系域下部和高位体系域上部,对应于四级层序PSS1、PSS2、PSS3和PSS4。沙一段为双物源沉积,分别为西北部的扎伊尔山物源和南部的天山物源;西北物源属于浅水扇三角洲沉积环境,南物源为辫状河三角洲沉积环境;西北物源发育东西两个不同规模的浅水扇三角洲复合沉积体。车排子地区东北端坡度较陡,沟谷较窄,形成了规模较小的陡坡型浅水扇三角洲的复合沉积体,以重力流沉积为主;西南端坡度较缓,沟谷较宽,形成了规模较大的缓坡型浅水扇三角洲的复合沉积体,以牵引流沉积为主;低位—水侵时期,扇三角洲沉积楔的上超尖灭线与古地貌基本一致,低位体系域扇三角洲主要分布于构造坡折带以下,与辫状河三角洲在车排子地区南部交互沉积,湖相范围最小;水侵体系域和高位体系域下部的扇三角洲主要在构造坡折带以上沉积,湖相范围最大;高位体系域上部的扇三角洲在构造坡折带附近沉积。 结论 构造古地貌及相对湖平面变化是车排子地区沙一段扇三角洲沉积特征的主控因素。
2025, 43(6): 2220-2236.
doi: 10.14027/j.issn.1000-0550.2023.125
摘要:
目的 三塘湖盆地是新疆北部重要的油气勘探区块,明确盆地内部的沉积相、砂体展布以及物源体系,对研究区的油气勘探开发具有重要的指导作用。 方法 利用岩心和测井数据,对条湖—马朗凹陷中下侏罗统的沉积相平面分布特征及沉积演化规律进行了系统研究,同时利用重矿物和碎屑锆石U-Pb定年测试对重点地层进行初步的物源分析。 结果 三塘湖盆地条湖—马朗凹陷早中侏罗世主要为辫状河三角洲沉积环境。八道湾组沉积时期北部辫状河三角洲沉积体系较为发育,向南延伸较远,而南部沉积体系分布范围较小。三工河组沉积时期湖盆范围扩大,凹陷内部以辫状河三角洲前缘和前三角洲—浅湖沉积为主,三角洲前缘朵体展布范围小且孤立。西山窑组一段沉积时期,沉积中心向南迁移,北部发育大量辫状河三角洲水下分流河道和前缘砂体,与南侧的三角洲下平原和三角洲前缘沉积交汇。条湖—马朗凹陷存在近物源和远物源混合,近物源来自盆地南缘和北缘逆冲推覆带,远物源来自额德伦金山,经过长距离搬运,最终从条湖凹陷东北部和马朗凹陷北部汇入盆地。 结论 沉积体系和“源—汇”系统综合分析明确了条湖—马朗凹陷中下侏罗世沉积相和砂体展布情况,为三塘湖盆地油气勘探提供了地质依据。
目的 三塘湖盆地是新疆北部重要的油气勘探区块,明确盆地内部的沉积相、砂体展布以及物源体系,对研究区的油气勘探开发具有重要的指导作用。 方法 利用岩心和测井数据,对条湖—马朗凹陷中下侏罗统的沉积相平面分布特征及沉积演化规律进行了系统研究,同时利用重矿物和碎屑锆石U-Pb定年测试对重点地层进行初步的物源分析。 结果 三塘湖盆地条湖—马朗凹陷早中侏罗世主要为辫状河三角洲沉积环境。八道湾组沉积时期北部辫状河三角洲沉积体系较为发育,向南延伸较远,而南部沉积体系分布范围较小。三工河组沉积时期湖盆范围扩大,凹陷内部以辫状河三角洲前缘和前三角洲—浅湖沉积为主,三角洲前缘朵体展布范围小且孤立。西山窑组一段沉积时期,沉积中心向南迁移,北部发育大量辫状河三角洲水下分流河道和前缘砂体,与南侧的三角洲下平原和三角洲前缘沉积交汇。条湖—马朗凹陷存在近物源和远物源混合,近物源来自盆地南缘和北缘逆冲推覆带,远物源来自额德伦金山,经过长距离搬运,最终从条湖凹陷东北部和马朗凹陷北部汇入盆地。 结论 沉积体系和“源—汇”系统综合分析明确了条湖—马朗凹陷中下侏罗世沉积相和砂体展布情况,为三塘湖盆地油气勘探提供了地质依据。
2025, 43(6): 2237-2248.
