2024年 第42卷 第6期
2024, 42(6): 1849-1875.
doi: 10.14027/j.issn.1000-0550.2024.101
摘要:
目的 元古宙—早古生代全球超大陆聚合—裂解深刻影响并约束了华南古大陆的地质演化过程及其资源与环境效应。 方法 以全球超大陆聚散旋回为主线,重点针对华南古大陆元古宙—早古生代的构造格局、形成演化、动力学机制及其资源环境效应等内容,力求系统梳理、全面总结与客观评述近年来所取得的最新成果与认识,提升对华南古大陆演化及其资源环境效应的认识与研究水平。 结果与结论 扬子地块古元古代早期经历了与劳伦大陆相似的碰撞事件,显示二者在哥伦比亚(Colombia)超大陆聚合之前即已具有构造亲缘性;尽管扬子地块北缘和西南缘在古元古代中晚期的构造演化存在时空差异性,但与哥伦比亚超大陆的聚合—裂解过程基本同步,与此同时华夏地块仅经历了与超大陆聚合有关的俯冲—碰撞事件;华南广泛发育的前~820 Ma不整合界面,代表了新元古代罗迪尼亚(Rodinia)超大陆解体之后新一轮沉积超覆的起点,随后南华裂谷历经了裂谷幼年期(~820~800 Ma)、裂谷成熟期(~800~720 Ma)、早冰期(~720~660 Ma)、间冰期(~660~650 Ma)和晚冰期(~650~635 Ma)等5个演化阶段;华南古大陆早古生代造山作用响应于冈瓦纳(Gondwana)大陆的聚合,与印度或澳大利亚显示古地理亲缘性。超大陆聚合裂解与雪球地球等地质事件密切相关,而构造—岩浆—沉积作用主导了前寒武纪铁、铜、锰等大型超大型特色矿产资源的形成,盆地隆—坳格局则控制了含油气盆地优质烃源岩、规模性储层及区域性盖层等关键石油地质条件的形成与演化。
目的 元古宙—早古生代全球超大陆聚合—裂解深刻影响并约束了华南古大陆的地质演化过程及其资源与环境效应。 方法 以全球超大陆聚散旋回为主线,重点针对华南古大陆元古宙—早古生代的构造格局、形成演化、动力学机制及其资源环境效应等内容,力求系统梳理、全面总结与客观评述近年来所取得的最新成果与认识,提升对华南古大陆演化及其资源环境效应的认识与研究水平。 结果与结论 扬子地块古元古代早期经历了与劳伦大陆相似的碰撞事件,显示二者在哥伦比亚(Colombia)超大陆聚合之前即已具有构造亲缘性;尽管扬子地块北缘和西南缘在古元古代中晚期的构造演化存在时空差异性,但与哥伦比亚超大陆的聚合—裂解过程基本同步,与此同时华夏地块仅经历了与超大陆聚合有关的俯冲—碰撞事件;华南广泛发育的前~820 Ma不整合界面,代表了新元古代罗迪尼亚(Rodinia)超大陆解体之后新一轮沉积超覆的起点,随后南华裂谷历经了裂谷幼年期(~820~800 Ma)、裂谷成熟期(~800~720 Ma)、早冰期(~720~660 Ma)、间冰期(~660~650 Ma)和晚冰期(~650~635 Ma)等5个演化阶段;华南古大陆早古生代造山作用响应于冈瓦纳(Gondwana)大陆的聚合,与印度或澳大利亚显示古地理亲缘性。超大陆聚合裂解与雪球地球等地质事件密切相关,而构造—岩浆—沉积作用主导了前寒武纪铁、铜、锰等大型超大型特色矿产资源的形成,盆地隆—坳格局则控制了含油气盆地优质烃源岩、规模性储层及区域性盖层等关键石油地质条件的形成与演化。
2024, 42(6): 1876-1889.
doi: 10.14027/j.issn.1000-0550.2024.089
摘要:
目的 新元古代是华南板块演化过程中的重要阶段,该时期的岩石记录了丰富的地壳增生、再造和重塑信息,并奠定了华南板块的物质基础。深入研究华南板块新元古代的地壳演化历史对理解华南板块的资源环境效应、全球新元古代超大陆聚合和离散以及后续的生命大爆发等重大事件具有重要的意义。 方法 梳理华南板块新元古代早—中期的重要地质记录。 结果与结论 指出华南板块及其周边地区在新元古代可能长期存在海陆格局和多个地体(或微陆块),而地体边界可由一系列的主动和被动大陆边缘岩石单元约束。华南板块在新元古代时期表现出来的与汇聚造山有关的俯冲带物质循环、岩浆和变质记录、增生杂岩、构造变形等关键证据共同表明,华南板块在新元古代早—中期可能存在长期的增生型造山作用和与之相关的多地体向扬子陆块的汇聚—拼贴过程。该增生造山和多地体汇聚过程较早以扬子北部为汇聚核心,随后由于地体拼贴主动大陆边缘逐步向外迁移而扩张,大陆不断增生,最终造就了现今华南板块的大体格局。同时,地体汇聚边界成为显生宙壳幔相互作用和地壳分异的重要地区,很可能在显生宙的成矿过程中发挥了重要作用,这为研究基底组成特征与显生宙成矿作用之间的联系提供了一个新思路。
目的 新元古代是华南板块演化过程中的重要阶段,该时期的岩石记录了丰富的地壳增生、再造和重塑信息,并奠定了华南板块的物质基础。深入研究华南板块新元古代的地壳演化历史对理解华南板块的资源环境效应、全球新元古代超大陆聚合和离散以及后续的生命大爆发等重大事件具有重要的意义。 方法 梳理华南板块新元古代早—中期的重要地质记录。 结果与结论 指出华南板块及其周边地区在新元古代可能长期存在海陆格局和多个地体(或微陆块),而地体边界可由一系列的主动和被动大陆边缘岩石单元约束。华南板块在新元古代时期表现出来的与汇聚造山有关的俯冲带物质循环、岩浆和变质记录、增生杂岩、构造变形等关键证据共同表明,华南板块在新元古代早—中期可能存在长期的增生型造山作用和与之相关的多地体向扬子陆块的汇聚—拼贴过程。该增生造山和多地体汇聚过程较早以扬子北部为汇聚核心,随后由于地体拼贴主动大陆边缘逐步向外迁移而扩张,大陆不断增生,最终造就了现今华南板块的大体格局。同时,地体汇聚边界成为显生宙壳幔相互作用和地壳分异的重要地区,很可能在显生宙的成矿过程中发挥了重要作用,这为研究基底组成特征与显生宙成矿作用之间的联系提供了一个新思路。
2024, 42(6): 1890-1902.
doi: DOI:10.14027/j.issn.1000-0550.2024.111
摘要:
目的 川西金口河地区出露大量新元古代辉绿岩脉,蕴含扬子克拉通西缘构造演化的重要信息,对理解扬子克拉通早期演化与Rodinia超大陆聚散的关系具有重要意义。 方法 对金口河辉绿岩进行了SHRIMP锆石U-Pb年代学和全岩地球化学分析。 结果 金口河地区侵入峨边群辉绿岩的锆石U-Pb年龄为823.5±9.6 Ma(MSWD=1.3,n=10)。金口河辉绿岩属于拉斑玄武岩系列,显示一定程度的Nb-Ta亏损和Eu负异常,兼具岛弧玄武岩和板内玄武岩的地球化学特征。 结论 金口河辉绿岩可能起源于浅层尖晶石—石榴石二辉橄榄岩的部分熔融,其原始岩浆遭受了俯冲熔体的交代。综合区域相关地质资料,推测其很可能形成于后碰撞伸展环境,与Rodinia超大陆聚合背景下扬子克拉通的最终拼合形成有关。
目的 川西金口河地区出露大量新元古代辉绿岩脉,蕴含扬子克拉通西缘构造演化的重要信息,对理解扬子克拉通早期演化与Rodinia超大陆聚散的关系具有重要意义。 方法 对金口河辉绿岩进行了SHRIMP锆石U-Pb年代学和全岩地球化学分析。 结果 金口河地区侵入峨边群辉绿岩的锆石U-Pb年龄为823.5±9.6 Ma(MSWD=1.3,n=10)。金口河辉绿岩属于拉斑玄武岩系列,显示一定程度的Nb-Ta亏损和Eu负异常,兼具岛弧玄武岩和板内玄武岩的地球化学特征。 结论 金口河辉绿岩可能起源于浅层尖晶石—石榴石二辉橄榄岩的部分熔融,其原始岩浆遭受了俯冲熔体的交代。综合区域相关地质资料,推测其很可能形成于后碰撞伸展环境,与Rodinia超大陆聚合背景下扬子克拉通的最终拼合形成有关。
2024, 42(6): 1903-1917.
doi: 10.14027/j.issn.1000-0550.2023.122
摘要:
目的 华南东南部在早古生代发生了大规模的褶皱造山运动——广西运动。该期造山运动的属性仍然存在较大争议。为了确定华南广西运动的动力学机制,尝试利用碎屑多矿物U-Pb年代学恢复早古生代扬子地块和华夏地块的古地理位置以及相对位移。 方法 重新评估了扬子地块和华夏地块下古生界碎屑锆石/独居石U-Pb年代学和Hf同位素数据,并与潜在源区进行对比。 结果 (1)扬子西缘寒武系—奥陶系碎屑锆石具有850~750 Ma 和550~500 Ma两期主要的特征年龄峰,以及1 000~900 Ma、1 900~1 800 Ma和2 550~2 400 Ma三个次要年龄峰。扬子西缘550~500 Ma碎屑锆石的εHf(t)值多为正值,指示岩浆源区中大量新生地壳物质的参与,其源区可能为伊朗—土耳其Cadomian岩浆弧。新元古代碎屑锆石主要来自于扬子西缘岩浆岩和下伏新元古界沉积岩的再循环;(2)华夏地块寒武系—奥陶系碎屑锆石/独居石具有1 000~900 Ma和550~500 Ma两期主要的年龄峰,前者对应于印度东北部的East Ghats造山带和东南极洲板块的Rayner造山带,而后者对应于印度东北缘的Kuunga造山带;(3)扬子东南缘志留系碎屑锆石460~410 Ma的年龄峰与华夏地区过铝质花岗岩浆活动的年龄相吻合,大于440 Ma峰值年龄的碎屑锆石则具有与该地区前志留纪样品相似的年龄峰。 结论 物源分析结果表明寒武纪至奥陶纪期间华夏地块和扬子地块分别位于印度东北缘和伊朗东北缘,两者的古地理位置沿冈瓦纳大陆北缘斜列分布。晚奥陶世(~460 Ma)响应于冈瓦纳大陆的最终聚合发生斜向走滑汇聚,形成武夷—云开陆内造山带(460~420 Ma)。
目的 华南东南部在早古生代发生了大规模的褶皱造山运动——广西运动。该期造山运动的属性仍然存在较大争议。为了确定华南广西运动的动力学机制,尝试利用碎屑多矿物U-Pb年代学恢复早古生代扬子地块和华夏地块的古地理位置以及相对位移。 方法 重新评估了扬子地块和华夏地块下古生界碎屑锆石/独居石U-Pb年代学和Hf同位素数据,并与潜在源区进行对比。 结果 (1)扬子西缘寒武系—奥陶系碎屑锆石具有850~750 Ma 和550~500 Ma两期主要的特征年龄峰,以及1 000~900 Ma、1 900~1 800 Ma和2 550~2 400 Ma三个次要年龄峰。扬子西缘550~500 Ma碎屑锆石的εHf(t)值多为正值,指示岩浆源区中大量新生地壳物质的参与,其源区可能为伊朗—土耳其Cadomian岩浆弧。新元古代碎屑锆石主要来自于扬子西缘岩浆岩和下伏新元古界沉积岩的再循环;(2)华夏地块寒武系—奥陶系碎屑锆石/独居石具有1 000~900 Ma和550~500 Ma两期主要的年龄峰,前者对应于印度东北部的East Ghats造山带和东南极洲板块的Rayner造山带,而后者对应于印度东北缘的Kuunga造山带;(3)扬子东南缘志留系碎屑锆石460~410 Ma的年龄峰与华夏地区过铝质花岗岩浆活动的年龄相吻合,大于440 Ma峰值年龄的碎屑锆石则具有与该地区前志留纪样品相似的年龄峰。 结论 物源分析结果表明寒武纪至奥陶纪期间华夏地块和扬子地块分别位于印度东北缘和伊朗东北缘,两者的古地理位置沿冈瓦纳大陆北缘斜列分布。晚奥陶世(~460 Ma)响应于冈瓦纳大陆的最终聚合发生斜向走滑汇聚,形成武夷—云开陆内造山带(460~420 Ma)。
2024, 42(6): 1918-1935.
doi: 10.14027/j.issn.1000-0550.2024.094
摘要:
目的 经历早古生代武夷—云开造山运动后,华南东部进入晚古生代构造平静期,区域内发生大范围海侵事件并沉积了厚层的上古生界沉积序列。其中,泥盆系—下二叠统空谷阶的地层厚度展布、岩相横向变化等特征对了解华南东部在武夷—云开造山垮塌后的古地貌继承、晚古生代盆地沉降、海平面变化等方面有重要意义。 方法 对区内泥盆纪—早二叠世空谷期地层进行厚度和岩性统计,分别编制了早泥盆世、中泥盆世、晚泥盆世、早石炭世、晚石炭世—早二叠世萨克马尔期、早二叠世亚丁斯克期—空谷期的地层等厚图和平面岩相图,并计算各世期的盆地沉降速率。 结果 武夷—云开造山垮塌之后,华南晚古生代盆地的形成与演化可分为两个阶段。第一阶段发生在泥盆纪时期,华南东部呈东北高、西南低的地势特征,盆地沉降速率大(约25 m/Ma)。第二阶段发生在石炭纪—早二叠世空谷期,构造活动趋于平静,盆地大范围接受海侵,盆地沉降速率小(约10 m/Ma)。 结论 晚古生代盆地发生第一阶段沉降主要受控于构造活动,其构造活动机制主要为武夷—云开造山垮塌,并且与华南板块从冈瓦纳大陆裂离所产生的拉张作用也有一定关联。盆地发生第二阶段沉降主要受控于沉积物负载和气候变化,且晚泥盆世—早石炭世气候变化对盆地沉降的影响较大。
目的 经历早古生代武夷—云开造山运动后,华南东部进入晚古生代构造平静期,区域内发生大范围海侵事件并沉积了厚层的上古生界沉积序列。其中,泥盆系—下二叠统空谷阶的地层厚度展布、岩相横向变化等特征对了解华南东部在武夷—云开造山垮塌后的古地貌继承、晚古生代盆地沉降、海平面变化等方面有重要意义。 方法 对区内泥盆纪—早二叠世空谷期地层进行厚度和岩性统计,分别编制了早泥盆世、中泥盆世、晚泥盆世、早石炭世、晚石炭世—早二叠世萨克马尔期、早二叠世亚丁斯克期—空谷期的地层等厚图和平面岩相图,并计算各世期的盆地沉降速率。 结果 武夷—云开造山垮塌之后,华南晚古生代盆地的形成与演化可分为两个阶段。第一阶段发生在泥盆纪时期,华南东部呈东北高、西南低的地势特征,盆地沉降速率大(约25 m/Ma)。第二阶段发生在石炭纪—早二叠世空谷期,构造活动趋于平静,盆地大范围接受海侵,盆地沉降速率小(约10 m/Ma)。 结论 晚古生代盆地发生第一阶段沉降主要受控于构造活动,其构造活动机制主要为武夷—云开造山垮塌,并且与华南板块从冈瓦纳大陆裂离所产生的拉张作用也有一定关联。盆地发生第二阶段沉降主要受控于沉积物负载和气候变化,且晚泥盆世—早石炭世气候变化对盆地沉降的影响较大。
2024, 42(6): 1936-1947.
doi: 10.14027/j.issn.1000-0550.2024.072
摘要:
目的 扬子西缘峨边群传统上被认为是华南中元古代晚期的代表性地层单元之一,其沉积时限与物源特征可为重建全球Rodinia超大陆汇聚背景下扬子陆块的中—新元古代构造演化过程提供重要约束。 方法 对峨边群变质碎屑沉积岩开展了岩石学和碎屑锆石U-Pb年代学分析。 结果 获得了峨边群枷担桥组两件变质细粒岩屑砂岩样品的碎屑锆石年龄区间为1 950~900 Ma,主要相对概率峰值为~910 Ma、~1 570和~1 730 Ma,以及次要峰值为~1 130 Ma、~1 390 Ma、~1 840 Ma、~2 500 Ma和~2 550 Ma。最大沉积年龄分别为908±8 Ma(MSWD=0.10,n=5)和905±5 Ma(MSWD=0.52,n=9)。 结论 结合区域已有相关资料,峨边群枷担桥组的沉积时限为~910 Ma至~860 Ma,其主要沉积物源来自扬子西缘南侧的古—中元古代岩浆岩,推测可能形成于新元古代早期微陆块拼合的构造背景,与Rodinia超大陆的全球性汇聚过程相关。
目的 扬子西缘峨边群传统上被认为是华南中元古代晚期的代表性地层单元之一,其沉积时限与物源特征可为重建全球Rodinia超大陆汇聚背景下扬子陆块的中—新元古代构造演化过程提供重要约束。 方法 对峨边群变质碎屑沉积岩开展了岩石学和碎屑锆石U-Pb年代学分析。 结果 获得了峨边群枷担桥组两件变质细粒岩屑砂岩样品的碎屑锆石年龄区间为1 950~900 Ma,主要相对概率峰值为~910 Ma、~1 570和~1 730 Ma,以及次要峰值为~1 130 Ma、~1 390 Ma、~1 840 Ma、~2 500 Ma和~2 550 Ma。最大沉积年龄分别为908±8 Ma(MSWD=0.10,n=5)和905±5 Ma(MSWD=0.52,n=9)。 结论 结合区域已有相关资料,峨边群枷担桥组的沉积时限为~910 Ma至~860 Ma,其主要沉积物源来自扬子西缘南侧的古—中元古代岩浆岩,推测可能形成于新元古代早期微陆块拼合的构造背景,与Rodinia超大陆的全球性汇聚过程相关。
2024, 42(6): 1948-1957.
doi: 10.14027/j.issn.1000-0550.2024.014
摘要:
目的 火地垭群是扬子陆块西北缘前寒武纪重要的地层单元,同时也是中国重要的石墨矿含矿层位,但其沉积时代、物源及形成的构造背景长期存在争论。 方法 对旺苍地区火地垭群上两组的绢云千枚岩进行了LA-ICP-MS锆石U-Pb定年研究。 结果与结论 获得碎屑锆石的年龄范围为832~988 Ma,集中分布于832~843 Ma 、855~883 Ma 、895~936 Ma 和952~973 Ma 四个区间,最大沉积年龄为837.6±6.0 Ma(MSWD=0.60,n=5)。结合已有研究成果,将旺苍地区火地垭群的沉积时代限定为910~835 Ma,而非前人长期认为的中元古代;物源主要来自周围的岩体,主体方向为东(南)和西北;综合沉积时代、物源、碎屑锆石年龄及区域地质特征,旺苍地区火地垭群上两组形成于接收双向物源的弧后盆地,是Rodinia超大陆聚合晚期在扬子陆块西北缘的响应。
目的 火地垭群是扬子陆块西北缘前寒武纪重要的地层单元,同时也是中国重要的石墨矿含矿层位,但其沉积时代、物源及形成的构造背景长期存在争论。 方法 对旺苍地区火地垭群上两组的绢云千枚岩进行了LA-ICP-MS锆石U-Pb定年研究。 结果与结论 获得碎屑锆石的年龄范围为832~988 Ma,集中分布于832~843 Ma 、855~883 Ma 、895~936 Ma 和952~973 Ma 四个区间,最大沉积年龄为837.6±6.0 Ma(MSWD=0.60,n=5)。结合已有研究成果,将旺苍地区火地垭群的沉积时代限定为910~835 Ma,而非前人长期认为的中元古代;物源主要来自周围的岩体,主体方向为东(南)和西北;综合沉积时代、物源、碎屑锆石年龄及区域地质特征,旺苍地区火地垭群上两组形成于接收双向物源的弧后盆地,是Rodinia超大陆聚合晚期在扬子陆块西北缘的响应。
2024, 42(6): 1958-1970.