doi: 10.14027/j.issn.1000-0550.2023.116
摘要:
目的 川中地区中侏罗统沙溪庙组是四川盆地重要的致密气勘探开发层系,目前沙溪庙组一段(沙一段)的油气勘探开发处于初期阶段,整体研究薄弱,特别是对优质砂体分布起控制作用的物源研究缺乏系统性认识。 方法 以岩石学分析为基础,结合元素地球化学特征,对川中地区沙一段物源进行了研究。 结果 (1)川中地区沙一段的砂岩主要发育长石岩屑和岩屑长石砂岩,火成岩岩屑以安山岩为主,安山岩岩屑在下伏地层中较少发育,川东北和川东南地区沙一段中常见;(2)川中地区沙一段重矿物以石榴子石和绿帘石为主,绿帘石在下伏地层中少见,但在川东北和川东南大量发育;(3)F1⁃F2、SiO2⁃TiO2、La/Th⁃Hf、Co/Th⁃La/Sc判别图显示,川中地区沙一段源岩主要为长英质火山岩,少量沉积岩。 结论 川中地区沙一段砂岩物源主要来自川东北大巴山,盆地周缘其他方向物源供给有限。该认识为四川盆地致密气有利区的划分以及勘探开发提供了有力支撑。
目的 川中地区中侏罗统沙溪庙组是四川盆地重要的致密气勘探开发层系,目前沙溪庙组一段(沙一段)的油气勘探开发处于初期阶段,整体研究薄弱,特别是对优质砂体分布起控制作用的物源研究缺乏系统性认识。 方法 以岩石学分析为基础,结合元素地球化学特征,对川中地区沙一段物源进行了研究。 结果 (1)川中地区沙一段的砂岩主要发育长石岩屑和岩屑长石砂岩,火成岩岩屑以安山岩为主,安山岩岩屑在下伏地层中较少发育,川东北和川东南地区沙一段中常见;(2)川中地区沙一段重矿物以石榴子石和绿帘石为主,绿帘石在下伏地层中少见,但在川东北和川东南大量发育;(3)F1⁃F2、SiO2⁃TiO2、La/Th⁃Hf、Co/Th⁃La/Sc判别图显示,川中地区沙一段源岩主要为长英质火山岩,少量沉积岩。 结论 川中地区沙一段砂岩物源主要来自川东北大巴山,盆地周缘其他方向物源供给有限。该认识为四川盆地致密气有利区的划分以及勘探开发提供了有力支撑。
2025, 43(6): 2249-2263.
doi: 10.14027/j.issn.1000-0550.2023.136
摘要:
目的 鄂尔多斯盆地盐下碳酸盐岩成藏过程存在较多争议,乌审旗地区奥陶系马家沟组盐下储层中发育多期含有烃及沥青包裹体的方解石,对流体来源和油气成藏过程具有重要指示作用。 方法 通过岩心观察、岩石薄片鉴定、阴极发光、稀土元素、C、O、Sr同位素、显微荧光及激光拉曼等实验方法,划分方解石发育期次,分析成脉流体来源,开展流体包裹体研究,揭示与烃类伴生的流体活动对油气成藏的意义。 结果 乌审旗地区碳酸盐岩储层中发育4期方解石脉(C1、C2、C3、C4),而且不同期次方解石脉特征及来源不同。C1和C4成脉流体来源于围岩溶解,其碳氧锶同位素与奥陶纪海水碳氧锶同位素一致,稀土配分模式具有海水特征。C2方解石脉具有很负的碳同位素值,较高87Sr/86Sr值和总稀土含量,Eu正异常,流体来源于外部地层。C3方解石具有较负的碳同位素值,更高的87Sr/86Sr值和总稀土含量,流体同样来源于外部地层。此外,C2和C3两期方解石脉上发育沥青包裹体,表明油气进入储层后发生裂解。 结论 研究区可能经历了两期外部地层来源的油气充注,方解石脉的研究有助于约束鄂尔多斯盆地及其他盆地的油气成藏过程。
目的 鄂尔多斯盆地盐下碳酸盐岩成藏过程存在较多争议,乌审旗地区奥陶系马家沟组盐下储层中发育多期含有烃及沥青包裹体的方解石,对流体来源和油气成藏过程具有重要指示作用。 方法 通过岩心观察、岩石薄片鉴定、阴极发光、稀土元素、C、O、Sr同位素、显微荧光及激光拉曼等实验方法,划分方解石发育期次,分析成脉流体来源,开展流体包裹体研究,揭示与烃类伴生的流体活动对油气成藏的意义。 结果 乌审旗地区碳酸盐岩储层中发育4期方解石脉(C1、C2、C3、C4),而且不同期次方解石脉特征及来源不同。C1和C4成脉流体来源于围岩溶解,其碳氧锶同位素与奥陶纪海水碳氧锶同位素一致,稀土配分模式具有海水特征。C2方解石脉具有很负的碳同位素值,较高87Sr/86Sr值和总稀土含量,Eu正异常,流体来源于外部地层。C3方解石具有较负的碳同位素值,更高的87Sr/86Sr值和总稀土含量,流体同样来源于外部地层。此外,C2和C3两期方解石脉上发育沥青包裹体,表明油气进入储层后发生裂解。 结论 研究区可能经历了两期外部地层来源的油气充注,方解石脉的研究有助于约束鄂尔多斯盆地及其他盆地的油气成藏过程。
2025, 43(6): 2264-2281.