doi: 10.14027/j.issn.1000-0550.2023.095
摘要:
目的 扬子陆块北缘大洪山地区莲沱组是华南新元古代中期重要的地层单元,其形成时期和Rodinia超大陆裂解具有耦合性,与第一次雪球地球Sturtian冰期启动时间具有先后性,但其沉积时限和物源仍需进一步研究。 方法 对该区域莲沱组碎屑锆石U-Pb年代学、古流向和砾石成分进行了分析。 结果 研究区莲沱组沉积时限为800~714 Ma,碎屑锆石年龄显著峰值为2 500 Ma、2 000 Ma、880 Ma和820 Ma,次要峰值为780 Ma;物源来自下伏地层打鼓石群和花山群沉积的再旋回以及扬子陆块北缘的太古代—新元古代岩浆岩,主体来自研究区北东方向。 结论 鄂西地区、鄂东南至赣西北地区、鄂西南至湘北地区和鄂北大洪山地区主体具有相似的太古代、古元古代和新元古代碎屑锆石年龄峰值,根据扬子陆块北缘—东南缘岩浆岩分布特征,指示扬子陆块区域上莲沱组物源主体具有北—北东向供给,进而揭示该时期扬子陆块北缘—东南缘具有北高南低、北陡南缓的古地理格局。
目的 扬子陆块北缘大洪山地区莲沱组是华南新元古代中期重要的地层单元,其形成时期和Rodinia超大陆裂解具有耦合性,与第一次雪球地球Sturtian冰期启动时间具有先后性,但其沉积时限和物源仍需进一步研究。 方法 对该区域莲沱组碎屑锆石U-Pb年代学、古流向和砾石成分进行了分析。 结果 研究区莲沱组沉积时限为800~714 Ma,碎屑锆石年龄显著峰值为2 500 Ma、2 000 Ma、880 Ma和820 Ma,次要峰值为780 Ma;物源来自下伏地层打鼓石群和花山群沉积的再旋回以及扬子陆块北缘的太古代—新元古代岩浆岩,主体来自研究区北东方向。 结论 鄂西地区、鄂东南至赣西北地区、鄂西南至湘北地区和鄂北大洪山地区主体具有相似的太古代、古元古代和新元古代碎屑锆石年龄峰值,根据扬子陆块北缘—东南缘岩浆岩分布特征,指示扬子陆块区域上莲沱组物源主体具有北—北东向供给,进而揭示该时期扬子陆块北缘—东南缘具有北高南低、北陡南缓的古地理格局。
2024, 42(6): 1971-1985.
doi: 10.14027/j.issn.1000-0550.2024.041
摘要:
【目的与方法】 为系统揭示大别地区经历的岩浆构造热事件及地壳生长历程,对大别地区3条不同河流碎屑沉积物中的锆石开展U-Pb-Hf同位素分析。 【结果】 锆石U-Pb年龄可分为4组:2 676~2 424 Ma、2 035~1 812 Ma、890~748 Ma、140~120 Ma。锆石Hf二阶段模式年龄(tDM2)亦可分为4组:3 371~3 241 Ma、2 470~2 329 Ma、1 858~1 751 Ma和1 132~1 072 Ma。 【结论】 (1)大别地区记录的岩浆活动可大致分为9个阶段,分别为4.00~3.00 Ga、2.90~2.40 Ga、2.10~1.80 Ga、0.90~0.70 Ga、0.14~0.12 Ga的“爆发期”,与3.00~2.90 Ga,2.40~2.10 Ga,1.80~0.90 Ga,0.70~0.14 Ga的“平静期”;(2)大别地区主要经历了4期构造热事件,分别发生在新太古代晚期(~2.50 Ga)、古元古代中期(~2.00 Ga)、三叠纪(0.24~0.20 Ga)与白垩纪(0.14~0.12 Ga);(3)大别地区主要经历4期显著的地壳生长,地球形成初期约4.4~4.1 Ga地壳初始生长、4.0~2.8 Ga地壳快速生长累积、2.6~2.0 Ga持续地壳生长与2.0 Ga以来地壳缓慢生长,大别地区2.7~2.4 Ga的岩浆活动十分强烈,说明该时期地壳再造事件也十分普遍;(4)~2.0 Ga之前大别与黄陵地区岩浆、变质、地壳生长事件存在明显差异,表明在此之前两者更可能为独立的微陆块。
【目的与方法】 为系统揭示大别地区经历的岩浆构造热事件及地壳生长历程,对大别地区3条不同河流碎屑沉积物中的锆石开展U-Pb-Hf同位素分析。 【结果】 锆石U-Pb年龄可分为4组:2 676~2 424 Ma、2 035~1 812 Ma、890~748 Ma、140~120 Ma。锆石Hf二阶段模式年龄(tDM2)亦可分为4组:3 371~3 241 Ma、2 470~2 329 Ma、1 858~1 751 Ma和1 132~1 072 Ma。 【结论】 (1)大别地区记录的岩浆活动可大致分为9个阶段,分别为4.00~3.00 Ga、2.90~2.40 Ga、2.10~1.80 Ga、0.90~0.70 Ga、0.14~0.12 Ga的“爆发期”,与3.00~2.90 Ga,2.40~2.10 Ga,1.80~0.90 Ga,0.70~0.14 Ga的“平静期”;(2)大别地区主要经历了4期构造热事件,分别发生在新太古代晚期(~2.50 Ga)、古元古代中期(~2.00 Ga)、三叠纪(0.24~0.20 Ga)与白垩纪(0.14~0.12 Ga);(3)大别地区主要经历4期显著的地壳生长,地球形成初期约4.4~4.1 Ga地壳初始生长、4.0~2.8 Ga地壳快速生长累积、2.6~2.0 Ga持续地壳生长与2.0 Ga以来地壳缓慢生长,大别地区2.7~2.4 Ga的岩浆活动十分强烈,说明该时期地壳再造事件也十分普遍;(4)~2.0 Ga之前大别与黄陵地区岩浆、变质、地壳生长事件存在明显差异,表明在此之前两者更可能为独立的微陆块。
2024, 42(6): 1986-2005.
doi: 10.14027/j.issn.1000-0550.2024.036
摘要:
目的 厘定湖南地区新元古代沉积地层的沉积时代、物源和构造背景,是理解江南造山带中段构造演化过程的关键要素。 方法 开展野外考察并采集6件江南造山带中段冷家溪群、板溪群的碎屑岩样品,通过研究碎屑锆石形态、微量元素以及U-Pb和Lu-Hf同位素组成,并结合已有的碎屑锆石数据与可能的源区特征进行对比,限定沉积地层的物源组成及盆地构造演化历程。 结果 冷家溪群形成于852~825 Ma,板溪群形成于820~720 Ma。冷家溪群、板溪群最主要的碎屑锆石年龄峰值为920~790 Ma,冷家溪群还包括1 750~1 620 Ma、2 500~2 450 Ma的年龄峰值,板溪群包括1 950~1 790 Ma、2 420~2 330 Ma的年龄峰值。Hf同位素特征显示冷家溪群主要接受来自扬子地块的物源,板溪群在扬子地块和华夏地块拼合之后开始沉积,除了扬子地块的物源可能还有来自华夏地块的沉积物供给。 结论 冷家溪群沉积于沟弧盆体系下的弧后盆地,在825 Ma后弧后盆地关闭,伴随沉积地层内发育的强烈褶皱以及大量S型花岗岩侵入褶皱基底中。板溪群沉积于碰撞后伸展作用并发育陆内裂谷的构造背景,同裂谷岩浆作用集中发生于780~760 Ma,裂谷作用于板溪群沉积结束逐渐减弱。
目的 厘定湖南地区新元古代沉积地层的沉积时代、物源和构造背景,是理解江南造山带中段构造演化过程的关键要素。 方法 开展野外考察并采集6件江南造山带中段冷家溪群、板溪群的碎屑岩样品,通过研究碎屑锆石形态、微量元素以及U-Pb和Lu-Hf同位素组成,并结合已有的碎屑锆石数据与可能的源区特征进行对比,限定沉积地层的物源组成及盆地构造演化历程。 结果 冷家溪群形成于852~825 Ma,板溪群形成于820~720 Ma。冷家溪群、板溪群最主要的碎屑锆石年龄峰值为920~790 Ma,冷家溪群还包括1 750~1 620 Ma、2 500~2 450 Ma的年龄峰值,板溪群包括1 950~1 790 Ma、2 420~2 330 Ma的年龄峰值。Hf同位素特征显示冷家溪群主要接受来自扬子地块的物源,板溪群在扬子地块和华夏地块拼合之后开始沉积,除了扬子地块的物源可能还有来自华夏地块的沉积物供给。 结论 冷家溪群沉积于沟弧盆体系下的弧后盆地,在825 Ma后弧后盆地关闭,伴随沉积地层内发育的强烈褶皱以及大量S型花岗岩侵入褶皱基底中。板溪群沉积于碰撞后伸展作用并发育陆内裂谷的构造背景,同裂谷岩浆作用集中发生于780~760 Ma,裂谷作用于板溪群沉积结束逐渐减弱。
2024, 42(6): 2006-2019.