doi: 10.14027/j.issn.1000-0550.2023.127
摘要:
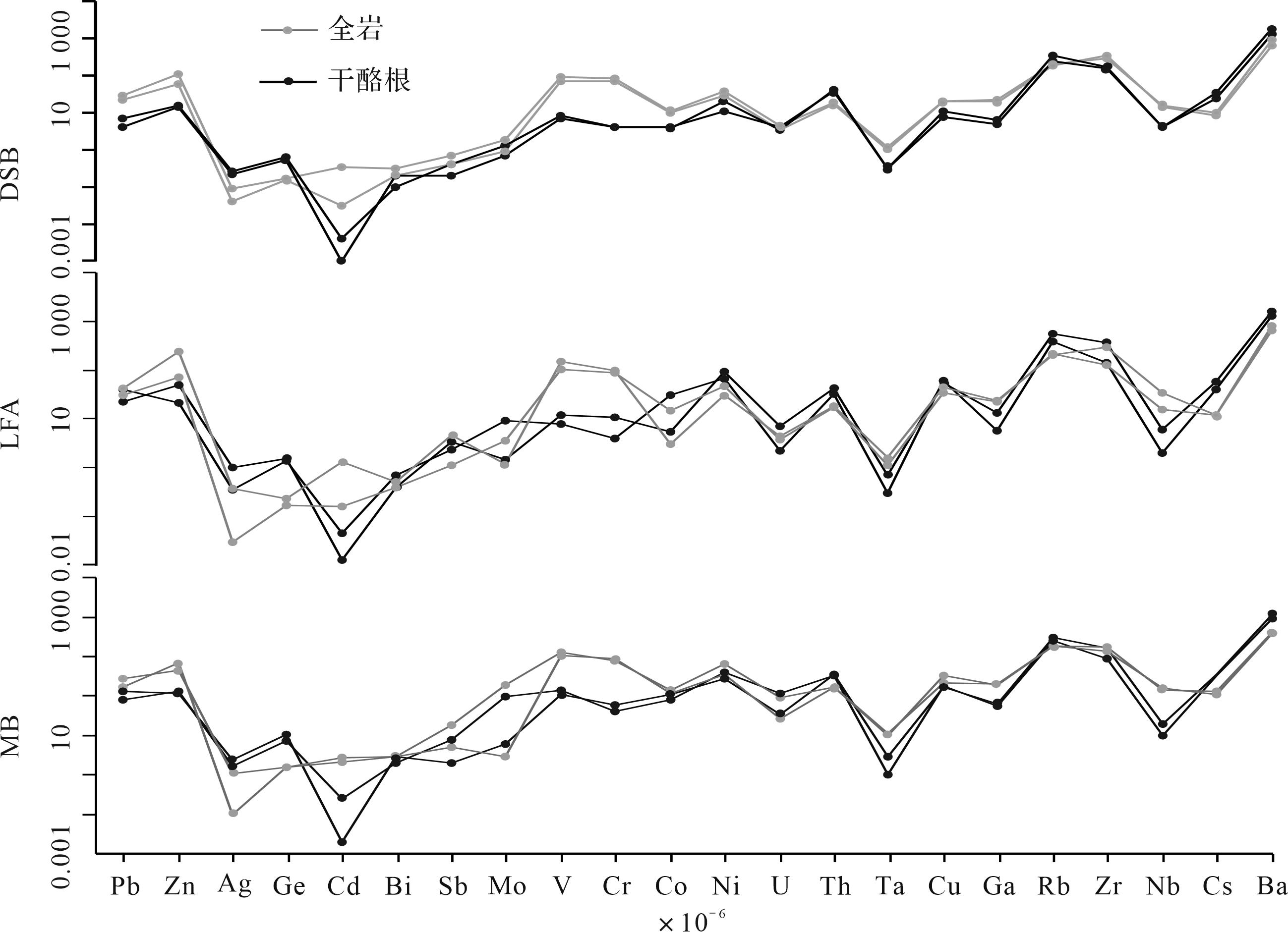
目的 滇黔北坳陷不仅是我国南方海相页岩气的重要探区和产地,也是我国重要的伴生有关键金属的大型—超大型密西西比河谷(MVT)型铅锌成矿区。铅锌矿床中不断发现高Pb、Zn含量的沥青或古油藏,探讨研究区黑色页岩干酪根中微量元素分布特征对铅锌找矿选区具有启示意义。 方法 以滇黔北坳陷东部大石板、凉风坳、毛坝地区的黑色页岩露头为研究对象,采用微波消解法对黑色页岩中干酪根进行前处理,并结合岩相学及矿相学观察,对黑色页岩及干酪根中微量元素进行分析测试,通过黑色页岩干酪根中元素地球化学特征研究其成矿的物质贡献以及黑色页岩沉积环境。 结果 Pb、Zn、Cd、Bi、Sb、V、Cr、Ni总体在全岩中含量高于干酪根,Ag、Ge、U、Th在干酪根中含量高于全岩。全岩及干酪根中轻稀土相对富集、重稀土相对亏损。全岩中Eu、部分Ce呈弱负异常;干酪根表现出较强的Ce负异常,Eu弱负异常,总稀土含量均高于全岩。在五峰组—龙马溪组干酪根中三个氧化还原指标(U/Th、Ni/Co、V/Cr)显示五峰组为贫氧—缺氧环境、龙马溪组为富氧—贫氧的环境;研究区利用Co元素计算古水深范围为6.85~54.37 m,Sr/Cu反映的古气候整体为温湿气候,Sr/Ba值均小于0.5,代表了微咸水沉积环境;同时五峰组古生产力大于龙马溪组。 结论 研究区五峰组—龙马溪组总体呈富氧—贫氧的动荡沉积环境,具有温湿气候的微咸水浅水陆棚相沉积特征。黑色页岩干酪根中微量元素可以为区域找矿选区评价提供依据。