doi: 10.14027/j.issn.1000-0550.2024.062
摘要:
目的 前寒武纪经历了多期次构造热事件、构造复杂、变形变质严重,给地层划分对比及客观地层层序的建立带来不便与困难。 方法 以江南造山带西段新元古界梵净山群出露最老的淘金河组为研究对象,开展碎屑锆石形态学对比、U-Pb定年、分析该层位的物质来源及沉积大地构造背景,并将梵净山地层进行多维定标分析对比。 结果 “淘金河组”锆石颗粒自形程度高,代表短距离搬运,源岩为花岗岩、辉绿岩、正长岩/二长岩和玄武岩,碎屑锆石年龄峰值为875 Ma、1 862 Ma和2 513 Ma,经锆石地球化学数据分析,“淘金河组”沉积于汇聚背景。 结论 “淘金河组”与其上覆地层余家沟组之上的肖家河组锆石年龄图谱相似,物源相同;结合其他地层地质特征,指出桃树林一带梵净山群“淘金河组”与肖家河组可能为同一地层单元。
目的 前寒武纪经历了多期次构造热事件、构造复杂、变形变质严重,给地层划分对比及客观地层层序的建立带来不便与困难。 方法 以江南造山带西段新元古界梵净山群出露最老的淘金河组为研究对象,开展碎屑锆石形态学对比、U-Pb定年、分析该层位的物质来源及沉积大地构造背景,并将梵净山地层进行多维定标分析对比。 结果 “淘金河组”锆石颗粒自形程度高,代表短距离搬运,源岩为花岗岩、辉绿岩、正长岩/二长岩和玄武岩,碎屑锆石年龄峰值为875 Ma、1 862 Ma和2 513 Ma,经锆石地球化学数据分析,“淘金河组”沉积于汇聚背景。 结论 “淘金河组”与其上覆地层余家沟组之上的肖家河组锆石年龄图谱相似,物源相同;结合其他地层地质特征,指出桃树林一带梵净山群“淘金河组”与肖家河组可能为同一地层单元。
2024, 42(6): 2020-2030.
doi: 10.14027/j.issn.1000-0550.2023.140
摘要:
目的 新元古代Sturtian冰期(~717~660 Ma)在全球范围内广泛发育,在南华盆地中也有良好的记录,但是目前对冰期的碳循环过程研究较少。为了解Sturtian冰期期间的碳循环过程,对冰期期间沉积的铁丝坳组碳同位素进行系统的研究。 方法 以黔东松桃地区高地ZK2115钻孔为研究对象,对铁丝坳组进行高分辨率的有机碳和无机碳同位素(δ13Ccarb和δ13Corg)测试分析。 结果 铁丝坳组δ13Ccarb值介于-9.29‰~-3.37‰(平均值为-7.24‰),具有明显的负偏,δ13Corg值介于-33.63‰~-23.35‰(平均值为-29.29‰)。此外,δ13Ccarb和δ13Corg具有明显的正相关关系,表明地层中的无机碳同位素组成不受成岩作用的影响,δ13Ccarb代表了Sturtian冰期期间南华盆地中溶解无机碳(Dissolved Inorganic Carbon,DIC)库的碳同位素组成,并且地层中的有机质主要是通过光合作用形成的,有机质中固定的碳主要来源于海水中的DIC库。 结论 结合已发表的铁丝坳组总有机碳(Total Organic Carbon,TOC)数据(平均值为0.2%),这意味着在冰期这种极端气候条件下,光合作用虽然仍在进行,但是其速率比较缓慢,产生有机质的量相对较少。对Sturtian冰期沉积物中碳同位素组成的研究,有助于进一步探讨冰期的碳循环过程,同时也为深入理解极端气候条件下的古海洋环境及生物地球化学循环提供依据。
目的 新元古代Sturtian冰期(~717~660 Ma)在全球范围内广泛发育,在南华盆地中也有良好的记录,但是目前对冰期的碳循环过程研究较少。为了解Sturtian冰期期间的碳循环过程,对冰期期间沉积的铁丝坳组碳同位素进行系统的研究。 方法 以黔东松桃地区高地ZK2115钻孔为研究对象,对铁丝坳组进行高分辨率的有机碳和无机碳同位素(δ13Ccarb和δ13Corg)测试分析。 结果 铁丝坳组δ13Ccarb值介于-9.29‰~-3.37‰(平均值为-7.24‰),具有明显的负偏,δ13Corg值介于-33.63‰~-23.35‰(平均值为-29.29‰)。此外,δ13Ccarb和δ13Corg具有明显的正相关关系,表明地层中的无机碳同位素组成不受成岩作用的影响,δ13Ccarb代表了Sturtian冰期期间南华盆地中溶解无机碳(Dissolved Inorganic Carbon,DIC)库的碳同位素组成,并且地层中的有机质主要是通过光合作用形成的,有机质中固定的碳主要来源于海水中的DIC库。 结论 结合已发表的铁丝坳组总有机碳(Total Organic Carbon,TOC)数据(平均值为0.2%),这意味着在冰期这种极端气候条件下,光合作用虽然仍在进行,但是其速率比较缓慢,产生有机质的量相对较少。对Sturtian冰期沉积物中碳同位素组成的研究,有助于进一步探讨冰期的碳循环过程,同时也为深入理解极端气候条件下的古海洋环境及生物地球化学循环提供依据。
2024, 42(6): 2031-2041.
doi: 10.14027/j.issn.1000-0550.2022.162
摘要:
目的 寒武纪早期是地质历史时期海洋环境演化的重要时期,深入探究该时期海洋氧化还原及氮循环演化有助于厘清同期有机质富集的主控因素。 方法 以川南威远地区筇竹寺组为研究对象,系统开展铁组分、氮同位素、硫同位素分析。 结果 威远地区在寒武纪早期,海洋环境响应同期海平面波动,氧化还原条件经历了多次转变。在寒武纪第二期,深部缺氧硫化水体扩张至浅水陆架环境,强烈的反硝化作用导致海水中的NO3 - 持续被消耗,最终导致威远地区海洋氮循环以生物固氮为主。同时,较低的δ15N值暗示寒武纪第二期相对较低的初级生产力水平。在寒武纪第三期,显著升高的δ15N值表明海洋NO3 - 库逐渐扩大,表层氧化海水逐步扩张。 结论 沉积环境的氧化还原条件是威远地区筇竹寺组有机质富集的主要控制因素。由海侵引起的强烈缺氧条件导致筇竹寺组产生三次显著的有机质富集。海平面的变化最终影响着寒武纪早期华南内陆架地区的氧化还原、氮循环演化及有机质富集。
目的 寒武纪早期是地质历史时期海洋环境演化的重要时期,深入探究该时期海洋氧化还原及氮循环演化有助于厘清同期有机质富集的主控因素。 方法 以川南威远地区筇竹寺组为研究对象,系统开展铁组分、氮同位素、硫同位素分析。 结果 威远地区在寒武纪早期,海洋环境响应同期海平面波动,氧化还原条件经历了多次转变。在寒武纪第二期,深部缺氧硫化水体扩张至浅水陆架环境,强烈的反硝化作用导致海水中的NO
2024, 42(6): 2042-2053.
doi: 10.14027/j.issn.1000-0550.2023.130
摘要:
目的 早寒武世生物大爆发通常被认为与硝酸盐浓度增加有关,然而最新研究表明该时期硝酸盐浓度无明显变化。为查明硝酸盐对生物大爆发的影响,重建了这一时期古海洋环境与氮循环特征。 方法 以扬子东南缘斜坡区钻孔岩心(ZK0202井)为研究对象,通过对主量元素、微量元素、稀土元素、碳—氮同位素等地球化学指标进行实验分析。 结果 早寒武幸运阶—第二阶中期(>526 Ma)古海洋以深化变层的分层海洋为特征,同期固氮和反硝化作用都有发育,以固氮作用为主。第二阶晚期—第三阶早期(ca. 526~518 Ma)古海洋以强烈缺氧硫化为特征,固氮作用是最重要的氮循环途径。第三阶中晚期(<518 Ma)古海洋以次氧化—氧化为主,固氮作用依然发育。氧化还原状态的演化可能与海平面变化及热液作用引起的高初级生产力有关,而持续的固氮作用显示了同期硝酸盐浓度维持在较低水平。 结论 硝酸盐的多寡或许不是生物大爆发的主控因素,海洋氧化和丰富的食物链底层生物可能是生物大爆发的重要诱因。研究进一步提升了华南扬子东南缘早寒武世斜坡区古海洋环境与氮循环的研究程度,为正确认识该时期生物—环境协同演化机制提供了新的参考。
目的 早寒武世生物大爆发通常被认为与硝酸盐浓度增加有关,然而最新研究表明该时期硝酸盐浓度无明显变化。为查明硝酸盐对生物大爆发的影响,重建了这一时期古海洋环境与氮循环特征。 方法 以扬子东南缘斜坡区钻孔岩心(ZK0202井)为研究对象,通过对主量元素、微量元素、稀土元素、碳—氮同位素等地球化学指标进行实验分析。 结果 早寒武幸运阶—第二阶中期(>526 Ma)古海洋以深化变层的分层海洋为特征,同期固氮和反硝化作用都有发育,以固氮作用为主。第二阶晚期—第三阶早期(ca. 526~518 Ma)古海洋以强烈缺氧硫化为特征,固氮作用是最重要的氮循环途径。第三阶中晚期(<518 Ma)古海洋以次氧化—氧化为主,固氮作用依然发育。氧化还原状态的演化可能与海平面变化及热液作用引起的高初级生产力有关,而持续的固氮作用显示了同期硝酸盐浓度维持在较低水平。 结论 硝酸盐的多寡或许不是生物大爆发的主控因素,海洋氧化和丰富的食物链底层生物可能是生物大爆发的重要诱因。研究进一步提升了华南扬子东南缘早寒武世斜坡区古海洋环境与氮循环的研究程度,为正确认识该时期生物—环境协同演化机制提供了新的参考。
2024, 42(6): 2054-2065.
doi: 10.14027/j.issn.1000-0550.2023.036
摘要:
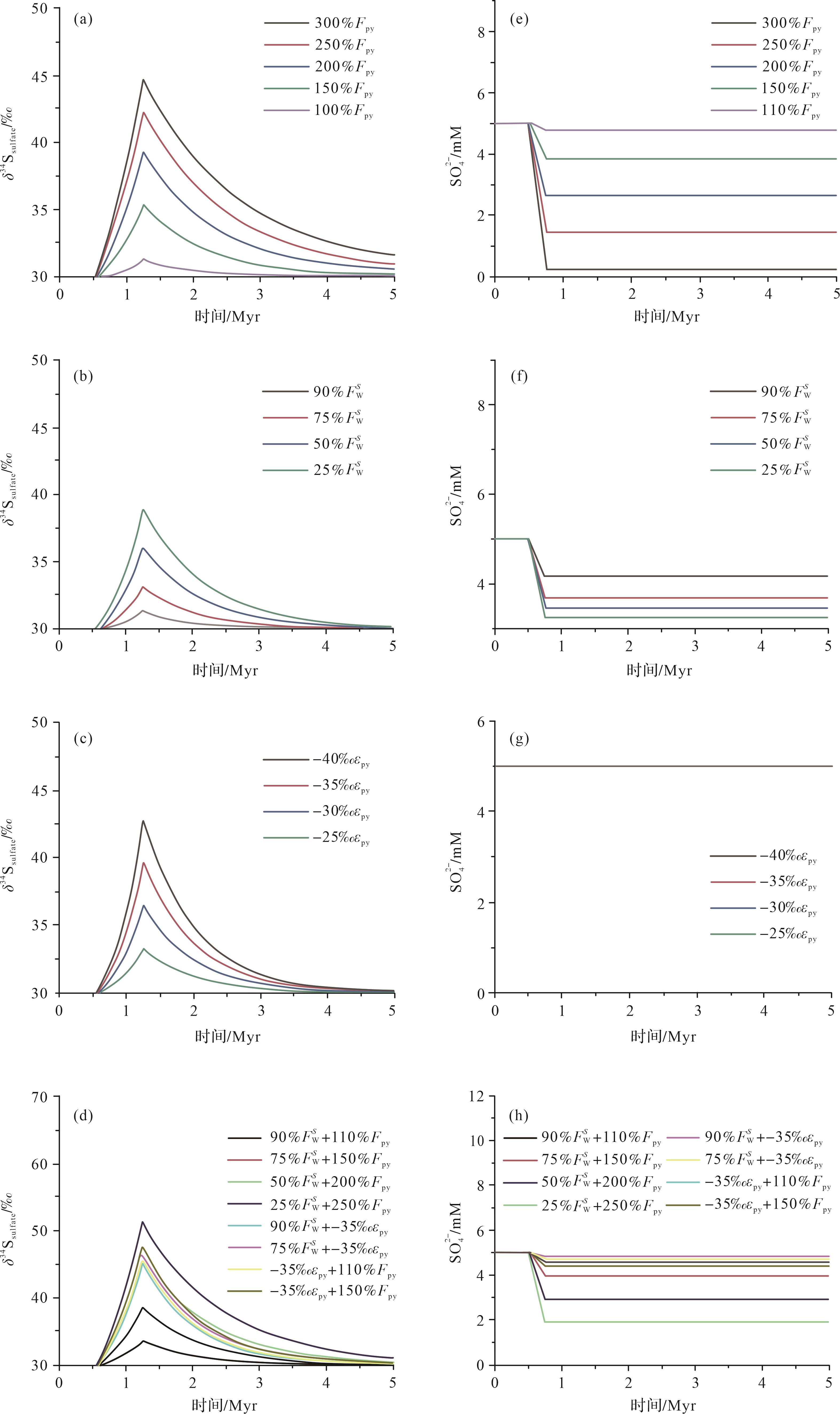
目的 晚奥陶世—早志留世过渡时期在全球出现的碳、硫同位素(δ13C、δ34S)显著偏移事件已得到广泛认可,但造成这些同位素发生偏移的原因仍存在较大争议,开展定量的数值模拟研究是解决该问题的途径之一。 方法 选取四川盆地在该时期沉积于不同区域的田林剖面和沙坝剖面共计47个页岩样品,分别进行了有机碳同位素(δ13Corg)、黄铁矿硫同位素(δ34Spy)测试,并结合Vensim 7.3.5系统动力学软件对其进行了模型重建和动力学分析。 结果 (1)赫南特冰期前期,当有机碳埋藏通量增加1.5~2.0倍、黄铁矿埋藏通量增加1.5~3.0倍时,即可出现C、S同位素的同步正偏现象,指示较高的初级生产力和广泛发育的铁质缺氧水体有利于沉积有机质与黄铁矿的埋藏,而冰后期火山活动的增强是δ13Corg短时间内出现显著负偏移的必要条件;(2)赫南特冰期前期较低的海水硫酸盐浓度(约为5 mM)是δ34S出现正偏移的基础,冰后期陆源硫酸盐输入通量的增加是引起δ34Spy负偏的主要影响因素。 结论 研究结果定量评价了δ13C、δ34S同步偏移的主要影响因素,对地质历史时期C、S同位素分馏过程动力学研究提供新的思路与定量预测模型。
目的 晚奥陶世—早志留世过渡时期在全球出现的碳、硫同位素(δ13C、δ34S)显著偏移事件已得到广泛认可,但造成这些同位素发生偏移的原因仍存在较大争议,开展定量的数值模拟研究是解决该问题的途径之一。 方法 选取四川盆地在该时期沉积于不同区域的田林剖面和沙坝剖面共计47个页岩样品,分别进行了有机碳同位素(δ13Corg)、黄铁矿硫同位素(δ34Spy)测试,并结合Vensim 7.3.5系统动力学软件对其进行了模型重建和动力学分析。 结果 (1)赫南特冰期前期,当有机碳埋藏通量增加1.5~2.0倍、黄铁矿埋藏通量增加1.5~3.0倍时,即可出现C、S同位素的同步正偏现象,指示较高的初级生产力和广泛发育的铁质缺氧水体有利于沉积有机质与黄铁矿的埋藏,而冰后期火山活动的增强是δ13Corg短时间内出现显著负偏移的必要条件;(2)赫南特冰期前期较低的海水硫酸盐浓度(约为5 mM)是δ34S出现正偏移的基础,冰后期陆源硫酸盐输入通量的增加是引起δ34Spy负偏的主要影响因素。 结论 研究结果定量评价了δ13C、δ34S同步偏移的主要影响因素,对地质历史时期C、S同位素分馏过程动力学研究提供新的思路与定量预测模型。
2024, 42(6): 2066-2078.
doi: 10.14027/j.issn.1000-0550.2024.119
摘要:
目的 瓜德鲁普末期生物灭绝之后,生物多样性在晚二叠世开始逐步恢复增长,进一步确定晚二叠世浅海氧化还原状态和演化规律,有助于厘清该时期生物复苏与海洋氧化还原变化之间的关系。 方法 选取上扬子北缘具高分辨率时间框架约束的上寺剖面吴家坪阶作为研究对象,开展了沉积学和沉积地球化学研究,重建了晚二叠世吴家坪期海洋氧化还原环境。 结果 碳酸盐岩铈异常指标和碳同位素在吴家坪期均呈现显著变化,其中碳同位素的正偏和负偏分别对应于晚古生代P4冰期的形成与消融。吴家坪早期生物逐渐复苏导致海洋初级生产力提高和光合作用增强,同时凉爽气候利于洋流循环和氧气交换,该时期整体处于贫氧—氧化环境;吴家坪中期开始,随着气候转暖和晚古生代冰期消亡,海洋通风减弱和海平面上升共同驱动最小含氧带的显著扩张,海洋转变为缺氧环境。 结论 研究重建了晚二叠世吴家坪期浅海环境的氧化还原结构,揭示了晚二叠世海洋缺氧与同期气候—构造事件的深层联系。
目的 瓜德鲁普末期生物灭绝之后,生物多样性在晚二叠世开始逐步恢复增长,进一步确定晚二叠世浅海氧化还原状态和演化规律,有助于厘清该时期生物复苏与海洋氧化还原变化之间的关系。 方法 选取上扬子北缘具高分辨率时间框架约束的上寺剖面吴家坪阶作为研究对象,开展了沉积学和沉积地球化学研究,重建了晚二叠世吴家坪期海洋氧化还原环境。 结果 碳酸盐岩铈异常指标和碳同位素在吴家坪期均呈现显著变化,其中碳同位素的正偏和负偏分别对应于晚古生代P4冰期的形成与消融。吴家坪早期生物逐渐复苏导致海洋初级生产力提高和光合作用增强,同时凉爽气候利于洋流循环和氧气交换,该时期整体处于贫氧—氧化环境;吴家坪中期开始,随着气候转暖和晚古生代冰期消亡,海洋通风减弱和海平面上升共同驱动最小含氧带的显著扩张,海洋转变为缺氧环境。 结论 研究重建了晚二叠世吴家坪期浅海环境的氧化还原结构,揭示了晚二叠世海洋缺氧与同期气候—构造事件的深层联系。
2024, 42(6): 2079-2087.