目的 滇黔北坳陷不仅是我国南方海相页岩气的重要探区和产地,也是我国重要的伴生有关键金属的大型—超大型密西西比河谷(MVT)型铅锌成矿区。铅锌矿床中不断发现高Pb、Zn含量的沥青或古油藏,探讨研究区黑色页岩干酪根中微量元素分布特征对铅锌找矿选区具有启示意义。 方法 以滇黔北坳陷东部大石板、凉风坳、毛坝地区的黑色页岩露头为研究对象,采用微波消解法对黑色页岩中干酪根进行前处理,并结合岩相学及矿相学观察,对黑色页岩及干酪根中微量元素进行分析测试,通过黑色页岩干酪根中元素地球化学特征研究其成矿的物质贡献以及黑色页岩沉积环境。 结果 Pb、Zn、Cd、Bi、Sb、V、Cr、Ni总体在全岩中含量高于干酪根,Ag、Ge、U、Th在干酪根中含量高于全岩。全岩及干酪根中轻稀土相对富集、重稀土相对亏损。全岩中Eu、部分Ce呈弱负异常;干酪根表现出较强的Ce负异常,Eu弱负异常,总稀土含量均高于全岩。在五峰组—龙马溪组干酪根中三个氧化还原指标(U/Th、Ni/Co、V/Cr)显示五峰组为贫氧—缺氧环境、龙马溪组为富氧—贫氧的环境;研究区利用Co元素计算古水深范围为6.85~54.37 m,Sr/Cu反映的古气候整体为温湿气候,Sr/Ba值均小于0.5,代表了微咸水沉积环境;同时五峰组古生产力大于龙马溪组。 结论 研究区五峰组—龙马溪组总体呈富氧—贫氧的动荡沉积环境,具有温湿气候的微咸水浅水陆棚相沉积特征。黑色页岩干酪根中微量元素可以为区域找矿选区评价提供依据。