doi: 10.14027/j.issn.1000-0550.2024.033
摘要:
目的 为发现下寒武统筇竹寺组可与澄江生物群对比的化石产地,区域地层对比和进一步揭示早寒武世生物的生命演化提供重要的古生物化石依据。 方法 以下寒武统筇竹寺组石岩头段下黑层深灰色粉砂质页岩发育的宏体生物化石为研究对象,开展了精细剖面调查、化石鉴定、电子探针、扫描电镜、XRF测试等,以此探讨新发现的宏体生物化石的地质意义。 结果 大新山化石类型主要有朵氏小昆明虫(Kunmingella douvillei)、虫迹(未定种)、锥管螺(Conotheca sp.)、帽天山虫(Maotianshania sp.)、澄江顾脱贝(Kutorgina chengjiangensis)、鳃虾(Branchiocaris sp.)、古虫(Vetulicola sp.)、始莱德利基虫(Eoredlichia sp.)及豆芽类化石(未知种)。但在普德一带同一层位发现了疑似骨骼生物的化石。通过XRF扫描显示,化石含较高浓度的Ca、Cr、P,与围岩成分明显不同(Fe、S、Ti),Ca、P是骨骼化石主要组成元素。【 结论与展望 】大新山—普德一带化石不仅保存完整、较为丰富,个体较大、种类多样,赋存层位露头好,交通便利,且化石层位较“澄江生物群”赋存层位低,具有较好的研究意义和科普价值,也有望在云南禄劝地区建立第二个早寒武世生物群:大新山—普德生物群。为研究早寒武世生物活动规律、范围、复苏、古环境演化及地层区域对比提供了重要的古生物化石研究素材。
目的 为发现下寒武统筇竹寺组可与澄江生物群对比的化石产地,区域地层对比和进一步揭示早寒武世生物的生命演化提供重要的古生物化石依据。 方法 以下寒武统筇竹寺组石岩头段下黑层深灰色粉砂质页岩发育的宏体生物化石为研究对象,开展了精细剖面调查、化石鉴定、电子探针、扫描电镜、XRF测试等,以此探讨新发现的宏体生物化石的地质意义。 结果 大新山化石类型主要有朵氏小昆明虫(Kunmingella douvillei)、虫迹(未定种)、锥管螺(Conotheca sp.)、帽天山虫(Maotianshania sp.)、澄江顾脱贝(Kutorgina chengjiangensis)、鳃虾(Branchiocaris sp.)、古虫(Vetulicola sp.)、始莱德利基虫(Eoredlichia sp.)及豆芽类化石(未知种)。但在普德一带同一层位发现了疑似骨骼生物的化石。通过XRF扫描显示,化石含较高浓度的Ca、Cr、P,与围岩成分明显不同(Fe、S、Ti),Ca、P是骨骼化石主要组成元素。【 结论与展望 】大新山—普德一带化石不仅保存完整、较为丰富,个体较大、种类多样,赋存层位露头好,交通便利,且化石层位较“澄江生物群”赋存层位低,具有较好的研究意义和科普价值,也有望在云南禄劝地区建立第二个早寒武世生物群:大新山—普德生物群。为研究早寒武世生物活动规律、范围、复苏、古环境演化及地层区域对比提供了重要的古生物化石研究素材。
2024, 42(6): 2088-2101.
doi: 10.14027/j.issn.1000-0550.2024.098
摘要:
目的 川中地区震旦系灯影组古岩溶储层是我国海相天然气勘探的重点目标,具有成岩历史长、改造期次多、非均质性强等特点,导致油气成藏结果复杂化,制约了下步大规模勘探开发。 方法 对灯影组古岩溶储层开展了成岩矿物序列识别、激光原位U-Pb同位素定年、激光原位元素含量测试,结合岩心物性测试和图像软件识别,厘清了该区灯影组储层类型、成岩序列及成储—成藏效应。 结果 灯二段储层和灯四段储层均可被划分为缝洞型和孔洞型两种类型。识别出9个阶段的成岩—成藏事件,成岩流体可划分为3种类型:海水、被改造海水和热液流体。3期海水胶结(分别对应606±21 Ma、604±42 Ma和590±15 Ma)、3期热液活动(分别对应403±30 Ma、259.4±3 Ma和199±12 Ma)等成岩事件对储层物性具有破坏性。 结论 成岩演化过程中的古孔隙度恢复结果表明,灯二段缝洞型储层在古油藏形成阶段、原油裂解成气阶段、气藏调整阶段始终具有运聚能力,孔洞型储层则在后两个阶段具备运聚能力。灯四段的缝洞型储层和孔洞型储层在三个关键成藏阶段均具有运聚能力。
目的 川中地区震旦系灯影组古岩溶储层是我国海相天然气勘探的重点目标,具有成岩历史长、改造期次多、非均质性强等特点,导致油气成藏结果复杂化,制约了下步大规模勘探开发。 方法 对灯影组古岩溶储层开展了成岩矿物序列识别、激光原位U-Pb同位素定年、激光原位元素含量测试,结合岩心物性测试和图像软件识别,厘清了该区灯影组储层类型、成岩序列及成储—成藏效应。 结果 灯二段储层和灯四段储层均可被划分为缝洞型和孔洞型两种类型。识别出9个阶段的成岩—成藏事件,成岩流体可划分为3种类型:海水、被改造海水和热液流体。3期海水胶结(分别对应606±21 Ma、604±42 Ma和590±15 Ma)、3期热液活动(分别对应403±30 Ma、259.4±3 Ma和199±12 Ma)等成岩事件对储层物性具有破坏性。 结论 成岩演化过程中的古孔隙度恢复结果表明,灯二段缝洞型储层在古油藏形成阶段、原油裂解成气阶段、气藏调整阶段始终具有运聚能力,孔洞型储层则在后两个阶段具备运聚能力。灯四段的缝洞型储层和孔洞型储层在三个关键成藏阶段均具有运聚能力。
2024, 42(6): 2102-2118.
doi: 10.14027/j.issn.1000-0550.2024.043
摘要:
目的 开江—梁平海槽广泛发育长兴组礁滩储层,油气资源丰富。海槽东侧的取心及地震资料有限,传统地质定性方法无法准确进行层序地层划分与对比,为优质储层预测带来一定困难。深入开展长兴组高频层序地层研究有助于细化层序格架内沉积相展布规律,厘清海槽东侧沉积演化历程,提高有利储层预测准确率,以期为深化礁滩储层勘探开发提供依据。 方法 基于野外剖面、岩心、测井地震等资料并融入INPEFA测井旋回技术,对川东地区长兴组高频层序地层及沉积体系特征开展研究。 结果 长兴组自下而上划分为2个三级层序和5个四级层序;长兴组早期发育碳酸盐缓坡沉积,中—晚期发育碳酸盐台地沉积,可细分为开阔台地相、台地边缘相及斜坡—盆地相,长兴组有利储集相带主要为台缘礁滩相;长兴组发育晶粒白云岩、(残余)颗粒白云岩、生物礁云岩储层,储层非均质性较强,整体呈“低孔—中、低渗”特征。 结论 有利储集区带呈“Y”形展布,主要集中在普光5井—老君1井—七里北2井—七里北101井—黄龙5井—黄龙8井—黄龙4井区域,沿台地边缘带呈断续条带状或点状分布,七里北地区后排台缘带为次有利区,在区内呈条带状分布。川东北地区长兴组沉积相时空演化规律、有利储层分布预测成果可为下步礁滩储层勘探开发提供地质依据。
目的 开江—梁平海槽广泛发育长兴组礁滩储层,油气资源丰富。海槽东侧的取心及地震资料有限,传统地质定性方法无法准确进行层序地层划分与对比,为优质储层预测带来一定困难。深入开展长兴组高频层序地层研究有助于细化层序格架内沉积相展布规律,厘清海槽东侧沉积演化历程,提高有利储层预测准确率,以期为深化礁滩储层勘探开发提供依据。 方法 基于野外剖面、岩心、测井地震等资料并融入INPEFA测井旋回技术,对川东地区长兴组高频层序地层及沉积体系特征开展研究。 结果 长兴组自下而上划分为2个三级层序和5个四级层序;长兴组早期发育碳酸盐缓坡沉积,中—晚期发育碳酸盐台地沉积,可细分为开阔台地相、台地边缘相及斜坡—盆地相,长兴组有利储集相带主要为台缘礁滩相;长兴组发育晶粒白云岩、(残余)颗粒白云岩、生物礁云岩储层,储层非均质性较强,整体呈“低孔—中、低渗”特征。 结论 有利储集区带呈“Y”形展布,主要集中在普光5井—老君1井—七里北2井—七里北101井—黄龙5井—黄龙8井—黄龙4井区域,沿台地边缘带呈断续条带状或点状分布,七里北地区后排台缘带为次有利区,在区内呈条带状分布。川东北地区长兴组沉积相时空演化规律、有利储层分布预测成果可为下步礁滩储层勘探开发提供地质依据。
2024, 42(6): 2119-2134.
doi: 10.14027/j.issn.1000-0550.2024.109
摘要:
目的 中上扬子过渡带震旦纪构造—沉积分异特征类似于川中绵阳—长宁地区,厘清该区域的沉积体系和沉积充填过程,可为油气及沉积型矿产的勘探提供指导。 方法 以野外露头和钻井资料为基础,结合区域构造背景和地球动力学成因分析,对沉积体系的发育特征进行研究。通过剖析跨越裂陷的对比剖面在纵向上的演化和横向上的对比变化,揭示裂陷+盆地的发育特点、沉积体系特征和构造—沉积充填过程。 结果 受裂陷活动控制的张扭性作用影响,半地堑式的断陷盆地,并在裂陷内部发育了深水陆棚和裂陷边缘斜坡的碳酸盐质重力流沉积,显示出明显的分异作用。在陡山沱期和灯影期,分别发育了沉降中心与沉积中心重叠的补偿型沉积,以及浅水碳酸盐沉积增厚和深水欠补偿沉积的构造—沉积充填特征。陡山沱时期的深水沉积中心具有良好的生烃条件和页岩气勘探潜力;灯影组时期,上扬子东侧的加积型台地边缘和中扬子西侧缓坡带进积型台地边缘的高能丘滩是油气储层发育的优势相带,并且与裂陷盆地内的烃源岩形成了近源的有利烃储配置。控制裂陷盆地的同沉积断裂为含磷热液上涌提供了通道,而西断东倾的盆地结构则为深海富磷上升洋流沿斜坡带进入鄂西浅水沉积区聚集提供了有利的沉积地貌条件。 结论 中上扬子过渡带震旦纪的构造—沉积充填过程受沉积时间、断陷构造活动和碳酸盐工厂的共同控制。断裂控制的台地边缘高能丘滩和盆地内的优质烃源岩形成的有利烃储配置条件为油气勘探提供了新的领域。同时,盆地的形成及充填过程为沉积型磷矿的富集提供了物质来源、物质运聚和富集成矿的有利构造—沉积环境条件。
目的 中上扬子过渡带震旦纪构造—沉积分异特征类似于川中绵阳—长宁地区,厘清该区域的沉积体系和沉积充填过程,可为油气及沉积型矿产的勘探提供指导。 方法 以野外露头和钻井资料为基础,结合区域构造背景和地球动力学成因分析,对沉积体系的发育特征进行研究。通过剖析跨越裂陷的对比剖面在纵向上的演化和横向上的对比变化,揭示裂陷+盆地的发育特点、沉积体系特征和构造—沉积充填过程。 结果 受裂陷活动控制的张扭性作用影响,半地堑式的断陷盆地,并在裂陷内部发育了深水陆棚和裂陷边缘斜坡的碳酸盐质重力流沉积,显示出明显的分异作用。在陡山沱期和灯影期,分别发育了沉降中心与沉积中心重叠的补偿型沉积,以及浅水碳酸盐沉积增厚和深水欠补偿沉积的构造—沉积充填特征。陡山沱时期的深水沉积中心具有良好的生烃条件和页岩气勘探潜力;灯影组时期,上扬子东侧的加积型台地边缘和中扬子西侧缓坡带进积型台地边缘的高能丘滩是油气储层发育的优势相带,并且与裂陷盆地内的烃源岩形成了近源的有利烃储配置。控制裂陷盆地的同沉积断裂为含磷热液上涌提供了通道,而西断东倾的盆地结构则为深海富磷上升洋流沿斜坡带进入鄂西浅水沉积区聚集提供了有利的沉积地貌条件。 结论 中上扬子过渡带震旦纪的构造—沉积充填过程受沉积时间、断陷构造活动和碳酸盐工厂的共同控制。断裂控制的台地边缘高能丘滩和盆地内的优质烃源岩形成的有利烃储配置条件为油气勘探提供了新的领域。同时,盆地的形成及充填过程为沉积型磷矿的富集提供了物质来源、物质运聚和富集成矿的有利构造—沉积环境条件。
2024, 42(6): 2135-2143.
doi: 10.14027/j.issn.1000-0550.2024.065
摘要:
目的 晚二叠世扬子板块北缘台地内部盆地广旺海槽、开江—梁平海槽与鄂西海槽发育大隆组富有机质的黑色硅质岩沉积,是四川盆地二叠系页岩气勘探的目标层位。这套硅质岩开始沉积于258.77 Ma,其形成与峨眉山地幔柱活动有关,但硅质岩沉积结束的具体年龄以及这些海槽消亡的原因尚不清楚。开展相应的研究有助于深入了解扬子北缘这些深水海槽的演化与发展,为二叠系页岩气勘探潜力评价提供理论依据。 方法 采集位于广旺海槽的旺苍燕儿洞剖面上二叠统大隆组硅质岩上部火山灰夹层样品,开展锆石激光剥蚀电感耦合等离子体质谱仪(LA-ICP-MS)分析,测定锆石U-Pb年龄以及微量元素。 结果 锆石为自形棱角状,发育生长环带,Th/U≥0.46,球粒陨石标准化的稀土配分曲线展示重稀土富集、轻稀土亏损、Ce正异常、Eu负异常的左倾特征;锆石铀铅年龄为253.0±1.3 Ma;锆石微量元素Th/Nb与Hf/Th交会图以及Th/U与Nb/Hf交会图指示岛弧造山构造背景。 结论 华南大隆组硅质岩沉积终结于晚二叠世长兴中期253.0±1.3 Ma,该期火山喷发与板内造山的峨眉山地幔柱活动无关,其形成与扬子板块周围岛弧火山作用有关,后者可能与扬子北缘多个海槽在二叠纪末期萎缩消失密切相关。
目的 晚二叠世扬子板块北缘台地内部盆地广旺海槽、开江—梁平海槽与鄂西海槽发育大隆组富有机质的黑色硅质岩沉积,是四川盆地二叠系页岩气勘探的目标层位。这套硅质岩开始沉积于258.77 Ma,其形成与峨眉山地幔柱活动有关,但硅质岩沉积结束的具体年龄以及这些海槽消亡的原因尚不清楚。开展相应的研究有助于深入了解扬子北缘这些深水海槽的演化与发展,为二叠系页岩气勘探潜力评价提供理论依据。 方法 采集位于广旺海槽的旺苍燕儿洞剖面上二叠统大隆组硅质岩上部火山灰夹层样品,开展锆石激光剥蚀电感耦合等离子体质谱仪(LA-ICP-MS)分析,测定锆石U-Pb年龄以及微量元素。 结果 锆石为自形棱角状,发育生长环带,Th/U≥0.46,球粒陨石标准化的稀土配分曲线展示重稀土富集、轻稀土亏损、Ce正异常、Eu负异常的左倾特征;锆石铀铅年龄为253.0±1.3 Ma;锆石微量元素Th/Nb与Hf/Th交会图以及Th/U与Nb/Hf交会图指示岛弧造山构造背景。 结论 华南大隆组硅质岩沉积终结于晚二叠世长兴中期253.0±1.3 Ma,该期火山喷发与板内造山的峨眉山地幔柱活动无关,其形成与扬子板块周围岛弧火山作用有关,后者可能与扬子北缘多个海槽在二叠纪末期萎缩消失密切相关。
2024, 42(6): 2144-2158.
doi: 10.14027/j.issn.1000-0550.2024.039
摘要:
目的 深入研究康滇古陆东西两侧五峰组—龙马溪组黑色泥岩沉积环境及沉积构造演化差异,旨在支撑区域页岩气勘探开发及相关研究。 方法 通过全面的地质调查及系统矿物岩石学及地球化学分析,综合对比研究了古陆东侧昭通地区及西侧盐源盆地五峰组一龙马溪组黑色泥岩沉积的物源属性、古海洋环境及古气候特征。 结果 东侧陆源碎屑指示参数Al2O3、TiO2、Sc、Zr等元素均较西侧富集,而MoEF、UEF及V/Cr、U/Th等水体氧化还原性指标参数均较西侧低。两侧沉积环境差异明显,东侧属于局限海陆棚沉积,富有机质页岩以硅质钙质岩系为主,而西侧属于开阔海陆棚,富有机质页岩为硅质岩系。东侧距物源更近,源岩以长英质火成岩为主,化学风化作用更强,气候也更温暖,沉积水体较浅,以弱氧化—贫氧环境为主。西侧水体较深,以缺氧还原环境为主,构造运动较强,背景更复杂,有活动大陆边缘及岛弧环境属性,可能与西侧洋壳与扬子陆壳的碰撞相关。 结论 富有机质页岩的形成是不同的沉积构造演化模式下多因素共同作用的结果。相比而言,古陆西侧富有机质页岩的形成主要受控于还原性水体有利的保存条件,而东侧则主要受控于弱氧化环境下生物繁盛造成的极高古生产力。
目的 深入研究康滇古陆东西两侧五峰组—龙马溪组黑色泥岩沉积环境及沉积构造演化差异,旨在支撑区域页岩气勘探开发及相关研究。 方法 通过全面的地质调查及系统矿物岩石学及地球化学分析,综合对比研究了古陆东侧昭通地区及西侧盐源盆地五峰组一龙马溪组黑色泥岩沉积的物源属性、古海洋环境及古气候特征。 结果 东侧陆源碎屑指示参数Al2O3、TiO2、Sc、Zr等元素均较西侧富集,而MoEF、UEF及V/Cr、U/Th等水体氧化还原性指标参数均较西侧低。两侧沉积环境差异明显,东侧属于局限海陆棚沉积,富有机质页岩以硅质钙质岩系为主,而西侧属于开阔海陆棚,富有机质页岩为硅质岩系。东侧距物源更近,源岩以长英质火成岩为主,化学风化作用更强,气候也更温暖,沉积水体较浅,以弱氧化—贫氧环境为主。西侧水体较深,以缺氧还原环境为主,构造运动较强,背景更复杂,有活动大陆边缘及岛弧环境属性,可能与西侧洋壳与扬子陆壳的碰撞相关。 结论 富有机质页岩的形成是不同的沉积构造演化模式下多因素共同作用的结果。相比而言,古陆西侧富有机质页岩的形成主要受控于还原性水体有利的保存条件,而东侧则主要受控于弱氧化环境下生物繁盛造成的极高古生产力。
2024, 42(6): 2159-2173.
doi: 10.14027/j.issn.1000-0550.2023.041
摘要:
目的 深层—超深层碳酸盐岩具有巨大的油气勘探潜力。由于经历了复杂的成岩改造,其储层具有非均质性强、预测困难等显著特征。因此,厘清优势成岩作用对储层的差异性改造,即优势成储效应,是揭示深部碳酸盐岩储层成因的关键。 方法 基于系统对比四川盆地和塔里木盆地(含少量阿曼盆地和西伯利亚台地数据)震旦系—下寒武统白云岩储层地球化学参数及孔隙度与渗透率,包括碳氧同位素(n=617)、锶同位素(n=189)、稀土元素(n=106)、流体包裹体均一化温度(n=161)、团簇同位素温度(n=117)和孔隙度与渗透率(n=1 557),建立了两个层系储层不同成因白云石和晚期方解石的地球化学特征模板。 结果 两个层系储层成岩矿物的地球化学特征总体上具有较高的相似性,均经历了白云石化、大气水、裂隙、热液作用等具建设性意义的成岩改造过程。而与下寒武统白云岩储层相比,区内储层质量最高的灯影组经历的渗透回流白云石化作用及后期热液流体改造作用最强,表明差异性成岩改造是成储效应优劣的关键。 结论 综合上述特点,提出四川盆地和塔里木盆地震旦系—寒武系优质白云岩储层的发育主要受沉积期蒸发作用及晚期构造热液发育程度共同控制。该认识可用于深层—超深层碳酸盐岩储层预测,对深部油气勘探具有重要的启示意义。
目的 深层—超深层碳酸盐岩具有巨大的油气勘探潜力。由于经历了复杂的成岩改造,其储层具有非均质性强、预测困难等显著特征。因此,厘清优势成岩作用对储层的差异性改造,即优势成储效应,是揭示深部碳酸盐岩储层成因的关键。 方法 基于系统对比四川盆地和塔里木盆地(含少量阿曼盆地和西伯利亚台地数据)震旦系—下寒武统白云岩储层地球化学参数及孔隙度与渗透率,包括碳氧同位素(n=617)、锶同位素(n=189)、稀土元素(n=106)、流体包裹体均一化温度(n=161)、团簇同位素温度(n=117)和孔隙度与渗透率(n=1 557),建立了两个层系储层不同成因白云石和晚期方解石的地球化学特征模板。 结果 两个层系储层成岩矿物的地球化学特征总体上具有较高的相似性,均经历了白云石化、大气水、裂隙、热液作用等具建设性意义的成岩改造过程。而与下寒武统白云岩储层相比,区内储层质量最高的灯影组经历的渗透回流白云石化作用及后期热液流体改造作用最强,表明差异性成岩改造是成储效应优劣的关键。 结论 综合上述特点,提出四川盆地和塔里木盆地震旦系—寒武系优质白云岩储层的发育主要受沉积期蒸发作用及晚期构造热液发育程度共同控制。该认识可用于深层—超深层碳酸盐岩储层预测,对深部油气勘探具有重要的启示意义。
2024, 42(6): 2174-2190.
doi: 10.14027/j.issn.1000-0550.2023.019
摘要:
目的 四川盆地北部地区震旦系灯影组碳酸盐岩储层在形成过程中经历了多期成岩流体的叠加改造,对储层质量的优劣产生了重要影响。 方法 采用激光原位碳氧同位素和微区锶同位素、结合配套的岩石学、阴极发光等技术手段,系统研究了灯影组白云岩岩石学、成岩作用、成岩流体性质等特征,明确了不同成岩流体的成岩作用过程及其对储层物性的影响。 结果 (1)灯影组四段沉积微生物白云岩、颗粒白云岩和晶粒白云岩三大类岩石类型,藻纹层白云岩、叠层石白云岩及凝块石白云岩是优质储集岩,发育大量原生藻格架孔,是优质储层发育的基础;(2)灯影组四段白云岩优质储层发育与四种成岩环境有关,即蒸发海水环境、浅埋藏“封存”海水环境、中—深埋藏有机质成熟运移环境和构造—热液环境,不同成岩流体性质与优质储层改造的关系表明,埋藏有机酸和热液流体的溶蚀作用极大地改善了储层物性;(3)优质储层的发育受沉积环境、成岩过程及成岩流体、构造作用等相互控制与制约,其中有利的沉积相带是基础,成岩流体的溶蚀改造是关键,构造运动形成的断裂为深部流体活动提供了有利条件。 结论 灯影组四段白云岩优质储层改造的精细识别与定量改造程度的研究,为该地区油气勘探目标预测提供了沉积成岩方面的理论依据。
目的 四川盆地北部地区震旦系灯影组碳酸盐岩储层在形成过程中经历了多期成岩流体的叠加改造,对储层质量的优劣产生了重要影响。 方法 采用激光原位碳氧同位素和微区锶同位素、结合配套的岩石学、阴极发光等技术手段,系统研究了灯影组白云岩岩石学、成岩作用、成岩流体性质等特征,明确了不同成岩流体的成岩作用过程及其对储层物性的影响。 结果 (1)灯影组四段沉积微生物白云岩、颗粒白云岩和晶粒白云岩三大类岩石类型,藻纹层白云岩、叠层石白云岩及凝块石白云岩是优质储集岩,发育大量原生藻格架孔,是优质储层发育的基础;(2)灯影组四段白云岩优质储层发育与四种成岩环境有关,即蒸发海水环境、浅埋藏“封存”海水环境、中—深埋藏有机质成熟运移环境和构造—热液环境,不同成岩流体性质与优质储层改造的关系表明,埋藏有机酸和热液流体的溶蚀作用极大地改善了储层物性;(3)优质储层的发育受沉积环境、成岩过程及成岩流体、构造作用等相互控制与制约,其中有利的沉积相带是基础,成岩流体的溶蚀改造是关键,构造运动形成的断裂为深部流体活动提供了有利条件。 结论 灯影组四段白云岩优质储层改造的精细识别与定量改造程度的研究,为该地区油气勘探目标预测提供了沉积成岩方面的理论依据。
2024, 42(6): 2191-2203.
doi: 10.14027/j.issn.1000-0550.2023.026
摘要:
目的 早古生代下扬子地区发育巨厚的碳酸盐岩沉积序列,是油气资源和地热资源有利的潜在储层。2021年,江苏省地质调查研究院在苏北盆地钻探的苏热1井在早古生代碳酸盐岩中成功探获高温干热岩型地热资源,首次发现并证实苏北盆地蕴藏丰富的干热岩资源,这一发现使得一直以来缺乏研究的苏北盆地早古生代碳酸盐岩沉积微相和沉积环境演化得到学术界的广泛关注。 方法 对苏北盆地苏热1井钻孔岩心和南京宁镇山脉地区三条野外露头剖面早古生代碳酸盐岩地层,开展了详细的沉积微相分析,重建了其沉积环境演化,以期为研究区干热岩勘探提供关键的基础地质资料。 结果 根据碳酸盐岩岩性、岩石结构、颗粒组成、生物组合以及沉积构造等特征,将苏热1井钻孔岩心和南京宁镇山脉地区早古生代碳酸盐岩划分为13种沉积微相,主要为潮坪和高能浅滩沉积环境,古水深无明显变化。寒武系幕府山组、炮台山组、观音台组主要为含灰粉晶白云岩(MF1)、粉晶白云岩(MF2)和纹层状粉晶白云岩(MF3),局部见窗格藻黏结白云岩(MF4)、细晶白云岩(MF5)、含灰细晶白云岩(MF7)、角砾白云岩(MF8),缺乏化石,但见纹层结构、鸟眼构造、窗格孔构造等,指示主要为潮间上部和潮上带下部沉积环境。下奥陶统仑山组下部和红花园组主要为云质似球粒灰岩(MF6)、残余砂屑白云岩(MF9)、白云石化鲕粒灰岩(MF10)、残余鲕粒白云岩(MF11)、砂屑灰岩(MF12)和海百合茎鲕粒灰岩(MF13),指示高能浅滩沉积环境。 结论 寒武系幕府山组、炮台山组和观音台组以潮间带环境为主,而下奥陶统仑山组下部和红花园组以浅滩环境为主,古水深相对变深。下扬子地区寒武系观音台组是未来干热岩储层勘探的有利靶区。
目的 早古生代下扬子地区发育巨厚的碳酸盐岩沉积序列,是油气资源和地热资源有利的潜在储层。2021年,江苏省地质调查研究院在苏北盆地钻探的苏热1井在早古生代碳酸盐岩中成功探获高温干热岩型地热资源,首次发现并证实苏北盆地蕴藏丰富的干热岩资源,这一发现使得一直以来缺乏研究的苏北盆地早古生代碳酸盐岩沉积微相和沉积环境演化得到学术界的广泛关注。 方法 对苏北盆地苏热1井钻孔岩心和南京宁镇山脉地区三条野外露头剖面早古生代碳酸盐岩地层,开展了详细的沉积微相分析,重建了其沉积环境演化,以期为研究区干热岩勘探提供关键的基础地质资料。 结果 根据碳酸盐岩岩性、岩石结构、颗粒组成、生物组合以及沉积构造等特征,将苏热1井钻孔岩心和南京宁镇山脉地区早古生代碳酸盐岩划分为13种沉积微相,主要为潮坪和高能浅滩沉积环境,古水深无明显变化。寒武系幕府山组、炮台山组、观音台组主要为含灰粉晶白云岩(MF1)、粉晶白云岩(MF2)和纹层状粉晶白云岩(MF3),局部见窗格藻黏结白云岩(MF4)、细晶白云岩(MF5)、含灰细晶白云岩(MF7)、角砾白云岩(MF8),缺乏化石,但见纹层结构、鸟眼构造、窗格孔构造等,指示主要为潮间上部和潮上带下部沉积环境。下奥陶统仑山组下部和红花园组主要为云质似球粒灰岩(MF6)、残余砂屑白云岩(MF9)、白云石化鲕粒灰岩(MF10)、残余鲕粒白云岩(MF11)、砂屑灰岩(MF12)和海百合茎鲕粒灰岩(MF13),指示高能浅滩沉积环境。 结论 寒武系幕府山组、炮台山组和观音台组以潮间带环境为主,而下奥陶统仑山组下部和红花园组以浅滩环境为主,古水深相对变深。下扬子地区寒武系观音台组是未来干热岩储层勘探的有利靶区。